Mechanical Engineering Exam  >  Mechanical Engineering Notes  >  General Aptitude for GATE  >  Previous Year Questions: General Aptitude - 2

Previous Year Questions: General Aptitude - 2 | General Aptitude for GATE - Mechanical Engineering PDF Download

Q1: What is the missing number in the following sequence?  (2018)
2, 12, 60, 240, 720, 1440, _____ ,0
(a) 2880
(b) 1440
(c) 720
(d) 0
Ans: 
(b)
Sol:
2 x 6 = 12
12 x 5 = 60
60 x 4 = 240
240 x 3 = 720
720 x 2 = 1440
1440 x 1 = 1440
So, option B, 1440 is the next term.

Q2: What would be the smallest natural number which when divided either by 20 or by 42 or by 76 leaves a remainder of 7 in each case?  (2018)
(a) 3047
(b) 6047
(c) 7987
(d) 63847

Ans: (c)
Sol:
Let n be the smallest number which is divisible by x, y and z and leaves remainder r in each case.
So, n = LCM(x, y, z) + r
x = 20, y = 42, z = 76 and r = 7
Smallest number, n = LCM (20, 42, 76) + 7
⇒ n = 7980 + 7 = 7987
So, option (C) is the right choice

Q3: The area of a square is d. What is the area of the circle which has the diagonal of the square as its diameter?  (2018)
(a) πd
(b) πd2
(c)Previous Year Questions: General Aptitude - 2 | General Aptitude for GATE - Mechanical Engineering
(d)Previous Year Questions: General Aptitude - 2 | General Aptitude for GATE - Mechanical Engineering
Ans:
(d)
Sol:  

The area of a square is d
We know that, if a square has a units as the length of its side, then its area will be a2.
Previous Year Questions: General Aptitude - 2 | General Aptitude for GATE - Mechanical Engineering
⇒ every side of the square will be √d
Now, the diagonal of the square will be Previous Year Questions: General Aptitude - 2 | General Aptitude for GATE - Mechanical Engineering
Previous Year Questions: General Aptitude - 2 | General Aptitude for GATE - Mechanical Engineering

Now, √2d is the diameter of a circle. 

Previous Year Questions: General Aptitude - 2 | General Aptitude for GATE - Mechanical Engineering

∴ Radius of the circle will bePrevious Year Questions: General Aptitude - 2 | General Aptitude for GATE - Mechanical Engineering

Previous Year Questions: General Aptitude - 2 | General Aptitude for GATE - Mechanical Engineering

We know Area of the circle is πr2, where, r = radius of the circle
Previous Year Questions: General Aptitude - 2 | General Aptitude for GATE - Mechanical Engineering
Previous Year Questions: General Aptitude - 2 | General Aptitude for GATE - Mechanical Engineering
Option (D)

Q4: A ________ investigation can sometimes yield new facts, but typically organized ones are more successful.  (2018)
The word that best fills the blank in the above sentence is
(a) meandering
(b) timely
(c) consistent
(d) systematic
Ans: 
(a)
Sol: 

The use of phrase but in the question implies the answer must be the word that contradicts the meaning of organized (ordered).
Timely, Consistent and Systematic implies same behavior as organized.
Hence the answer has to be meandering (ANS)

Q5: "From where are they bringing their books? _______ bringing _______ books from ________"  (2018)
The words that best fill the blanks in the above sentence are
(a) Their, they're, there
(b) They're, their, there
(c) There, their, they're
(d) They're, there, there
Ans: 
(b)
Sol:

They're for pointing group
Their for pointing people
There for place
B is answer

Q6: An air pressure contour line joins locations in a region having the same atmospheric pressure. The following is an air pressure contour plot of a geographical region. Contour lines are shown at 0.05 bar intervals in this plot.
If the possibility of a thunderstorm is given by how fast air pressure rises or drops over a region, which of the following regions is most likely to have a thunderstorm?  (2017 SET-2)

Previous Year Questions: General Aptitude - 2 | General Aptitude for GATE - Mechanical Engineering(a) P
(b) Q
(c) R
(d) S
Ans:
(c)
Sol:

More Pressure gradient (variation of pressure) causes more thunderstorm possibility. In the region, R  contour lines are very dense and giving more pressure gradient (notice two of them are very close).
(Previous Year Questions: General Aptitude - 2 | General Aptitude for GATE - Mechanical Engineering , one of these values will be very high in comparison to other regions).
 R is the answer.

