Chemistry Exam  >  Chemistry Notes  >  Organic Chemistry  >  Points to Remember: Aromatic Compounds

Points to Remember: Aromatic Compounds | Organic Chemistry PDF Download

Benzene: 

A. Preparation:
By Decarboxylation: When sodium benzoate is heated with soda-lime, benzene is formed.
Points to Remember: Aromatic Compounds | Organic Chemistry
From Phenol: When phenol is heated with Zn dust, benzene is formed.
Points to Remember: Aromatic Compounds | Organic Chemistry
From Benzene Sulphonic Acid: When benzene sulphonic acid is treated with sodium hydroxide then sodium benzene sulphonate is formed which on fusion with sodium hydroxide produces sodium phenoxide. It on acidification produce phenol which on heating with zinc dust produces benzene.
Points to Remember: Aromatic Compounds | Organic Chemistry
From Benzene Diazonium Chloride: When benzene diazonium chloride is treated with H3PO2 or, Cu/EtOH then benzene is formed.
Points to Remember: Aromatic Compounds | Organic Chemistry
From Calcium Carbide: When calcium carbide is hydrolysed then acetylene is formed which on passing through heated copper tube then benzene is formed.
Points to Remember: Aromatic Compounds | Organic Chemistry
B. Reactions:
Nitration: When benzene is treated with cone, sulphuric acid and fuming nitric acid at 55°C, nitrobenzene is formed.
Points to Remember: Aromatic Compounds | Organic Chemistry
Sulphonation: When benzene is treated with cone, sulphuric acid , benzene sulphonic acid is formed.
Points to Remember: Aromatic Compounds | Organic Chemistry
Halogenation: When benzene is treated with Br2 in presence of FeBr3, then bromobenzene is formed.
Points to Remember: Aromatic Compounds | Organic Chemistry
Friedel-Craft Reaction: 
1. Alkylation: When benzene is treated with alkyl halide in presence of anhydrous aluminium chloride, alkyl benzene is formed.
Points to Remember: Aromatic Compounds | Organic Chemistry
Limitations: 
1. In most cases poly-substituted benzene is formed.
2. In some cases rearranged product is formed. 

2. Acylation: When benzene is treated with acyl halide in presence of anhydrous aluminium chloride then acyl benzene is formed.
Points to Remember: Aromatic Compounds | Organic Chemistry
Gatterman Reaction: When benzene is treated with CO in presence of HC1 and anhydrous AICI3 then benzaldehyde is formed.
Points to Remember: Aromatic Compounds | Organic Chemistry
Gatterman-Koch Reaction: When benzene is treated with HCN in presence HCI and anhydrous AlCI3 and the intermediate is hydrolysed then benzaldehyde is formed.
Points to Remember: Aromatic Compounds | Organic Chemistry

Reaction with CI2 in Presence o f UV light: In presence of diffuse light, benzene reacts with Cl2 to produce benzene hexa-chloride (BHC).
Points to Remember: Aromatic Compounds | Organic Chemistry

Toluene: 

A. Preparation:
➤ From Benzene: 
When benzene is treated with methyl chloride in presence of anhydrous aluminium chloride, toluene is formed.
Points to Remember: Aromatic Compounds | Organic Chemistry
➤ From Benzaldehyde: When benzaldehyde is treated with Zn-Hg/HCl or, N2H4/K.OH in presence of EtOH then toluene is fonned.
Points to Remember: Aromatic Compounds | Organic Chemistry

B. Reaction:
➤ Nitration: When toluene is treated with cone, sulphuric acid and fuming nitric acid at 55°C, o- nitro toluene and p-nitro toluene are formed.
Points to Remember: Aromatic Compounds | Organic Chemistry

➤ Sulphonation: When toluene is treated with cone, sulphuric acid, o-sulfo toluene and p-sulfo toluene are formed.
Points to Remember: Aromatic Compounds | Organic Chemistry

➤ Halogenation: When toluene is treated with Br2 in presence of FeBr3, then o-bromo toluene and p- bromo toluene are formed.
Points to Remember: Aromatic Compounds | Organic Chemistry

➤ Oxidation Reaction: When toluene is treated with alkaline KMn04 followed by acidification then benzoic acid is formed.
Points to Remember: Aromatic Compounds | Organic Chemistry

➤ Reaction at Benzylic Position: When toluene is treated with NBS in presence of light and catalytic HBr then benzyl bromide is formed.
Points to Remember: Aromatic Compounds | Organic Chemistry

