Chemical Engineering Exam  >  Chemical Engineering Notes  >  Chemical Technology  >  Polyvinyl Chloride, Polycarbonate, Thermoset Resin (Part - 2)

Polyvinyl Chloride, Polycarbonate, Thermoset Resin (Part - 2) | Chemical Technology - Chemical Engineering PDF Download

Suspension Polymerisation Process

Suspension polymerization of PVC manufacture involves dispersion of vinyl chloride monomer in water along with a suspending agent polyvinyl chloride. Polymeristion is initiated by activators at temperature around 40-70oC heat produced is continuously removed using heat transfer medium. After the polymerization is completed the suspension is transferred to degassing unit where unreacted monomer is removed, purified, condensed and recycled. Polymer is from suspension is separated by centrifuging and dried by hot air. 

Polycarbonates 

Polycarbonates are thermoplastics and are the one of the fastest growing engineering plastics. Global demand for polycarbonates exceeds 1.50 million tonnes. Global demand for polycarbonate is expected to grow at an average annual rate of around 5.8percent over the next five year, reaching around 4.4 million metric tons by the end of 2015. The history of polycarbonate dates back to eighteenth century when Einhorn, a German chemist observed the formation of an insoluble, infusible solid while endeavoring to prepare cyclic carbonates by reacting hydroquinone with phosgene. In 1902, Bishoff and Hedenstrom obtained similar cross linked, high molecular polycarbonate. In 1953, Bayer Laboratories produced linear thermoplastic polycarbonate of high molecular weight. In 1957, Bayer and General Electrics announced independent development of polycarbonate and in 1960 commercial production started.

Polycarbonate are transparent and are break resistance Polycarbonates are thermoplastics used in several applications and have exceptional optical clarity, impact strength, flame resistance, low wrap page, excellent electrical properties and dimensional stability, high heat distortion temperature, lightness, durability.

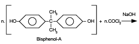
Polycarbonate is produced by condensation polymerization of sodium salt of bisphenol and phosgene in presence of organic solvent. The sodium chlorideformed during the process isprecipitated and the solvent is recovered by distillation or evaporation. 

Polyvinyl Chloride, Polycarbonate, Thermoset Resin (Part - 2) | Chemical Technology - Chemical EngineeringPolyvinyl Chloride, Polycarbonate, Thermoset Resin (Part - 2) | Chemical Technology - Chemical Engineering

Thermoset Resins 

Thermoset resins are characterized by a high degree of cross-linking, resist deformation and solution once their morphology is achieved and are usually prepared in molds that yield the desired shape. These polymers once formed cannot be reshaped by heat. Some of the important thermoset resins are phenol formaldehyde, urea formaldehyde, melamine formaldehyde, epoxy resin, poly urethane etc.

Phenol Formaldehyde Resins

Phenolic resin a production of condensation polymerization of phenols and formaldehyde is the oldest condensation reaction and the product is the most important of the thermosets. Depending upon the ratio of reactants (formaldehyde and phenol molar ratio) and catalyst type (acidic or basic), polymer with different properties are formed. Two types of products are produced during reaction of phenol and formaldehyde-Novalik Phenol formaldehyde and Resole Phenol formaldehyde. Novalik resins are acid catalyzed polymer while Resole are base catalysed polymers.

In Novalak process molten phenol and formaldehyde is polymerized in presence of acid catalyst acid catalyst. A formaldehyde to phenol molar ratio of 0.75:1 to .85:1 is maintained. The polymerization is completed in about 6-8 hr at 95oC. The volatiles and phenol are removed and the polymer isrecovered and converted to desired form.

Urea and Melamine Formaldehyde Resin

Urea formaldehyde resin is a non transparent resin and find application in adhesives, molded objects, decorative laminates, textiles, paper, foundry sand molds. Because of its high reactivity and good performance it is widely used as an adhesive for particle board and hard wood plywood. 

Urea formaldehyde is made by condensation reaction of urea and formaldehyde. The condensation reaction of urea and formaldehyde takes place in several steps.

Polyvinyl Chloride, Polycarbonate, Thermoset Resin (Part - 2) | Chemical Technology - Chemical EngineeringPolyvinyl Chloride, Polycarbonate, Thermoset Resin (Part - 2) | Chemical Technology - Chemical Engineering

Melamine Formaldehyde Resin 

Melamine: Melamine is produced from Urea. When molten urea is heated to about 360-370oC in presence of quartz sand, urea decomposes to isocynacic acid and ammonia. Further isocyanicic acid is converted to melamine in the presence of alumina catalyst. Carbon dioxide produced as by product. 

Polyvinyl Chloride, Polycarbonate, Thermoset Resin (Part - 2) | Chemical Technology - Chemical Engineering

Process steps involved are urea decomposition, melamine synthesis, melamine scrubbing, filtration and drying, of gas treatment and ammonia recovery, ammonium carbonate liquor treatment , mother liquor treatment, ,ammonia reliquification, bagging of product

Melamine formaldehyde resin is commonly used as kitchen ware, a melamine formaldehyde resin has low water absorption and better chemical and heat resistance than urea resins. However major application is as bonding and adhesive components. Melamine is heterocyclic aromatic condensation of urea.