Q7: The number of roots of ex + 0.5x- 2 = 0 in the range [-5,5] is (2017 SET-2)
(a) 0
(b) 1
(c) 2
(d) 3
Ans:
(c)
Sol:

Let f(x) = ex + 0.5x2 - 2, and we want to see if f(x) = 0 has any solution in [-5,5]
f'(x) = ex + x and we definitely have solution of f'(x) = 0 in [-5, 5] because f'(x) is continuous and '(-5) <0, f'(5) > 0
(Moreover f'(x) has only one solution as it is a strictly increasing function.)
Let k be one of the solutions for f'(x) hence f'(k) = 0 where k ∈ [-5, 5], for " < k", f'(x) is -ve and for " > k", f'(x) is +ve. means for < k, f(x) is decreasing and for > k, f(x) is increasing.
Rough plot of f(x) may go like this
Previous Year Questions: General Aptitude - 2 | General Aptitude for GATE - Mechanical EngineeringNow it is clear that f(x) has two solutions.
BUT, how can i sure that these solutions are in between [-5, 5]?
Yes I agree that k ∈ [-5, 5], but there are many possibilities of solution to be in [-5, 5]
Previous Year Questions: General Aptitude - 2 | General Aptitude for GATE - Mechanical Engineering(in all three images k ∈ [-5, 5])
You wanna know which image is correct? : 0
Just check sign of f(-5) and f(5), u will get to know "Image-1" is correct one.
Hence, there are 2 solutions in between of [-5, 5].
C is correct answer.

Q8: X is a 30 digit number starting with the digit 4 followed by the digit 7. Then the number X3 will have (2017 SET-2)
(a) 90 digits
(b) 91 digits
(c) 92 digits
(d) 93 digits
Ans: 
(a)
Sol:

X = 4777 . . . (7 29 times)
It can be written as X = 4.7777 . . . * 1029

X3 = (4.777 . . . * 1029)3 = (4.777...)3 * 1087
Now, even if we round up 4.777 . . . to 5, we could represent 53 = 125 in 3 digits.  So, We can say (4.77...)3 also has 3 digits before decimal point.
So, X3 requires 3 + 87 = 90 digits.
Correct Answer: A

Q9:  There are three boxes. One contains apples, another contains oranges and the last one contains both apples and oranges. All three are known to be incorrectly labeled. If you are permitted to open just one box and then pull out and inspect only one fruit, which box would you open to determine the contents of all three boxes?  (2017 SET-2)
(a) The box labeled 'Apples'
(b) The box labeled 'Apples and Oranges'
(c) The box labeled 'Oranges'
(d) Cannot be determined
Ans:
(b)
Sol:
B. the box labelled 'Apples and Oranges'.
Reason.
We know that the box labeled "Apples and Oranges" can't contain both, so whatever we pick will be the correct label.
Without the loss of generality say picked item was an orange, what that means is that the box that is labeled "Apples" can't contain just oranges. It also can't contain just apples as it is known to be wrong. So it only can contain combination of oranges and apples. Now the third box labeld "Oranges" contains only apples.

Q10: "We lived in a culture that denied any merit to literary works, considering them important only when they were handmaidens to something seemingly more urgent - namely ideology. This was a country where all gestures, even the most private, were interpreted in political terms."  (2017 SET-2)
The author's belief that ideology is not as important as literature is revealed by the word:
(a) culture'
(b) seemingly'
(c) urgent'
(d) political'
Ans:
(b)
Sol:

Seemingly means external appearance as distinguished from true character − means it is not actually what it looks like.
"considering them important only when they were handmaidens (means assisting or helping) to something seemingly more urgent" means it looks like urgent but in real it is not so urgent.
So, ideology is not as important as literature, is revealed by the word "seemingly".