➤ Reaction with Br2 in Presence of UV: When toluene is treated with 1, 2 and 3 mole of bromine in presence of UV light, mono-chloro toluene, di- chloro toluene and tri-chloro toluene are formed. These on treatment with alkali will give benzyl alcohol, benzaldehyde and benzoic acids respectively.
Points to Remember: Aromatic Compounds | Organic Chemistry

Nitrobenzene: 

A. Preparation:
➤ From Benzene: When benzene is treated with cone, sulphuric acid and fuming nitric acid at 55°C, nitrobenzene is formed.
Points to Remember: Aromatic Compounds | Organic Chemistry
➤ From Aniline: When aniline is treated with tri- fluoro acetic acid then nitro benzene is formed.
Points to Remember: Aromatic Compounds | Organic Chemistry

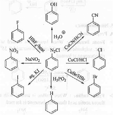
➤ From Benzene diazonium Chloride: When benzene diazonium chloride is treated with NaNO2 then nitro benzene is formed.
Points to Remember: Aromatic Compounds | Organic Chemistry

B. Reactions:
➤ Nitration: When nitrobenzene is treated with cone, sulphuric acid and fuming nitric acid at 55°C, m-di-nitrobenzene is formed.
Points to Remember: Aromatic Compounds | Organic Chemistry

➤ Sulphonation: When nitrobenzene is treated with cone, sulphuric acid ,m-sulfo nitrobenzene is formed.
Points to Remember: Aromatic Compounds | Organic Chemistry
➤ Halogenation: When nitrobenzene is treated with Br2 in presence of FeBr3, then m-bromo nitrobenzene is formed.
Points to Remember: Aromatic Compounds | Organic Chemistry

⇒ Reduction of Nitrobenzene: Nitrobenzene in acidic medium give aniline. It under neutral condition reduce to give hydroxylamine. It under alkaline medium reduce to azoxy-benzene then to azo-benzene and finally, to hydrazo benzene.
Points to Remember: Aromatic Compounds | Organic Chemistry

Aniline: 

A. Preparation :
➤ From Nitrobenzene: When nitrobenzene is reduced with Sn/HCl then aniline is formed.
Points to Remember: Aromatic Compounds | Organic Chemistry
➤ Cine Substitution: When bromobenzene is treated with sodamide in presence of liquid ammonia, aniline is formed.
Points to Remember: Aromatic Compounds | Organic Chemistry

B. Reactions:

➤ Nitration: When aniline is treated with cone, sulphuric acid and fuming nitric acid, o-amino nitrobenzene and p-amino nitrobenzene are formed.
Points to Remember: Aromatic Compounds | Organic Chemistry
➤ Sulphonation: When aniline is treated with cone, sulphuric acid, o-sulfo aniline and p-sulfo aniline are formed.
Points to Remember: Aromatic Compounds | Organic Chemistry
➤ Halogenation: When aniline is treated with Br2 in presence of FeBr3, then m-bromo aniline and p- bromo aniline are formed.
Points to Remember: Aromatic Compounds | Organic Chemistry

➤ Reaction with Br2/H2O: When aniline is treated with bromine water then 2,4,6-tri-bromo aniline is formed.
Points to Remember: Aromatic Compounds | Organic Chemistry

➤ Reaction with Ac2O/AcCI: When aniline is treated with acetic anhydride or, acetyl chloride in presence of pyridine then acetanilide is formed.
Points to Remember: Aromatic Compounds | Organic Chemistry

➤ Reaction with Nitrous Acid: When aniline is treated with nitrous acid then benzene diazonium chloride is formed.
Points to Remember: Aromatic Compounds | Organic Chemistry

Benzene Diazonium Chloride: 

A. Preparation:
From Aniline: When aniline is treated with nitrous acid then benzene diazonium chloride is formed.
Points to Remember: Aromatic Compounds | Organic Chemistry

B. Reactions: The reactions of benzene diazonium chloride are schematically given below:
Points to Remember: Aromatic Compounds | Organic Chemistry

Haioarenes: 

A. Preparation:
➤ Hunsdiecker Reaction: When silver benzoate is treated with bromine in presence of carbon tetrachloride then bromo benzene is formed.
Points to Remember: Aromatic Compounds | Organic Chemistry
➤ Sandmeyer Reaction: When benzene diazonium chloride is treated with CuBr in presence of HBr, bromo benzene is formed.
Points to Remember: Aromatic Compounds | Organic Chemistry

B. Reactions:
➤ Nitration: When bromobenzene is treated with cone, sulphuric acid and fuming nitric acid, o- bromo nitrobenzene and p-bromo nitrobenzene are formed.
Points to Remember: Aromatic Compounds | Organic Chemistry

