Physics Exam  >  Physics Notes  >  Electricity & Magnetism  >  Potential & Field Formulation for Time Varying Fields

Potential & Field Formulation for Time Varying Fields | Electricity & Magnetism - Physics PDF Download

Scalar and Vector Potentials

We want general solution to Maxwell's Equations,
Potential & Field Formulation for Time Varying Fields | Electricity & Magnetism - Physics

Potential & Field Formulation for Time Varying Fields | Electricity & Magnetism - Physics

Given Potential & Field Formulation for Time Varying Fields | Electricity & Magnetism - Physics what are the fields Potential & Field Formulation for Time Varying Fields | Electricity & Magnetism - Physics

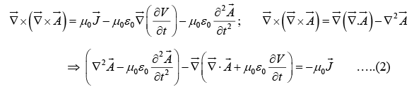
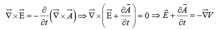
From equation (ii) we can still write
Potential & Field Formulation for Time Varying Fields | Electricity & Magnetism - Physics
Potential & Field Formulation for Time Varying Fields | Electricity & Magnetism - Physics

Potential & Field Formulation for Time Varying Fields | Electricity & Magnetism - Physics

Now from equation (i)
Potential & Field Formulation for Time Varying Fields | Electricity & Magnetism - Physics

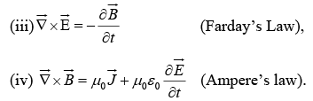
From equation (iv)
Potential & Field Formulation for Time Varying Fields | Electricity & Magnetism - Physics

Equations (1) and (2) contain all the information of Maxwell’s equations. Thus we need to calculate only four components (one for V and three for Potential & Field Formulation for Time Varying Fields | Electricity & Magnetism - Physics instead of six components (three for Potential & Field Formulation for Time Varying Fields | Electricity & Magnetism - Physics and three for Potential & Field Formulation for Time Varying Fields | Electricity & Magnetism - Physics


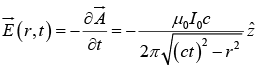
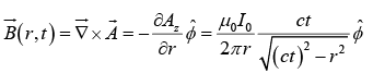
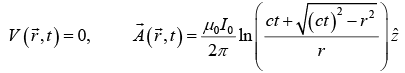
Example 1:  In an infinite straight wire constant current I0 is turned on abruptly at t = 0 . Then corresponding retarded potentials are given byPotential & Field Formulation for Time Varying Fields | Electricity & Magnetism - Physics . Find the fields corresponding to these potentials.

The electric field is
Potential & Field Formulation for Time Varying Fields | Electricity & Magnetism - Physics
And the magnetic field is
Potential & Field Formulation for Time Varying Fields | Electricity & Magnetism - Physics

Gauge Transformation

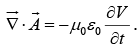
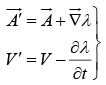
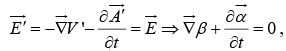
Suppose we have two sets of potentials, Potential & Field Formulation for Time Varying Fields | Electricity & Magnetism - Physics which correspond to the same electric and magnetic fields.

Thus,

Potential & Field Formulation for Time Varying Fields | Electricity & Magnetism - Physics
Since
Potential & Field Formulation for Time Varying Fields | Electricity & Magnetism - Physics
Two potentials also give the same Potential & Field Formulation for Time Varying Fields | Electricity & Magnetism - Physics
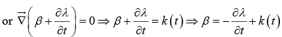
So,
Potential & Field Formulation for Time Varying Fields | Electricity & Magnetism - Physics
Potential & Field Formulation for Time Varying Fields | Electricity & Magnetism - Physics
Actually, we might as well absorb k (t ) into λ, defining a new λ by adding Potential & Field Formulation for Time Varying Fields | Electricity & Magnetism - Physics to the old one. This will not affect the gradient of λ ; it just adds Potential & Field Formulation for Time Varying Fields | Electricity & Magnetism - Physics

It follows that
Potential & Field Formulation for Time Varying Fields | Electricity & Magnetism - Physics

Conclusion: For any old scalar function λ , we can add Potential & Field Formulation for Time Varying Fields | Electricity & Magnetism - Physics 

provided we simultaneously subtract Potential & Field Formulation for Time Varying Fields | Electricity & Magnetism - Physics from V. None of these will affect the physical quantities Potential & Field Formulation for Time Varying Fields | Electricity & Magnetism - Physics and Potential & Field Formulation for Time Varying Fields | Electricity & Magnetism - Physics Such changes in V and Potential & Field Formulation for Time Varying Fields | Electricity & Magnetism - Physics are called gauge transformations. 

Coulomb and Lorentz Gauge

Coulomb Gauge reads
Potential & Field Formulation for Time Varying Fields | Electricity & Magnetism - Physics
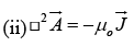
Lorentz Gauge condition is
Potential & Field Formulation for Time Varying Fields | Electricity & Magnetism - Physics
Since
Potential & Field Formulation for Time Varying Fields | Electricity & Magnetism - Physics
and
Potential & Field Formulation for Time Varying Fields | Electricity & Magnetism - Physics
Using Lorentz Gauge condition
Potential & Field Formulation for Time Varying Fields | Electricity & Magnetism - Physics
The virtue of the Lorentz gauge is that it treats V and Potential & Field Formulation for Time Varying Fields | Electricity & Magnetism - Physics on an equal footing: the same 

differential operator  Potential & Field Formulation for Time Varying Fields | Electricity & Magnetism - Physics (called the d' Alembertian) occurs in both equations:
Potential & Field Formulation for Time Varying Fields | Electricity & Magnetism - Physics
Potential & Field Formulation for Time Varying Fields | Electricity & Magnetism - Physics

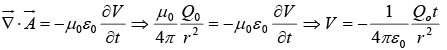
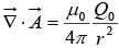
Example 2: For a vector potential Potential & Field Formulation for Time Varying Fields | Electricity & Magnetism - Physics the divergence of Potential & Field Formulation for Time Varying Fields | Electricity & Magnetism - Physics is Potential & Field Formulation for Time Varying Fields | Electricity & Magnetism - Physics where Q0 is a constant of appropriate dimensions. Find the corresponding scalar potential Potential & Field Formulation for Time Varying Fields | Electricity & Magnetism - Physics that makes Potential & Field Formulation for Time Varying Fields | Electricity & Magnetism - Physics and V Lorentz gauge invariant.

Potential & Field Formulation for Time Varying Fields | Electricity & Magnetism - Physics

The document Potential & Field Formulation for Time Varying Fields | Electricity & Magnetism - Physics is a part of the Physics Course Electricity & Magnetism.
All you need of Physics at this link: Physics
82 videos|32 docs|22 tests
Related Searches

Potential & Field Formulation for Time Varying Fields | Electricity & Magnetism - Physics

,

practice quizzes

,

Potential & Field Formulation for Time Varying Fields | Electricity & Magnetism - Physics

,

ppt

,

Summary

,

study material

,

Important questions

,

mock tests for examination

,

video lectures

,

MCQs

,

Exam

,

Semester Notes

,

past year papers

,

Previous Year Questions with Solutions

,

Objective type Questions

,

shortcuts and tricks

,

Viva Questions

,

Potential & Field Formulation for Time Varying Fields | Electricity & Magnetism - Physics

,

Extra Questions

,

Sample Paper

,

pdf

,

Free

;