Melamine reacts with urea to form melamine resin. Melamine reacts with formaldehyde through a nuceophilic addition to give methylaoamine 

Polyvinyl Chloride, Polycarbonate, Thermoset Resin (Part - 2) | Chemical Technology - Chemical EngineeringPolyvinyl Chloride, Polycarbonate, Thermoset Resin (Part - 2) | Chemical Technology - Chemical Engineering

Epoxy Resin 

Epoxies are broad class of reactive monomers and resins containing epoxy functionality. Crude epoxies have good chemical and corrosion resistance, high adhesion to a variety of substrates and low shrinkage during occurring  Coatings and laminating binders are the largest users of epoxies.

Epoxy resin are made by the reaction between diphenol and epichlorohydrin. Most commonly used epoxy resin is made by reaction of bisphenol and epichlorohydrin. Epoxy resin find extensive application in coatings, adhesives and composite materials. Epoxy resin may be classified into DGEBA resin (Bis A resins), DGEBF resins (Bis-F resin), Epoxy novolac, Brominated epoxy resins, linear aliphatic resin, cycloaliphatic resins cycloaliphatic resins, multifunctional resins. Amongst the various epoxy resins, most widely epoxies are those derived from bisphenol and epichlrohydrin .

Process Technology 

Epichlorohydrin is first fed to the Polymerisation reactor in large excess to facilitate the formation of DGEB. Then bisphenol-A is added and dissolved followed by addition ofstrong caustic soda at controlled rate and with heating to start reaction. As the reaction proceeds, a mixture of water and epichlorohydrin distills and is condensed. The water is removed from the separator and epichlorohydrin is refluxed back to maintain its excess molar ratio. After the completion of reaction, the contents are drained out and the salt is removed by filtration. The filtrate is gain charged to reactor to recover excess epichlorohydrin by vacuum distillation.

Raw material requirement per tone of epoxy resin is  

Bisphenol-A0.72

Epichlohydrin0.72

Caustic soda (100�sis) 0.28 

The document Polyvinyl Chloride, Polycarbonate, Thermoset Resin (Part - 2) | Chemical Technology - Chemical Engineering is a part of the Chemical Engineering Course Chemical Technology.
All you need of Chemical Engineering at this link: Chemical Engineering
69 videos|121 docs

FAQs on Polyvinyl Chloride, Polycarbonate, Thermoset Resin (Part - 2) - Chemical Technology - Chemical Engineering

1. What is the main difference between polyvinyl chloride (PVC) and polycarbonate?
Ans. The main difference between PVC and polycarbonate lies in their chemical structure. PVC is a thermoplastic polymer made from vinyl chloride monomers, while polycarbonate is a thermoplastic polymer made from bisphenol A and phosgene. PVC is known for its rigidity and resistance to chemicals, while polycarbonate is valued for its excellent impact resistance and transparency.
2. Can thermoset resins be recycled?
Ans. No, thermoset resins cannot be easily recycled. Unlike thermoplastics, which can be melted and reshaped multiple times, thermoset resins undergo a irreversible chemical reaction during curing that gives them their excellent heat and chemical resistance. This curing process makes it difficult to melt and reshape the thermoset resin, making recycling options limited.
3. What are the common applications of polyvinyl chloride (PVC)?
Ans. PVC has a wide range of applications due to its versatile properties. It is commonly used in the construction industry for pipes, fittings, and profiles. PVC is also used in the production of vinyl flooring, electrical cable insulation, and automotive parts. Additionally, PVC can be found in various consumer products such as vinyl records, inflatable structures, and synthetic leather.
4. Is polycarbonate a suitable material for outdoor applications?
Ans. Yes, polycarbonate is often used in outdoor applications due to its excellent weatherability and impact resistance. It is commonly used in the construction of greenhouses, skylights, and outdoor signage. Polycarbonate's high transparency and resistance to UV radiation make it a popular choice for these applications, as it can withstand prolonged exposure to sunlight without yellowing or becoming brittle.
5. Are there any health concerns associated with the use of polyvinyl chloride (PVC)?
Ans. The use of PVC has raised some health concerns due to the release of toxic chemicals during its production, use, and disposal. Vinyl chloride, a key monomer used in PVC production, is considered a human carcinogen. Additionally, the incineration of PVC can release dioxins, which are highly toxic and persistent pollutants. However, strict regulations and proper handling can minimize the risks associated with PVC use.
Related Searches

shortcuts and tricks

,

mock tests for examination

,

Polycarbonate

,

past year papers

,

ppt

,

study material

,

Important questions

,

pdf

,

Polyvinyl Chloride

,

Sample Paper

,

Objective type Questions

,

Free

,

video lectures

,

Exam

,

Polyvinyl Chloride

,

MCQs

,

practice quizzes

,

Extra Questions

,

Polycarbonate

,

Summary

,

Thermoset Resin (Part - 2) | Chemical Technology - Chemical Engineering

,

Polycarbonate

,

Previous Year Questions with Solutions

,

Semester Notes

,

Viva Questions

,

Thermoset Resin (Part - 2) | Chemical Technology - Chemical Engineering

,

Thermoset Resin (Part - 2) | Chemical Technology - Chemical Engineering

,

Polyvinyl Chloride

;