Q11:  There are 3 red socks, 4 green socks and 3 blue socks. You choose 2 socks. The probability that they are of the same colour is  (2017 SET-2)
(a) 1/5
(b) 7/30
(c) 1/4
(d) 4/15
Ans: 
(d)
Sol:

Previous Year Questions: General Aptitude - 2 | General Aptitude for GATE - Mechanical EngineeringPrevious Year Questions: General Aptitude - 2 | General Aptitude for GATE - Mechanical Engineering
assuming ball are not identical
Correct Answer: D

Q12: A test has twenty questions worth 100 marks in total. There are two types of questions. Multiple choice questions are worth 3 marks each and essay questions are worth 11 marks each. How many multiple choice questions does the exam have?  (2017 SET-2)
(a) 12
(b) 15
(c) 18
(d) 19
Ans: 
(b)
Sol: 

Let the number of MCQs be x and number of essay questions be y.
Given MCQs are worth 3 marks each and essay questions are worth 11 marks each.
Also, total number of questions is 20 worth 100 marks in total.
⇒ x + y = 20 and 3x + 11y = 100.
⇒ 3x + 11(20 - x) = 100
⇒ 8x = 120
⇒ x = 120/8 =15

Q13: There are five buildings called V, W, X, Y and Z in a row (not necessarily in that order). V is to the West of W. Z is to the East of X and the West of V. W is to the West of Y. Which is the building in the middle?  (2017 SET-2)
(a) V
(b) W
(c) X
(d) Y
Ans: 
(a)
Sol: 

Ans: A. V
Given order: (West on left)
VW, XZ, ZV, WY
Considering them together:
XZ, ZV ⇒ XZV
VW, WY ⇒ VWY
XZV, VWY ⇒ XZVWY
So, V is the building in the middle.

Q14: Saturn is ___________ to be seen on a clear night with the naked eye.  (2017 SET-2)
(a) enough bright
(b)bright enough
(c) as enough bright
(d) bright as enough
Ans: (b)
Sol:

With adjectives and adverbs, enough comes after adjectives and adverbs.
With nouns, enough comes before noun.
In the given question, enough is used with bright which is an adjective, so enough will come after the adjective.
So, bright enough is the correct option(B).

Q15: Choose the option with words that are not synonyms.  (2017 SET-2)
(a) aversion, dislike
(b) luminous, radiant
(c) plunder, loot
(d) yielding, resistant
Ans: 
(d) 
Sol:

Yield means to give in and resistance means to not give in.
Rest are all synonyms.
Hence, (D) is correct.

Q16: A contour line joins locations having the same height above the mean sea level. The following is a contour plot of a geographical region. Contour lines are shown at 25 m intervals in this plot. If in a flood, the water level rises to 525 m, which of the villages P, Q, R, S, T get submerged?  (2017 SET-1)
Previous Year Questions: General Aptitude - 2 | General Aptitude for GATE - Mechanical Engineering

(a) P, Q
(b) P, Q, T
(c) R, S, T
(d) Q, R, S
Ans: 
(c)
Sol:

Height of each place will be ( in meters)
600 > P > 550, 550 > Q > 525, 500 > R > 450, 450 > S > 425, 525 > T > 500
Only R, S, T < 525
Hence most suitable answer will be (c) R,S,T
These places will definitely be submerged if the water level rises to 525 m.

Q17: Arun, Gulab, Neel and Shweta must choose one shirt each from a pile of four shirts coloured red, pink, blue and white respectively. Arun dislikes the colour red and Shweta dislikes the colour white. Gulab and Neel like all the colours. In how many different ways can they choose the shirts so that no one has a shirt with a colour he or she dislikes?  (2017 SET-1)
(a) 21
(b) 18
(c) 16
(d) 14
Ans: 
(d)
Sol:

Total possibilities = 4! = 24.
No. of ways  'Arun chooses red' or 'Shwetha chooses white'
= (no.of ways `Arun chooses red')
+(no.of ways `Shwetha chooses white')
-(no.of ways `Arun chooses red' and 'Shwetha chooses white')
= 6 + 6 - 2 = 10
required = 24 - 10 = 14.
Correct Answer D