➤ Suiphonation: When bromobenzene is treated with cone, sulphuric acid, o-bromo benzene sulfonic acid and p-bromo benzene sulfonic acid are formed.
Points to Remember: Aromatic Compounds | Organic Chemistry

➤ Halogenation: When bromo benzene is treated with Br2 in presence of FeBr3, then o-dibromo benzene and p-dibromo benzene are formed.
Points to Remember: Aromatic Compounds | Organic Chemistry

➤ Cine Substitution: When bromobenzene is treated with sodamide in presence of liquid ammonia, aniline is formed.
Points to Remember: Aromatic Compounds | Organic Chemistry

Phenol: 

A. Preparation:
➤ From Benzene diazonium chloride: When benzene diazonium chloride is hydrolysed then phenol is formed.
Points to Remember: Aromatic Compounds | Organic Chemistry

➤ From Benzene Sulphonic Add: When benzene sulphonic acid is treated with sodium hydroxide then sodium benzene sulphonate is formed which on fusion with sodium hydroxide produces sodium phenoxide. It on acidification produce phenol.
Points to Remember: Aromatic Compounds | Organic Chemistry

⇒ Dow's Method: When chlorobenzene is treated with NaOH at high pressure and very high temperature followed by acidification leads to the formation of phenol.

Points to Remember: Aromatic Compounds | Organic Chemistry

➤ From Cumene: When benzene is treated with propene in presence of phosphoric acid then isopropyl benzene is formed which is commonly known as cumene. It on treatment with oxygen followed by acidification leads to the formation of phenol.

Points to Remember: Aromatic Compounds | Organic Chemistry

B.Reactions:
➤ Reimer-Tiemann Reaction: When phenol is treated with CHCl3 in presence of ale. KOH and followed by acidic work up produce o-hydroxy benzaldehyde (Salicylaldehyde) as the major product.
Points to Remember: Aromatic Compounds | Organic Chemistry

➤ Kolbe-Schmidt Reaction: When phenol is treated with sodium hydroxide in presence of carbon dioxide followed by acidification then o-hydroxy. benzoic acid (salicylic acid) is formed. But, phenol under similar condition on reaction with KOH instead of NaOH produces p-hydroxy benzoic acid.
Points to Remember: Aromatic Compounds | Organic Chemistry

➤ Laderer-Manasse Reaction: When phenol is treated with formaldehyde in presence of sodium hydroxide followed by acidification, o-hydroxy benzyl alcohol and p-hydroxy benzyl alcohol are formed.
Points to Remember: Aromatic Compounds | Organic Chemistry

⇒ Bromination Reaction: The bromination reaction in phenol under different solvent system are given below:

Points to Remember: Aromatic Compounds | Organic Chemistry

➤ Vilsmeier-Haak Reaction: When phenol is treated with DMF in presence of POCl3 and the intermediate is hydrolysed then o-hydroxy benzaldehyde and p-hydroxy benzaldehyde are formed.
Points to Remember: Aromatic Compounds | Organic Chemistry

Benzaldehyde:

A. Preparation:
➤ From Benzyl Alcohol: When benzyl alcohol is oxidised with P.C.C. or, P.D.C. then benzaldehyde is formed.
Points to Remember: Aromatic Compounds | Organic Chemistry

➤ Etard Reaction: When toluene is treated with chromyl chloride then benzaldehyde is formed.

Points to Remember: Aromatic Compounds | Organic Chemistry

➤ Stephen’s Reaction: When cyano benzene is treated with stannous chloride in presence of HCI and then the intermediate product is hydrolysed then benzaldehyde is formed.
Points to Remember: Aromatic Compounds | Organic Chemistry

➤ Swern Oxidation: When benzyl alcohol is treated with DMSO and oxaloyl chloride followed by treatment with triethylamine produce benzaldehyde.

Points to Remember: Aromatic Compounds | Organic Chemistry

➤ From Dichlorotoluene: When dichlorotoluene is hydrolysed then benzaldehyde formed.
Points to Remember: Aromatic Compounds | Organic Chemistry

➤ From Styrene: When styrene undergo ozonolysis then benzaldehyde is formed.
Points to Remember: Aromatic Compounds | Organic Chemistry

➤ Gatterman Reaction: When benzene is treated with CO in presence of HCI and anhydrous AlCl3 then benzaldehyde is formed.
Points to Remember: Aromatic Compounds | Organic Chemistry

