Mathematics Exam  >  Mathematics Notes  >  Additional Topics for IIT JAM Mathematics  >  Points, Lines, Planes and Angles

Points, Lines, Planes and Angles | Additional Topics for IIT JAM Mathematics PDF Download

An introduction to geometry
A point in geometry is a location. It has no size i.e. no width, no length and no depth. A point is shown by a dot.
Points, Lines, Planes and Angles | Additional Topics for IIT JAM Mathematics
A line is defined as a line of points that extends infinitely in two directions. It has one dimension, length. Points that are on the same line are called collinear points.
Points, Lines, Planes and Angles | Additional Topics for IIT JAM Mathematics
A line is defined by two points and is written as shown below with an arrowhead.
Points, Lines, Planes and Angles | Additional Topics for IIT JAM Mathematics
Two lines that meet in a point are called intersecting lines.
A part of a line that has defined endpoints is called a line segment.  A line segment as the segment between A and B above is written as:
Points, Lines, Planes and Angles | Additional Topics for IIT JAM Mathematics
A plane extends infinitely in two dimensions. It has no thickness. An example of a plane is a coordinate plane. A plane is named by three points in the plane that are not on the same line. Here below we see the plane ABC.
Points, Lines, Planes and Angles | Additional Topics for IIT JAM Mathematics

A space extends infinitely in all directions and is a set of all points in three dimensions. You can think of a space as the inside of a box.
Points, Lines, Planes and Angles | Additional Topics for IIT JAM Mathematics

Measure line segments
The length of a line segment can be measured (unlike a line) because it has two endpoints.  As we have learnt previously the line segment can be written as
Points, Lines, Planes and Angles | Additional Topics for IIT JAM Mathematics
While the length or the measure is simply written AB. The length could either be determined in Metric units (e.g. millimeters, centimeters or meters) or Customary units (e.g. inches or foot).
Two lines could have the same measure but still not be identical.
Points, Lines, Planes and Angles | Additional Topics for IIT JAM Mathematics
AB and CD have the exact same measure and are said to be congruent and is noted as
Points, Lines, Planes and Angles | Additional Topics for IIT JAM Mathematics
This is read as the line AB is congruent to the line CD.

Finding distances and midpoints
If we want to find the distance between two points on a number line we use the distance formula:
AB = |b − a| or |a − b|
Example
Point A is on the coordinate 4 and point B is on the coordinate -1.
AB = |4−(−1)|=|4+1|=|5|= 5
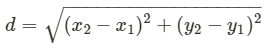
If we want to find the distance between two points in a coordinate plane we use a different formula that is based on the Pythagorean Theorem where (x1,y1) and (x2,y2) are the coordinates and d marks the distance:
Points, Lines, Planes and Angles | Additional Topics for IIT JAM Mathematics
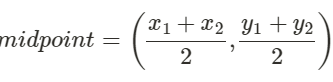
The point that is exactly in the middle between two points is called the midpoint and is found by using one of the two following equations.
Method 1: For a number line with the coordinates a and b as endpoints:
Points, Lines, Planes and Angles | Additional Topics for IIT JAM Mathematics

Method 2: If we are working in a coordinate plane where the endpoints has the coordinates (x1,y1) and (x2,y2) then the midpoint coordinates is found by using the following formula:
Points, Lines, Planes and Angles | Additional Topics for IIT JAM Mathematics