Q18: The expression Previous Year Questions: General Aptitude - 2 | General Aptitude for GATE - Mechanical Engineeringis equal to : (2017 SET-1)
(a) The maximum of x and y
(b) The minimum of x and y
(c) 1
(d) None of the above

Ans: (b)
Sol:
When x > y, | x – y | = x – y, if we substitute in expression we get y.
When x < y, | x – y | = –(x – y), if we substitute in expression we get x.
Therefore in both the case we get minimum of (x, y).
ANS: B

Q19: Six people are seated around a circular table. There are at least two men and two women. There are at least three right-handed persons. Every woman has a left-handed person to her immediate right. None of the women are right-handed. The number of women at the table is  (2017 SET-1)
(a) 2
(b) 3
(c) 4
(d) Cannot be determined
Ans: 
(a)
Sol:

  • Atleast 3 Right handed person.
  • Every woman is left handed.
  • Immediate right to woman is left handed person.
  • As already given every woman is left handed. So, given 3 Right handed Person actually man.

So at this moment we havePrevious Year Questions: General Aptitude - 2 | General Aptitude for GATE - Mechanical Engineering
We need 1 more person to make total 6 person and that person may be either
 → Woman with left handed. (or) → Man with either left handed or right handed.
Previous Year Questions: General Aptitude - 2 | General Aptitude for GATE - Mechanical Engineering

Correct Answer: A

Q20: "The hold of the nationalist imagination on our colonial past is such that anything inadequately or improperly nationalist is just not history."
Which of the following statements best reflects the author's opinion?  (2017 SET-1)
(a) Nationalists are highly imaginative.
(b) History is viewed through the filter of nationalism.
(c) Our colonial past never happened.
(d) Nationalism has to be both adequately and properly imagined.
Ans:
(b)
 Sol:

It says that we try to overlook facts of history which is not in favour of our nationalism interest.
So, B. history is viewed through nationalism.

Q21: The probability that a k-digit number does NOT contain the digits 0, 5, or 9 is  (2017 SET-1)
(a) 0.3k
(b) 0.6k
(c) 0.7k
(d) 0.9k
Ans: (c)
Sol:
Total possibilities = 9 x 10k-1, because most significant digit has 9 options (excluding 0) and every other digit has 10 options from 0 to 9.
options (excluding 0)
Possibility of not containing any of the digits 0, 5, 9 = 7k, as now every digit has 7 options.
Required probability =Previous Year Questions: General Aptitude - 2 | General Aptitude for GATE - Mechanical Engineering
So C is the answer.

Q22: Find the smallest number y such that y × 162 is a perfect cube.  (2017 SET-1)
(a) 24
(b) 27
(c) 32
(d) 36
Ans: 
(d)
Sol:

y x 162 = y x 34 x 2
So, for perfect cube we need to add two 3s and two 2s.
Answer is: 32 x 22 = 36.
Correct Answer: D

Q23: Rahul, Murali, Srinivas and Arul are seated around a square table. Rahul is sitting to the left of Murali. Srinivas is sitting to the right of Arul. Which of the following pairs are seated opposite each other?  (2017 SET-1)
(a) Rahul and Murali
(b) Srinivas and Arul
(c) Srinvas and Murali
(d) Srinivas and Rahul
Ans:
(c)
Sol:

Arul and Rahul will sit opposite to each other.
Murali and Srinivas will sit opposite to each other in the square table.
Answer: C

Q24: Research in the workplace reveals that people work for many reasons _______________ .  (2017 SET-1)
(a) money beside
(b) beside money
(c) money besides
(d) besides money
Ans: 
(d)
Sol:

The spelling difference between beside and besides is a small one, but their meanings and uses are quite different!
BESIDE, with no “s” at the end, is used only as a preposition, which means there is always a noun following it. It means either “next to” or “compared to,” as shown in the examples below. The first meaning, “next to,” is more common.

  • She sat beside (= next to) him during dinner.
  • These problems seem unimportant beside (= compared to) the potential benefits of the new system.

