Chemistry Exam  >  Chemistry Notes  >  Organic Chemistry  >  Past Year Question: Stereochemistry Of Organic Molecules

Past Year Question: Stereochemistry Of Organic Molecules | Organic Chemistry PDF Download



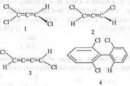
Question for Past Year Question: Stereochemistry Of Organic Molecules
Try yourself:Among the following compounds, the pair of enantiomers is

Past Year Question: Stereochemistry Of Organic Molecules | Organic Chemistry

[2017]

View Solution

Question for Past Year Question: Stereochemistry Of Organic Molecules
Try yourself:Catalytic hydrogenation of the following compound produces saturated hydrocarbon(s). The no. of stereoisomer(s) formed is

Past Year Question: Stereochemistry Of Organic Molecules | Organic Chemistry

[2017]

View Solution

Question for Past Year Question: Stereochemistry Of Organic Molecules
Try yourself:The compounds having C3-axis of symmetry are

Past Year Question: Stereochemistry Of Organic Molecules | Organic Chemistry

[2017]

View Solution

Question for Past Year Question: Stereochemistry Of Organic Molecules
Try yourself:Among the following, the most stable conformations of meso-2,3-dibromobutane is

Past Year Question: Stereochemistry Of Organic Molecules | Organic Chemistry

[2016]

View Solution

Question for Past Year Question: Stereochemistry Of Organic Molecules
Try yourself:The structure of (2S, 3R)-2-amino-3-hydroxy butanoic acid is

Past Year Question: Stereochemistry Of Organic Molecules | Organic Chemistry

[2015]

View Solution

Question for Past Year Question: Stereochemistry Of Organic Molecules
Try yourself:Which among the following molecules is chiral?

Past Year Question: Stereochemistry Of Organic Molecules | Organic Chemistry

[2014]

View Solution

*Multiple options can be correct
Question for Past Year Question: Stereochemistry Of Organic Molecules
Try yourself:The correct epimeric pair of the following is

Past Year Question: Stereochemistry Of Organic Molecules | Organic Chemistry

Check
View Solution

Question for Past Year Question: Stereochemistry Of Organic Molecules
Try yourself:The correct sequence of relationship between the compounds of the following pairs 1-4 is

Past Year Question: Stereochemistry Of Organic Molecules | Organic Chemistry

1. identical, enantiomers, diastereomers and structural isomers ;

2. enantiomers, identical, structural isomers and diastereomers ;

3. enantiomers, identical, diastereomers and structural isomers ;

4. identical, identical, diastereomers and structural isomers.

[2011]

View Solution

Question for Past Year Question: Stereochemistry Of Organic Molecules
Try yourself:The Cahn-Ingold-Prelog (CIP) priorities of the groups and the absolute configuration (R/S) of the following compound are

Past Year Question: Stereochemistry Of Organic Molecules | Organic Chemistry

1. -CH2OH > -CH(Me)2 > -CH=CH2 > -CH3 and S ;

2. -CH2OH > -CH=CH2 > -CH(Me)2 > -CH3 and S ;

3. -CH2OH > -CH=CH2 > -CH(Me)2 > -CH3 and R ;

4. -CH2OH > -CH(Me)2 > -CH=CH2 > -CH3 and R.

[2011]

View Solution

Question for Past Year Question: Stereochemistry Of Organic Molecules
Try yourself:The absolute configurations at the two chiral centres in D-Ribose are

Past Year Question: Stereochemistry Of Organic Molecules | Organic Chemistry

[2010]

View Solution

Question for Past Year Question: Stereochemistry Of Organic Molecules
Try yourself:The maximum no. of stereoisomers possible for 4-Phenylbut-3-en-2-ol is

[2009]

View Solution

The document Past Year Question: Stereochemistry Of Organic Molecules | Organic Chemistry is a part of the Chemistry Course Organic Chemistry.
All you need of Chemistry at this link: Chemistry
44 videos|102 docs|52 tests

FAQs on Past Year Question: Stereochemistry Of Organic Molecules - Organic Chemistry

1. What is stereochemistry?
Stereochemistry is a branch of chemistry that focuses on the three-dimensional arrangement of atoms in molecules and the effect of this arrangement on the chemical and physical properties of compounds.
2. What is the significance of stereochemistry in organic molecules?
Stereochemistry plays a crucial role in organic molecules as it determines the spatial arrangement of atoms, which can greatly impact the reactivity, biological activity, pharmacological properties, and other characteristics of organic compounds.
3. What are enantiomers and how are they related to stereochemistry?
Enantiomers are a pair of stereoisomers that are non-superimposable mirror images of each other. They have the same molecular formula and connectivity, but differ in their spatial arrangement. Enantiomers exhibit identical physical properties but can have different biological activities and chemical reactivity.
4. How can one determine the stereochemistry of a molecule?
The stereochemistry of a molecule can be determined through various techniques such as X-ray crystallography, nuclear magnetic resonance spectroscopy (NMR), and infrared spectroscopy (IR), among others. These techniques provide valuable information about the three-dimensional structure and arrangement of atoms in a molecule.
5. What are chiral molecules and why are they important in stereochemistry?
Chiral molecules are non-superimposable on their mirror images and possess an asymmetric carbon atom. They exist as a pair of enantiomers, which have different biological activities, taste, smell, and can exhibit different interactions with other chiral molecules. Chiral molecules are important in stereochemistry as they demonstrate the concept of chirality and play a significant role in pharmaceuticals, drug design, and asymmetric synthesis.
Related Searches

Free

,

video lectures

,

Previous Year Questions with Solutions

,

Summary

,

Semester Notes

,

MCQs

,

Extra Questions

,

Important questions

,

Past Year Question: Stereochemistry Of Organic Molecules | Organic Chemistry

,

Past Year Question: Stereochemistry Of Organic Molecules | Organic Chemistry

,

Sample Paper

,

ppt

,

study material

,

pdf

,

Past Year Question: Stereochemistry Of Organic Molecules | Organic Chemistry

,

shortcuts and tricks

,

Exam

,

past year papers

,

mock tests for examination

,

practice quizzes

,

Viva Questions

,

Objective type Questions

;