Measure and classify an angle
A line that has one defined endpoint is called a ray and extends endlessly in one direction. A ray is named after the endpoint and another point on the ray e.g.
Points, Lines, Planes and Angles | Additional Topics for IIT JAM Mathematics
Points, Lines, Planes and Angles | Additional Topics for IIT JAM Mathematics
The angle that is formed between two rays with the same endpoint is measured in degrees. The point is called the vertex
Points, Lines, Planes and Angles | Additional Topics for IIT JAM Mathematics
The vertex is written as
Points, Lines, Planes and Angles | Additional Topics for IIT JAM Mathematics
In algebra we used the coordinate plane to graph and solve equations.  You can plot lines, line segments, rays and angles in a coordinate plane.
Points, Lines, Planes and Angles | Additional Topics for IIT JAM Mathematics
In the coordinate plane above we have two rays
Points, Lines, Planes and Angles | Additional Topics for IIT JAM Mathematics
That form an angle with the vertex in point B.
You can use the coordinate plane to measure the length of a line segment. Point B is at (-2, -2) and C (1. -2). The distance between the two points is 1 - (-2) = 3 units.
Angles can be either straight, right, acute or obtuse.
Points, Lines, Planes and Angles | Additional Topics for IIT JAM Mathematics
An angle is a fraction of a circle where the whole circle is 360°. A straight angle is the same as half the circle and is 180° whereas a right angle is a quarter of a circle and is 90°.
You measure the size of an angle with a protractor.
Points, Lines, Planes and Angles | Additional Topics for IIT JAM Mathematics
Two angles with the same measure are called congruent angles. Congruent angles are denoted as
Points, Lines, Planes and Angles | Additional Topics for IIT JAM Mathematics
Or could be shown by an arc on the figure to indicate which angles that are congruent.
Points, Lines, Planes and Angles | Additional Topics for IIT JAM Mathematics
Two angles whose measures together are 180° are called supplementary e.g. two right angles are supplementary since 90° + 90° = 180°.
Two angles whose measures together are 90° are called complementary.
Points, Lines, Planes and Angles | Additional Topics for IIT JAM Mathematics
m∠A  +m∠B = 180
m∠C + m∠D = 90

Polygons
A polygon is a closed figure where the sides are all line segments. Each side must intersect exactly two others sides but only at their endpoints. The sides must be noncollinear and have a common endpoint.
Points, Lines, Planes and Angles | Additional Topics for IIT JAM Mathematics
A polygon is usually named after how many sides it has, a polygon with n-sides is called a n-gon. E.g. the building which houses United States Department of Defense is called pentagon since it has 5 sides.

Sides
Polygon
3triangle
4quadrilateral
5pentagon
6hexagon
7heptagon
9nonagon
10decagon

A regular polygon is a polygon in which all sides are congruent and all the angles are congruent.

The document Points, Lines, Planes and Angles | Additional Topics for IIT JAM Mathematics is a part of the Mathematics Course Additional Topics for IIT JAM Mathematics.
All you need of Mathematics at this link: Mathematics
2 videos|45 docs|4 tests

FAQs on Points, Lines, Planes and Angles - Additional Topics for IIT JAM Mathematics

1. What are the basic elements of geometry?
Ans. The basic elements of geometry are points, lines, and planes. These are the fundamental building blocks that form the foundation of geometric concepts and calculations.
2. How are points, lines, and planes defined in geometry?
Ans. In geometry, a point is a location in space with no size or dimension. A line is a straight path that extends infinitely in both directions. A plane is a flat surface that extends infinitely in all directions.
3. Can a line be defined by only two points?
Ans. No, a line cannot be defined by only two points. Two points determine a unique line, but they do not define it. A line is defined by an infinite number of points that lie on it.
4. What is the relationship between points, lines, and planes in geometry?
Ans. In geometry, a line contains an infinite number of points, and a plane contains an infinite number of lines. Points are the basic building blocks, lines are formed by connecting points, and planes are formed by extending lines.
5. How are angles related to points, lines, and planes?
Ans. Angles are formed when two lines or line segments intersect at a point. They are measured in degrees and are used to describe the amount of rotation or separation between two lines or line segments. Angles are an important concept in geometry and are used in various calculations and proofs.
Related Searches

shortcuts and tricks

,

Summary

,

video lectures

,

Sample Paper

,

mock tests for examination

,

study material

,

past year papers

,

Extra Questions

,

Lines

,

practice quizzes

,

pdf

,

Planes and Angles | Additional Topics for IIT JAM Mathematics

,

Lines

,

Planes and Angles | Additional Topics for IIT JAM Mathematics

,

Objective type Questions

,

Important questions

,

MCQs

,

Planes and Angles | Additional Topics for IIT JAM Mathematics

,

Points

,

Exam

,

Points

,

Points

,

Free

,

Previous Year Questions with Solutions

,

ppt

,

Lines

,

Semester Notes

,

Viva Questions

;