Chemistry Exam  >  Chemistry Notes  >  Inorganic Chemistry  >  Group 13 Elements: Boron Family

Group 13 Elements: Boron Family | Inorganic Chemistry PDF Download

p-Block Elements

The elements in which the last electron enters the outermost p orbital are called p-block elements. 

  • As the maximum number of electrons that can be accommodated in a set of p-orbitals is six, therefore there are six groups of p-blocks in the periodic table.
  • The elements from the group 13 to 18 in the periodic table are p-Block elements

Group 13 Elements: Boron Family | Inorganic Chemistry

Inert Pair Effect

Inert Pair Effect is a decrease in stability of the maximum oxidation state and an increase in the stability of the (maximum-2) state on descending the group. 

  • The inert pair effect shows itself increasingly in the heavier members of the group.
  • Ge(+II) is a strong reducing agent whereas Ge(+IV) is stable Sn(+II) exists as simple ions which are strongly reducing but Sn(+IV) is covalent and stable. 
  • Pb(+II) is ionic, stable, and more common than Pb(+IV), which is oxidizing. 
  • The lower valencies are more ionic because the radius of M2+ is greater than that of M4+ and according to Fajans rules, the smaller the ion the greater the tendency to covalency.

Group 13 Elements (Boron Family)

The Elements are B( Nonmetal), Al, Ga, In, Tl (metals) 

General electronic configuration [Noble gas] ns2 np1

Atomic And Physical Properties

(1) Atomic and Ionic radii

Atomic radii: B > Ga < Al < In < Tl

(2) Ionization Enthalpies.

B > Tl > Ga > Al > In

(3) Melting and Boiling points

M.P. B > Al > Tl > In > Ga 

B.P. B > Al > Ga > In > Tl

(4) Electropositive Character

Due to high IE they are less electropositive on moving down the group metallic character increases due to decreases in IE [\B is nonmetals and other elements are metals]

Group 13 Elements: Boron Family | Inorganic Chemistry

Properties of Boron

It exists in five forms four of which are crystalline and one is amorphous. All crystalline forms are very hard made up of clusters of B12 units. All crystalline forms are black in appearance and chemically inert. Melting points are around 2300°C. But amorphous form is brown and chemically active.

Group 13 Elements: Boron Family | Inorganic Chemistry

Group 13 Elements: Boron Family | Inorganic Chemistry

Group 13 Elements: Boron Family | Inorganic Chemistry

Group 13 Elements: Boron Family | Inorganic Chemistry

Compounds Of Boron

Boron Trioxide(B2O3)

Preparation

Group 13 Elements: Boron Family | Inorganic Chemistry

Properties

It is a weakly acidic oxide and reacts with alkalies or bases to form borates

Group 13 Elements: Boron Family | Inorganic Chemistry ( Sodium orthoborate), It reacts with water slowly to form orthoboric acid. When heated with transition metal salts if forms coloured compounds.

Group 13 Elements: Boron Family | Inorganic Chemistry

Group 13 Elements: Boron Family | Inorganic Chemistry

Group 13 Elements: Boron Family | Inorganic Chemistry The oxyacids of boron are:

(a) Orthoboric acid (b) Metaboric acid (HBO2) (c) Tetraboric acid (H2B4O7) (d) Pyroboric acid (H4B4O8)

Orthoboric Acid

Orthoboric acid H3BO3 behaves as a weak monobasic acid it does not donate protons but rather accepts OH. It is therefore a Lewis acid B(OH)3. Due to sp2 hybridization of boron, boric acid is a planar molecule and due to H-bonding between different molecules boric acid has a layer structure.

Preparation

Group 13 Elements: Boron Family | Inorganic Chemistry

H3BO3 is soluble in water and behaves as weak monobasic acid. It does not donate protons like most acids, but rather it accepts OH–. It is, therefore, a Lewis acid (B(OH)3)

Properties

  • It is a weak monobasic Lewis acid and in aqueous solution, the boron atom completes its octet by removing. OH from water molecules.

