CAT Exam  >  CAT Notes  >  Practice Questions Level 2: Percentage - 1

Percentages Questions for CAT with Answers PDF

This EduRev document offers 10 Multiple Choice Questions (MCQs) from the topic Percentage (Level - 2). These questions are of Level - 2 difficulty and will assist you in the preparation of CAT & other MBA exams. You can practice/attempt these CAT Multiple Choice Questions (MCQs) and check the explanations for a better understanding of the topic. 


Question for Practice Questions Level 2: Percentage - 1
Try yourself:If p, q, r and s are four numbers such that q is 20% more than p, r is 25% less than q, s is 40% more than r, and s is k% higher than p, then what is the value of k?  
View Solution

Question for Practice Questions Level 2: Percentage - 1
Try yourself:There is an increase of 30% in the production of milk chocolates in Amul Dairy in one month. If the present production is 9100 milk chocolates per month, what was the figure one month ago?  
View Solution

Question for Practice Questions Level 2: Percentage - 1
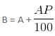
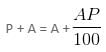
Try yourself:A and B are two numbers such that, B – A = P (where P ≠ 0) and B = P% more than A. Find B.  
View Solution

Question for Practice Questions Level 2: Percentage - 1
Try yourself:The rate of inflation is 2000%. If the price of an object is Rs. 3 today, what will be its price after 2 years?  
View Solution

Question for Practice Questions Level 2: Percentage - 1
Try yourself:A student who gets 20% marks in an exam fails by 10 marks, but another student who gets 58% marks in the exam gets 28 marks more than the passing marks. Find the maximum marks.  
View Solution

Question for Practice Questions Level 2: Percentage - 1
Try yourself:Due to inflation, the price of an item is increased by 25%, but at the end of the year, it decreased by 20% and became the same. What was the original price?  
View Solution

Question for Practice Questions Level 2: Percentage - 1
Try yourself:In a fraction X, if thrice the denominator is decreased by 30% and twice the numerator is increased by 10%, then the resultant fraction is 22% of 26/21. Find the fraction X.
View Solution

Question for Practice Questions Level 2: Percentage - 1
Try yourself:Mr. Raj was throwing a party to his friends and he required 37 kg of sweets for that. Assuming 19% wastage and knowing that the sweets were available in 2 kg packets only, what would be the approximate cost of the sweets purchased if one packet cost Rs. 150?  
View Solution

Question for Practice Questions Level 2: Percentage - 1
Try yourself:A man sells an article at a gain of 10%. If he had bought it at 10% less and sold it for Rs. 132 less, he would have still gained 10%. The cost price of the article is  
View Solution

Question for Practice Questions Level 2: Percentage - 1
Try yourself:In an examination, A gets 40% of the total marks and B gets 80% of that of A. C gets 60% of A's and B's marks taken together. D gets 45% of A's and C's marks taken together. If the required passing marks are 36%, how many of these four students passed the examination?  
View Solution

The document Percentages Questions for CAT with Answers PDF is a part of CAT category.
All you need of CAT at this link: CAT
Download as PDF

Top Courses for CAT

Related Searches

MCQs

,

Free

,

Semester Notes

,

Percentages Questions for CAT with Answers PDF

,

Extra Questions

,

Viva Questions

,

pdf

,

Percentages Questions for CAT with Answers PDF

,

mock tests for examination

,

video lectures

,

study material

,

Important questions

,

ppt

,

shortcuts and tricks

,

practice quizzes

,

Exam

,

Objective type Questions

,

Percentages Questions for CAT with Answers PDF

,

Previous Year Questions with Solutions

,

Summary

,

Sample Paper

,

past year papers

;