➤ Gatterman-Koch Reaction: When benzene is treated with HCN in presence HCl and anhydrous AICI3 and the intermediate is hydrolysed then benzaldehyde is formed.
Points to Remember: Aromatic Compounds | Organic Chemistry
B. Reactions:
➤ Claisen-Schmidt Reaction:
When benzaldehyde is treated with nitrobenzene in presence of NaOH and then the intermediate is treated with acid and heated then a,p-unsaturated aldehyde is formed.
Points to Remember: Aromatic Compounds | Organic Chemistry

➤ Cannizzaro Reaction: When benzaldehyde is treated with 50% NaOH and then acidification produce benzyl alcohol and benzoic acid.
Points to Remember: Aromatic Compounds | Organic Chemistry

➤ Wittig Reaction: When benzaldehyde is treated with triphenyl-phosphonium ylide then styrene is formed.
Points to Remember: Aromatic Compounds | Organic Chemistry
➤ Perkin Reaction: When benzaldehyde is treated with acetic anhydride in presence of sodium acetate then cinnamic acid is formed.
Points to Remember: Aromatic Compounds | Organic Chemistry
➤ Benzoin Condensation: When benzaldehyde is treated with alcoholic KCN then benzoin is formed which on oxidation with dil.HNO3 will produce benzil which on reaction with ale. KOH produce benzilic acid.
Points to Remember: Aromatic Compounds | Organic Chemistry

Benzoic acid:

A. Preparation:
➤ From Toluene: 
When toluene is treated with alkaline KMn04 and then acidic work up is done then benzoic acid is formed.
Points to Remember: Aromatic Compounds | Organic Chemistry

From Tri-chloro toluene: When tri-chloro toluene is hydrolysed then benzoic acid is formed.
Points to Remember: Aromatic Compounds | Organic Chemistry

➤ From Benzaldehyde: When benzaldehyde is treated with K2Cr2O7 and H2SO4 then benzoic acid is formed.
Points to Remember: Aromatic Compounds | Organic Chemistry
B. Reactions:
➤ Reaction with Diazomethane: 
When benzoic acid is treated with diazomethane then methyl benzoate is formed.
Points to Remember: Aromatic Compounds | Organic Chemistry

➤ Reduction: When benzoic acid is treated with lithium aluminium hydride then benzyl alcohol is formed.
Points to Remember: Aromatic Compounds | Organic Chemistry
➤ Hunsdiecker Reaction: When silver benzoate is treated with bromine in presence o f carbon tetrachloride then bromo benzene is formed.
Points to Remember: Aromatic Compounds | Organic Chemistry

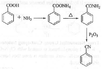
➤ Reaction with Ammonia: When benzoic acid is treated with ammonia then ammonium benzoate is formed which on heating produces benzamide which on treatment with P2O5 will produce cyano benzene.
Points to Remember: Aromatic Compounds | Organic Chemistry

The document Points to Remember: Aromatic Compounds | Organic Chemistry is a part of the Chemistry Course Organic Chemistry.
All you need of Chemistry at this link: Chemistry
44 videos|102 docs|52 tests

FAQs on Points to Remember: Aromatic Compounds - Organic Chemistry

1. What are some common aromatic compounds in chemistry?
Ans. Some common aromatic compounds include benzene, toluene, nitrobenzene, aniline, and phenol.
2. What is the chemical structure of benzene diazonium chloride?
Ans. Benzene diazonium chloride has the chemical formula C6H5N2Cl and consists of a benzene ring with a diazonium group attached.
3. How are benzoic acid and benzaldehyde different from each other?
Ans. Benzoic acid has a carboxylic acid functional group, while benzaldehyde has an aldehyde functional group. Benzoic acid is a carboxylic acid, while benzaldehyde is an aldehyde.
4. What are some examples of aromatic hydrocarbons known as haioarenes?
Ans. Some examples of haioarenes include chlorobenzene, bromobenzene, and iodobenzene.
5. How is nitrobenzene different from aniline in terms of chemical structure?
Ans. Nitrobenzene has a nitro group attached to the benzene ring, while aniline has an amino group attached.
Related Searches

Points to Remember: Aromatic Compounds | Organic Chemistry

,

Sample Paper

,

Important questions

,

mock tests for examination

,

past year papers

,

Previous Year Questions with Solutions

,

Viva Questions

,

Exam

,

shortcuts and tricks

,

Points to Remember: Aromatic Compounds | Organic Chemistry

,

pdf

,

MCQs

,

ppt

,

video lectures

,

Extra Questions

,

study material

,

Free

,

Points to Remember: Aromatic Compounds | Organic Chemistry

,

practice quizzes

,

Semester Notes

,

Summary

,

Objective type Questions

;