Mathematics Exam  >  Mathematics Notes  >  Calculus  >  Periodic Functions and Orthogonal Functions

Periodic Functions and Orthogonal Functions | Calculus - Mathematics PDF Download

This is going to be a short section.  We just need to have a brief discussion about a couple of ideas that we’ll be dealing with on occasion as we move into the next topic of this chapter.

Periodic Function 
The first topic we need to discuss is that of a periodic function.  A function is said to be periodic with period T
if the following is true,
f(x+T)=f(x)for all x      
The following is a nice little fact about periodic functions.

Fact 1
If f and g are both periodic functions with period T then so is f+g and fg.
This is easy enough to prove so let’s do that.

(f+g)(x+T)=f(x+T)+g(x+T)=f(x)+g(x)=(f+g)(x) 

(fg)(x+T)=f(x+T)g(x+T)=f(x)g(x)=(fg)(x)

The two periodic functions that most of us are familiar are sine and cosine and in fact we’ll be using these two functions regularly in the remaining sections of this chapter.  So, having said that let’s close off this discussion of periodic functions with the following fact,

Fact 2
sin(ωx) and cos(ωx) are periodic functions with period  Periodic Functions and Orthogonal Functions | Calculus - Mathematics
Even and Odd Functions
The next quick idea that we need to discuss is that of even and odd functions.
Recall that a function is said to be even if,
f(−x)=f(x) and a function is said to be odd if,
f(−x)=−f(x) 

The standard examples of even functions are f(x)=xand g(x)=cos(x) while the standard examples of odd functions are f(x)=x3 and g(x)=sin(x).  The following fact about certain integrals of even/odd functions will be useful in some of our work.

Fact 3
1. If f(x) is an even function then, Periodic Functions and Orthogonal Functions | Calculus - Mathematics

2. If  f(x) is an odd function then, Periodic Functions and Orthogonal Functions | Calculus - Mathematics 

Note that this fact is only valid on a “symmetric” interval, i.e. an interval in the form [−L,L].  If we aren’t integrating on a “symmetric” interval then the fact may or may not be true.

Orthogonal Functions
The final topic that we need to discuss here is that of orthogonal functions.  This idea will be integral to what we’ll be doing in the remainder of this chapter and in the next chapter as we discuss one of the basic solution methods for partial differential equations.
Let’s first get the definition of orthogonal functions out of the way.

Definition
1. Two non-zero functions, f(x) and g(x), are said to be orthogonal on a≤x≤b if,

Periodic Functions and Orthogonal Functions | Calculus - Mathematics

2. A set of non-zero functions, {fi(x)}, is said to be mutually orthogonal on a≤x≤b (or just an orthogonal set if we’re being lazy) if fi(x) and fj(x) are orthogonal for every i≠j.  In other words,

Periodic Functions and Orthogonal Functions | Calculus - Mathematics

Note that in the case of i=j for the second definition we know that we’ll get a positive value from the integral because, Periodic Functions and Orthogonal Functions | Calculus - Mathematics

Recall that when we integrate a positive function we know the result will be positive as well.
Also note that the non-zero requirement is important because otherwise the integral would be trivially zero regardless of the other function we were using.
Before we work some examples there are a nice set of trig formulas that we’ll need to help us with some of the integrals.

Periodic Functions and Orthogonal Functions | Calculus - Mathematics

Now let’s work some examples that we’ll need over the course of the next couple of sections.

Example 1 Show that Periodic Functions and Orthogonal Functions | Calculus - Mathematics is mutually orthogonal on −L≤x≤L.

Solution:
This is not too difficult to do.  All we really need to do is evaluate the following integral. 

Periodic Functions and Orthogonal Functions | Calculus - Mathematics

Before we start evaluating this integral let’s notice that the integrand is the product of two even functions and so must also be even.  This means that we can use Fact 3 above to write the integral as, 

Periodic Functions and Orthogonal Functions | Calculus - Mathematics

There are two reasons for doing this.  First having a limit of zero will often make the evaluation step a little easier and that will be the case here.  We’ll discuss the second reason after we’re done with the example.
Now, in order to do this integral we’ll actually need to consider three cases.