Group 13 Elements: Boron Family | Inorganic Chemistry

  • Since B(OH)only partially reacts with water to form H3O+ and [B(OH)4] it behaves as a weak acid. 
  • Thus it cannot be titrated satisfactorily with NaOH as a sharp endpoint is not obtained. If certain polyhydroxy compounds such as glycerol, mannitol, or sugar are added to the titration mixture then B(OH)3 behaves as a strong monobasic acid. 
  • And hence can now be titrated with NaOH and endpoint is detected using phenolphthalein as indicator.
  • The added compound must be cis diol to enhance the acidic properties in this way the cis-diol forms very stable complexes with [B(OH) 4]– formed in forward direction above, thus effectively removing it from solution. 
  • Hence reaction proceeds in forward direction (Le-Chatelier principle)

Group 13 Elements: Boron Family | Inorganic Chemistry

Group 13 Elements: Boron Family | Inorganic Chemistry Heating of boric acid:

Group 13 Elements: Boron Family | Inorganic Chemistry

Group 13 Elements: Boron Family | Inorganic Chemistry Group 13 Elements: Boron Family | Inorganic Chemistry

Group 13 Elements: Boron Family | Inorganic Chemistry When boric acid is heated with ethyl alcohol, the evolved gas vapours of ethylborate is burned forming a green-edged flame.

Group 13 Elements: Boron Family | Inorganic Chemistry

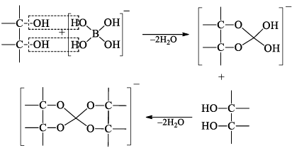
Borax (Na2B4O7.10H2O)

Preparation of Borax:

Group 13 Elements: Boron Family | Inorganic Chemistry

Group 13 Elements: Boron Family | Inorganic Chemistry

Group 13 Elements: Boron Family | Inorganic Chemistry

Properties

  • Its aqueous solution is alkaline because of its hydrolysis to weak acid H3BO3 and strong alkali NaOH

Group 13 Elements: Boron Family | Inorganic Chemistry

(ii) When borax powder is heated, it first swells due to loss of water in the form of steam but at 740°C it becomes converted into colourless transparent borax bead.

Group 13 Elements: Boron Family | Inorganic Chemistry

Group 13 Elements: Boron Family | Inorganic Chemistry

Group 13 Elements: Boron Family | Inorganic Chemistry

Boron Hydrides

Binary compounds of B with H are called boron hydrides of boranes. These compounds form following two types of series.

(Nido) BnHn+4 → B2H6, B5H9, B6H10, B10H14 

(Arachno) BnHn+6 → B4H10, B5H11, B6H12, B9H15

Diborane (B2H6)

Structure of Diborane

Group 13 Elements: Boron Family | Inorganic Chemistry

Group 13 Elements: Boron Family | Inorganic Chemistry

Preparation

(i) 4BCl3 + 3LiAlH4 → 2B2H6 + 3LiCl + 3AlCl3

Properties:

Group 13 Elements: Boron Family | Inorganic Chemistry B2H6 + 3O2 →B2O3 + 2H2O;    ΔH = -2137.7 kJ mol-1

Group 13 Elements: Boron Family | Inorganic ChemistryPyrolysis of B2H6 in sealed vessels at temperatures above 375 K is an exceedingly complex process producing a mixture of various boranes e.g. B4H10, B6H12 and B10H14

Group 13 Elements: Boron Family | Inorganic Chemistry B2H6 + 6MeOH → 2B(OMe)3 + 6H2

Group 13 Elements: Boron Family | Inorganic Chemistry B2H6 + 2Me3N → 2Me3N  – BH3

Group 13 Elements: Boron Family | Inorganic Chemistry B2H6 + 2Me3N →2Me3PBH3

Group 13 Elements: Boron Family | Inorganic Chemistry B2H6 + 2CO Group 13 Elements: Boron Family | Inorganic Chemistry B2H62NH3Group 13 Elements: Boron Family | Inorganic ChemistryB3N3H6 (borazine)

Group 13 Elements: Boron Family | Inorganic Chemistry B2H6 + 2LiH → 2LiBH4

Group 13 Elements: Boron Family | Inorganic Chemistry Carbaboranes are compounds of carbon, boron, and hydrogen in which carbon and born atoms occupy the vertices of a triangulated polyhedron. The compounds may be considered to have been derived from boranes by the replacement of BH units by CH units. The carboranes and the boranes having the same number of electrons in their bonding, framework have similar skeletal structures. Three structurally different types of carboranes, namely, closo, nido and arachno are known at present. 

Borazine Or Borazole, (BH)3 or B3N3H6

This compound is isoelectronic with benzene and hence has been called Inorganic Benzene.

Preparation

Borazine can be prepared by the following methods.

(i) By Stock and Pohland’s method (1926):  By the action of NH3 on diborane (B2H6). The adduct, B2H6. 2NH3 is first formed, which then gets decomposed by heating in a closed tube at 200°C. 