BESIDES with an “s” at the end can also be used as a preposition, but it means “except” or “in addition to,” as in these examples:

  • There's no one here besides (= except) me.
  •  She wants to learn other languages besides (= in addition to) English and French.
  •  Besides (= in addition to) its famous cakes, the bakery also makes delicious breads and cookies.

So, Answer is (D)

Q25: After Rajendra Chola returned from his voyage to Indonesia, he ________ to visit the temple in Thanjavur.  (2017 SET-1)
(a) was wishing
(b) is wishing
(c) wished
(d) had wished
Ans: 
(c)
Sol:

According to the rule : when the main clause is in the past or past perfect tense, the subordinate clause must be in the past or past perfect tense.
so option (C) is correct.

Q26: Previous Year Questions: General Aptitude - 2 | General Aptitude for GATE - Mechanical EngineeringChoose the correct expression for f(x) given in the graph.  (2016 SET-2)

(a) f(x) = 1 − ∣x - 1∣
(b) f(x) = 1 + ∣x -1∣
(c) f(x) = 2 − ∣x - 1∣
(d) f(x) = 2 + ∣x - 1∣
Ans: 
(c)
Sol:

Answer is Option C
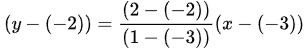
The equation of line, from coordinates (1, 2) to (3,0), where ∣x - 1∣ = (x-1)
Previous Year Questions: General Aptitude - 2 | General Aptitude for GATE - Mechanical Engineering
y = 2 - (x - 1)
y = 2 - |x - 1|
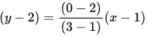
The equation of line, from coordinates (-3, -2) to (1, 2), where  |x - 1| = -(x - 1)
Previous Year Questions: General Aptitude - 2 | General Aptitude for GATE - Mechanical Engineering
y = x + 1
y = 2 - (-(x - 1))
y = 2 - |x - 1|
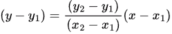
Note : Equation of line when two coordinates (x2, y2) and (x1, y1) are given is
Previous Year Questions: General Aptitude - 2 | General Aptitude for GATE - Mechanical Engineering

Q27: In a 2 x 4 rectangle grid shown below, each cell is rectangle. How many rectangles can be observed in the grid?  (2016 SET-2)
Previous Year Questions: General Aptitude - 2 | General Aptitude for GATE - Mechanical Engineering
(a) 21
(b) 27
(c) 30
(d) 36
Ans: 
(c)
Sol:

To form a rectangle, we must choose two horizontal sides and two vertical sides. Since there are three horizontal lines,
We can choose the horizontal sides in 3C2 ways.
Similarly, to choose 2 vertical lines out of 5 vertical lines is 5C2.
So, answer isPrevious Year Questions: General Aptitude - 2 | General Aptitude for GATE - Mechanical Engineering
Correct Answer: C

Q28: All hill-stations have a lake. Ooty has two lakes.  (2016 SET-2)
Which of the statement(s) below is/are logically valid and can be inferred from the above sentences?
(i). Ooty is not a hill-station.
(ii). No hill-station can have more than one lake.
(a) (i) only.
(b) (ii) only.
(c) Both (i) and (ii)
(d) Neither (i) nor (ii)
Ans:
(d)
Sol:

All hill stations have a lake ⇒ ∀x(h(x) →(∃y, l(y) ∧ has (x, y)))
Ooty has two lakes ⇒ ∃x(o(x) ∧ ∃y, z(has(x, y, z) ∧ l(y) ∧ l(z) ∧ (z ≠ y))
Here,

  • h(x) → x is hill station
  • l(x) → x is lake
  • has(x, y) → x has y
  • has(x, y, z) → x has y, z
  • o(x) → x is Ooty

i. Ooty is not a hill station: We can not derive this above arguments, Ooty has two lakes already, if Ooty had 0 lakes only then this can become true.
ii. No hill station can have more than one lake.
All arguments here are saying are if we have hill station, it can have lake. It is nowhere told that how many lakes it has. So, this is false.
Answer: (D) neither (i) nor (ii)