Periodic Functions and Orthogonal Functions | Calculus - Mathematics

In this case the integral is very easy and is, 

Periodic Functions and Orthogonal Functions | Calculus - Mathematics

Periodic Functions and Orthogonal Functions | Calculus - Mathematics

This integral is a little harder than the first case, but not by much (provided we recall a simple trig formula).  The integral for this case is,

Periodic Functions and Orthogonal Functions | Calculus - Mathematics

Now, at this point we need to recall that n is an integer and so sin(2nπ)=0 and our final value for the integral is, 

Periodic Functions and Orthogonal Functions | Calculus - Mathematics

The first two cases are really just showing that if n=m the integral is not zero (as it shouldn’t be) and depending upon the value of n (and hence m) we get different values of the integral.  Now we need to do the third case and this, in some ways, is the important case since we must get zero out of this integral in order to know that the set is an orthogonal set.  So, let’s take care of the final case. 

Periodic Functions and Orthogonal Functions | Calculus - Mathematics

This integral is the “messiest” of the three that we’ve had to do here.  Let’s just start off by writing the integral down. 

Periodic Functions and Orthogonal Functions | Calculus - Mathematics

In this case we can’t combine/simplify as we did in the previous two cases.  We can however, acknowledge that we’ve got a product of two cosines with different arguments and so we can use one of the trig formulas above to break up the product as follows, 

Periodic Functions and Orthogonal Functions | Calculus - Mathematics

Now, we know that n and m are both integers and so n−m and n+m are also integers and so both of the sines above must be zero and all together we get,

Periodic Functions and Orthogonal Functions | Calculus - Mathematics

So, we’ve shown that if n≠m the integral is zero and if n=m the value of the integral is a positive constant and so the set is mutually orthogonal.
In all of the work above we kept both forms of the integral at every step.  Let’s discuss why we did this a little bit.  By keeping both forms of the integral around we were able to show that not only is Periodic Functions and Orthogonal Functions | Calculus - Mathematics  mutually orthogonal on −L≤x≤L but it is also mutually orthogonal on 0≤x≤L.  The only difference is the value of the integral when n=m and we can get those values from the work above.
Let’s take a look at another example.

Example 2 Show that Periodic Functions and Orthogonal Functions | Calculus - Mathematics is mutually orthogonal on −L≤x≤L and on 0≤x≤L.
Solution:
First, we’ll acknowledge from the start this time that we’ll be showing orthogonality on both of the intervals.  Second, we need to start this set at n=1 because if we used n=0 the first function would be zero and we don’t want the zero function to show up on our list.
As with the first example all we really need to do is evaluate the following integral.

Periodic Functions and Orthogonal Functions | Calculus - Mathematics

In this case integrand is the product of two odd functions and so must be even.  This means that we can again use Fact 3 above to write the integral as, 

Periodic Functions and Orthogonal Functions | Calculus - Mathematics

We only have two cases to do for the integral here.

Periodic Functions and Orthogonal Functions | Calculus - Mathematics

Not much to this integral.  It’s pretty similar to the previous examples second case.

Periodic Functions and Orthogonal Functions | Calculus - Mathematics

Summarizing up we get,

Periodic Functions and Orthogonal Functions | Calculus - Mathematics

Periodic Functions and Orthogonal Functions | Calculus - Mathematics

As with the previous example this can be a little messier but it is also nearly identical to the third case from the previous example so we’ll not show a lot of the work.

Periodic Functions and Orthogonal Functions | Calculus - Mathematics

As with the previous example we know that n and m are both integers a and so both of the sines above must be zero and all together we get,

Periodic Functions and Orthogonal Functions | Calculus - Mathematics

So, we’ve shown that if n≠m the integral is zero and if n=m the value of the integral is a positive constant and so the set is mutually orthogonal.
We’ve now shown that Periodic Functions and Orthogonal Functions | Calculus - Mathematics is mutually orthogonal on −L≤x≤L and on 0≤x≤L.
We need to work one more example in this section.