Group 13 Elements: Boron Family | Inorganic Chemistry

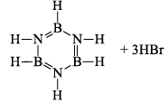
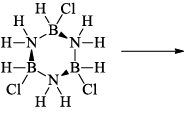
(ii) By heating BCl3 with NH4Cl:

Group 13 Elements: Boron Family | Inorganic Chemistry

Group 13 Elements: Boron Family | Inorganic Chemistry

(iii) By heating mixture of LiBH4 and NH4Cl (Laboratory method):

Group 13 Elements: Boron Family | Inorganic Chemistry

Chemical Properties

(i) Addition reactions: 

(a) One molecule of B3N3H6 add three molecules of HCl or HBr in the cold, without a catalyst. These molecules get attached with all the three B -atoms, of B3N3H6 molecule, since B -atom is more negative than N-atom in B—N or B=N bond and hydrogen chloride derivative (B3N3H9Cl) is obtained. This addition reaction is not shown by benzene.

Group 13 Elements: Boron Family | Inorganic Chemistry Group 13 Elements: Boron Family | Inorganic Chemistry

When this derivative is heated to 50 -100 °C, it looses, three Hmolecules, to give B, B, B -trichloroborazine, B3N3H3Cl3.

Group 13 Elements: Boron Family | Inorganic Chemistry Group 13 Elements: Boron Family | Inorganic Chemistry

(b) Group 13 Elements: Boron Family | Inorganic Chemistry Group 13 Elements: Boron Family | Inorganic Chemistry

Group 13 Elements: Boron Family | Inorganic Chemistry Group 13 Elements: Boron Family | Inorganic Chemistry

(ii) Hydrolysis:

(a) Borazine gets slowly hydrolyzed by water to produce boric acid [B(OH)3 or H3BO3], NH3, and H2. Hydrolysis is favoured by the increase in temperature.

Group 13 Elements: Boron Family | Inorganic Chemistry Group 13 Elements: Boron Family | Inorganic Chemistry

(b) It is reported that under proper conditions, borazine reacts with three molecules of water and gives B -trihydroxyl borazine, B3N3H3(OH)3 (substitution reaction).

Group 13 Elements: Boron Family | Inorganic ChemistryGroup 13 Elements: Boron Family | Inorganic Chemistry

(iii) Pyrolysis: When borazine is pyrolyzed above 340°C, B6N6H10 and  B5N5H8 are produced. These products are boron-nitrogen analogs of diphenyl and naphthalene respectively

Group 13 Elements: Boron Family | Inorganic Chemistry Group 13 Elements: Boron Family | Inorganic Chemistry Group 13 Elements: Boron Family | Inorganic Chemistry

(iv) Hydrogenation: Hydrogenation of borazine produces polymeric materials of indefinite composition.


(v) Formation of adduct: Borazine forms an adduct with CH3OH. This adduct undergoes pyrolysis with the elimination of H2 and gives B-trimethoxy-borazine.

Group 13 Elements: Boron Family | Inorganic Chemistry Group 13 Elements: Boron Family | Inorganic Chemistry

(vi) Reaction with aniline: Borazine undergoes a strongly exothermic reaction with aniline produce tri -aminoborine.

Group 13 Elements: Boron Family | Inorganic Chemistry


Structure of borazine molecule: 

  • In the structure of borazine, both B and N atoms are sp2 hybridized. Each N-atom has one lone pair of electrons, while each B-atom has an empty p-orbital. (B—N) π-bond in borazine is a dative bond, which arises from the sidewise overlap, between the filled p-orbitals of N-atom and empty p-orbitals of B-atom.
  • Since borazine is isoelectronic with benzene, both the compounds have aromatic π-electron cloud (electrons in π-orbitals). 
  • Due to greater differences in the electronegativity values of B and N-atoms, the π-electron cloud in B3N3 ring of borazine molecule is partially delocalized, while in case of the benzene ring, the π-electron cloud is completely delocalized.
  •  In fact, complete delocalization of π-electron cloud in B3N3 ring in borazine molecule, cannot be expected, since N -π orbitals are of lower energy than the B -π orbitals. 
  • Molecular orbital calculations have indicated that π-electron drift from N to B is less than the σ-electron drift from B to N, due to greater electronegative of N-atom. 
  • In C6H6 molecule, C=C bonds are nonpolar while in the case of B3N3H6 molecule due to the difference in electronegativities between B and N atoms, B—N bond is polar.
  • The ring structure of borazine molecule is the same as the layer lattice structure of boron nitride, (BN)n.
  • It is due to the partial delocalisation of the π-electron cloud that π-bonding in B3N3 ring weakened. In addition, N-atom retains some of its basicity and the boron atom retains some of its acidity. 
  • Polar species like HCl, therefore, attack the double bond between N and B. Thus, borazine in contrast to C6H6, readily undergoes addition reactions.
  • In these reactions, more electronegative atom (e.g., Cl in HCl molecule) is generally attached with B-atom, which is less electronegative then N in B—N bond.
  • In borazine, B—N bond length is equal to 1.44 Å, which is between the calculated single B—N bond (=1.54 Å) and double bond, B=N(=1.36 Å) distances. The angles are equal to 120°. IN benzene C—C bond length is equal to 1.42 Å.