Example 3 Show that Periodic Functions and Orthogonal Functions | Calculus - Mathematics are mutually orthogonal on −L≤x≤L.
Solution:
We’ve now worked three examples here dealing with orthogonality and we should note that these were not just pulled out of the air as random examples to work.  In the following sections (and following chapter) we’ll need the results from these examples.  So, let’s summarize those results up here.

Periodic Functions and Orthogonal Functions | Calculus - Mathematicsare mutually orthogonal on −L≤x≤L as individual sets and as a combined set.

Periodic Functions and Orthogonal Functions | Calculus - Mathematics is mutually orthogonal on 0≤x≤L.

Periodic Functions and Orthogonal Functions | Calculus - Mathematics is mutually orthogonal on 0≤x≤L.

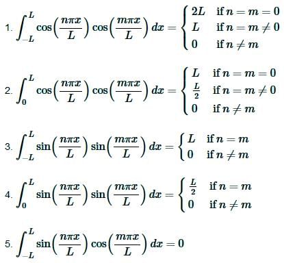
We will also be needing the results of the integrals themselves, both on −L≤x≤L and on 0≤x≤L so let’s also summarize those up here as well so we can refer to them when we need to.

Periodic Functions and Orthogonal Functions | Calculus - Mathematics

With this summary we’ll leave this section and move off into the second major topic of this chapter : Fourier Series.

The document Periodic Functions and Orthogonal Functions | Calculus - Mathematics is a part of the Mathematics Course Calculus.
All you need of Mathematics at this link: Mathematics
112 videos|65 docs|3 tests

FAQs on Periodic Functions and Orthogonal Functions - Calculus - Mathematics

1. What is a periodic function?
A periodic function is a mathematical function that repeats its values at regular intervals, called periods. In other words, a function f(x) is periodic if there exists a positive constant P such that f(x + P) = f(x) for all x in the domain of the function. The period P is the smallest positive constant that satisfies this condition.
2. Can you provide an example of a periodic function?
Certainly! One example of a periodic function is the sine function, denoted as sin(x). It repeats its values every 2π radians or 360 degrees. This means that sin(x + 2π) = sin(x) for all x. Similarly, cos(x), tan(x), and many other trigonometric functions are periodic.
3. What are the key properties of periodic functions?
Periodic functions have several important properties: - They repeat their values at regular intervals, called periods. - The period is the smallest positive constant for which the function repeats. - The graph of a periodic function exhibits symmetry around the vertical axis. - The amplitude of a periodic function determines the maximum and minimum values it achieves. - Periodic functions can be represented using Fourier series, which decomposes them into a sum of sine and cosine functions.
4. What is the difference between a periodic function and an orthogonal function?
While both periodic functions and orthogonal functions have repeating patterns, they are distinct concepts. A periodic function repeats its values at regular intervals, whereas an orthogonal function satisfies a specific mathematical property related to inner products. In mathematics, orthogonal functions refer to a set of functions that are mutually perpendicular or orthogonal with respect to a given inner product. The inner product of two orthogonal functions is zero, indicating that they are "perpendicular" to each other in a certain sense. In summary, periodicity refers to the repetition of values, while orthogonality refers to a specific mathematical property related to inner products.
5. How are periodic functions and orthogonal functions related in Fourier series?
Fourier series is a mathematical tool that represents periodic functions as a sum of orthogonal functions. It decomposes a periodic function into a series of sine and cosine functions (orthogonal functions) with different frequencies. The coefficients in the Fourier series determine the contribution of each orthogonal function to the periodic function. By using the appropriate coefficients, any periodic function can be represented as a sum of orthogonal functions, allowing for analysis and manipulation of the original function using the properties of orthogonal functions.
Related Searches

Periodic Functions and Orthogonal Functions | Calculus - Mathematics

,

Previous Year Questions with Solutions

,

pdf

,

Sample Paper

,

Free

,

Important questions

,

study material

,

Extra Questions

,

Periodic Functions and Orthogonal Functions | Calculus - Mathematics

,

Objective type Questions

,

video lectures

,

MCQs

,

Exam

,

Semester Notes

,

mock tests for examination

,

Periodic Functions and Orthogonal Functions | Calculus - Mathematics

,

past year papers

,

ppt

,

practice quizzes

,

Viva Questions

,

shortcuts and tricks

,

Summary

;