B-trimethyl borazine, [B(CH3)]3(NH)3

It is prepared by heating B(CH3)3 with NH3, at 320-340° atm for 2 hours.

Group 13 Elements: Boron Family | Inorganic Chemistry

At 100°C, water replaces the NH groups by O-atoms and gives B-trimethyl boraxime, [B(CH3)]3O3.

Group 13 Elements: Boron Family | Inorganic Chemistry

Boraxine,(BH)3O3

This compound is isoelectronic with borazine, B3N3H6(B3O3H3) = 3 × 3 + 3 × 6 + 3 × 1 = 30, B3N3H= 3 × 3 + 5 × 3 + 6 × 1 = 30. It is produced by the explosive oxidation of B2H6 or B5H9. This compound decomposes at room temperature to diborane (B2H6) and boron trioxide (B2O3).

2B3O3H3 →  2B2O+ B2H6

Boraxine exhibits the aromatic properties of benzene. Boraxine is even less stable and presumably has less p-delocalization than borazine. In this molecule, B—O bond distance is equal to 1.38 Å. The characteristic Roman frequency of the ring is at 8.7 cm-1. B=O, double bond present in the structure is due to the donation of a lone pair of electrons from O-atom to boron atom. This results in the development of a formal negative charge on B-atom and equal formal positive charge on O-atom.

Group 13 Elements: Boron Family | Inorganic Chemistry

N-trimethyl borazine, (BH)3[N(CH3)]3

It is obtained in 90% yield by heating a mixture of B2H6 and NH2.(CH3) in the correct proportions at 180-200°C for 2 hours.

Group 13 Elements: Boron Family | Inorganic Chemistry

This compound can also be prepared by reducing Monomethyl ammonium chloride. (CH3)NH3Cl with lithium borohydride LiBH4.

3(CH3)NH3Cl + 3LiBH4 →  (BH)3[N(CH3)]3 + 3LiCl + 9H2

Boron Halides

  • The relative strength of Lewis acids of boron trihalides increases in the order BF3 < BCl3 < BBr3. This order of Lewis acid strength is just reversed of that expected on the basis of the electronegativity of the halogen. This is explained on the basis of overlapping of halogens sidewise with empty 2p-orbital of B forming pp-pp back bonding. The tendency of back bonding decreases as BF3 > BCl3 > BBr3 > Bl3 due to the difference in the energy states of the orbitals involved.
  • Both boron and aluminum halides are Lewis acid but only aluminum halides exist as dimers whereas boron halides exist only as monomers. This is due to the reason that boron atom is so small that it cannot accommodate four large-sized halide ions around it.
  • BFand AlClare widely used as Lewis acid catalysts in Friedel -Crafts reactions and many industrial processes.
  • Solution of AlEtand TiCl4 in hydrocarbon solvent reacts endothermically to form a brown solid. This is the important Ziegler Natta catalyst for polymerizing ethene to form polythene.

Aluminum (Al)

Properties

(i) Action of air: Dry air has no action of Al. But moist air forms a thin layer of Al2Oon its surface and it loses its luster. At very high temperatures it burns to form Al2O3 and AlN.

Group 13 Elements: Boron Family | Inorganic Chemistry

AlN reacts with hot water to form Al(OH)3 and NH3.

Compounds of Aluminium

(i) Aluminium Oxide (Al2O3) Alumina

Preparation

Group 13 Elements: Boron Family | Inorganic Chemistry

Properties

It is a white amorphous powder insoluble in water but soluble in acids (forming eg., AlCl3) as well as alkalies (forming NaAlO2). Thus amphoteric in nature. It is a polar covalent compound.

(ii) Aluminium Chloride (AlCl3.6H2O) 

It is a colorless crystalline solid, soluble in water. It is anhydrous AlCl 3 is a deliquescent white solid.

Preparation

Group 13 Elements: Boron Family | Inorganic Chemistry

Properties

Group 13 Elements: Boron Family | Inorganic Chemistry

Group 13 Elements: Boron Family | Inorganic Chemistry

(iii) Al2Cl6, Al2Me6

Aluminum halides are dimers in the gas phase: aluminum chloride has the molecular formula Al2Clin the vapour. Each Al atom acts as an acid towards a Cl atom initially belonging to the other Al atom. Aluminum chloride is widely used as a Lewis acid catalyst for organic reactions.

Group 13 Elements: Boron Family | Inorganic Chemistry

Alkyl aluminum dimers are similar in structure to the analogous dimeric halides but the bonding is different. In the halides, the bridging Al—Cl bond involves an electron pair. In the alkyl aluminum dimers, the Al—C—Al bonds are longer than the terminal Al—Cl bonds, which suggests that they are 3c—2e bonds, with one bonding pair shared across the Al—C—Al unit, somewhat analogous to the bonding in diborane, B2H6.

Group 13 Elements: Boron Family | Inorganic Chemistry

(iv) Alumns

M2SO4, M’2(SO4)2.24H2O
Where M = Na+, K+, Rb+, Cs+, As+, Tl+, NH4
M’ = Al+3, Cr+3, Fe+3, Mn+3, Co+3 
K2SO4.Al2(SO4)3.24H2O                                  Potash alum
(NH4)2SO4.Al2(SO4)3.24H2O                           Ammoniumalum
K2SO4.Cr2(SO4)2.24H2O                                 Chromealum
(NH4)2SO4.Fe2(SO4)2.24H2O                          Ferricalum

Preparation: Al2O3 + 3H2SO4 →  Al2(SO4)+ 3H2O

Al2(SO4)3 + K2KO4 + aq. Solution →  crystallize

Properties

It is a white amorphous powder insoluble in water but soluble in acids (forming eg., AlCl3) as well as alkalies (forming NaAlO2). Thus amphoteric in nature. It is a polar covalent compound. 

The document Group 13 Elements: Boron Family | Inorganic Chemistry is a part of the Chemistry Course Inorganic Chemistry.
All you need of Chemistry at this link: Chemistry
40 videos|92 docs|41 tests

FAQs on Group 13 Elements: Boron Family - Inorganic Chemistry

1. What is the inert pair effect in p-block elements?
The inert pair effect refers to the tendency of heavier elements in the p-block, particularly group 13 elements like boron, to exhibit a lower oxidation state than expected based on their group valency. This occurs because the outermost s-electrons are less available for bonding compared to the p-electrons, leading to a preference for forming compounds in lower oxidation states.
2. What are the atomic and physical properties of group 13 elements?
Group 13 elements, also known as the boron family, have some common atomic and physical properties. These elements have three valence electrons, form a +3 oxidation state, and have relatively low melting and boiling points. They are generally metals, except for boron which is a metalloid. They also have a tendency to form covalent compounds.
3. What are the properties of boron?
Boron is a metalloid and the first element in group 13. It has an atomic number of 5 and an atomic mass of 10.81 g/mol. Boron is known for its high melting point, low density, and excellent strength-to-weight ratio. It is also a poor conductor of electricity and possesses strong chemical resistance. Boron compounds are widely used in various industries, including glass manufacturing, agriculture, and medicine.
4. What are some commonly known compounds of boron?
Boron forms a variety of compounds with different elements. Borax (sodium borate) is a well-known compound used in cleaning products and as a flux in metallurgy. Boric acid is another common compound used as an antiseptic, insecticide, and flame retardant. Boron nitride is a compound with a similar structure to carbon graphite and is used in high-temperature applications.
5. How is aluminum related to the boron family (group 13 elements)?
Aluminum, which is a member of group 13 elements, belongs to the boron family. It has atomic number 13 and an atomic mass of 26.98 g/mol. Aluminum shares some similarities with boron, such as the tendency to form a +3 oxidation state and its metallic nature. It is widely used in various industries due to its low density, high strength, and excellent corrosion resistance.
Related Searches

Important questions

,

Semester Notes

,

mock tests for examination

,

Exam

,

Objective type Questions

,

pdf

,

Group 13 Elements: Boron Family | Inorganic Chemistry

,

Extra Questions

,

Free

,

Group 13 Elements: Boron Family | Inorganic Chemistry

,

shortcuts and tricks

,

Viva Questions

,

study material

,

video lectures

,

Summary

,

Sample Paper

,

Group 13 Elements: Boron Family | Inorganic Chemistry

,

past year papers

,

Previous Year Questions with Solutions

,

ppt

,

practice quizzes

,

MCQs

;