Q29: Computers were invented for performing only high-end useful computations. However, it is no understatement that they have taken over our world today. The internet, for example, is ubiquitous. Many believe that the internet itself is an unintended consequence of the original invention. With the advent of mobile computing on our phones, a whole new dimension is now enabled. One is left wondering if all these developments are good or, more importantly, required.  (2016 SET-2)
Which of the statement(s) below is/are logically valid and can be inferred from the above paragraph?
(i) The author believes that computers are not good for us.
(ii) Mobile computers and the internet are both intended inventions.
(a) (i) only
(b) (ii) only
(c) Both (i) and (ii)
(d) Neither (i) nor (ii)

Ans: (d)
Sol:
"Many believes that the internet itself is unintended consequence of the original invention. So (ii) statement does not follow from the passage."
The author has no where said that the computers are bad, authoring is talking about the way computers are being used today and the author questions this way. So, (i) statement does not follow.
Hence, option (D) is the answer.

Q30: Among 150 faculty members in an institute, 55 are connected with each other through Facebook and 85 are connected through Whatsapp. 30 faculty members do not have Facebook or Whatsapp accounts. The numbers of faculty members connected only through Facebook accounts is _______.  (2016 SET-2)
(a) 35
(b) 45
(c) 64
(d) 90
Ans: 
(a)
Sol:

Let F denotes Facebook users,
W denotes Whatsapp users ,
F' denotes those not using Facebook, and
W' denotes those not using Whatsapp.
U denotes universal set.
Total faculties in institute, n(U) = 150
Facebook users, n(F) = 55
Whatsapp users, n(W) = 85
Faculty members not using Facebook or Whatsapp n(F' ∩ W') = 30
Faculty members using either Facebook or Whatsapp
n(F ∩ W) = n(U) - n(F' ∩ W') = 150 - 30 = 120
Faculty members using both Facebook and Whatsapp
n(F ∩ W) = n(F) + n(W) - n(F U W) = 55 + 85 - 120 = 20
Faculty members using Facebook only
n(F ∩ W') = n(F) - n(F  ∩ W) = 55 - 20 = 35

Q31: In a quadratic function, the value of the product of the roots (α, β) is 4. Find the value of  (2016 SET-2)
Previous Year Questions: General Aptitude - 2 | General Aptitude for GATE - Mechanical Engineering
(a) n4
(b) 4n
(c) 22n-1
(d) 4n−1
Ans: 
(b)
Sol:

Previous Year Questions: General Aptitude - 2 | General Aptitude for GATE - Mechanical Engineering
Previous Year Questions: General Aptitude - 2 | General Aptitude for GATE - Mechanical Engineering
= (αβ)n

= 4n
as product of roots, αβ = 4
Correct Answer: B

Q32: Pick the odd one from the following options.  (2016 SET-2)
(a) CADBE
(b) JHKIL
(c) XVYWZ
(d) ONPMQ
Ans: 
(d)
Sol:

Previous Year Questions: General Aptitude - 2 | General Aptitude for GATE - Mechanical Engineering
They are all making sequence of  1 - 2 - 3 - 4 - 5 and as in alphabetical order
So, Option D is the Answer.

Q33: Find the odd one in the following group of words.  (2016 SET-2)
mock, deride, praise, jeer
(a) Mock
(b) Deride
(c) Praise
(d) Jeer
Ans:
(c)
Sol:

Mock :  Make fun of someone in a cruel way
Deride : express contempt for (Contempt means offense of being disobedient)
Jeer : make rude and mocking remarks
So the three options are opposite to the meaning of praise.

Q34: Nobody knows how the Indian cricket team is going to cope with the difficult and seamer-friendly wickets in Australia.
Choose the option which is closest in meaning to the underlined phrase in the above sentence.  (2016 SET-2)
(a) Put up with.
(b) Put in with
(c) Put down to.
(d) Put up against.
Ans: 
(a)
Sol:

Answer is (A)
The closest meaning to cope with is put up with which means to tolerate. Cope with does not mean to place someone into competition with someone else.

Q35: The man who is now Municipal Commissioner worked as _____________  (2016 SET-2)
(a) the security guard at a university
(b) a security guard at the university
(c) a security guard at university
(d) the security guard at the university
Ans: 
(b)
Sol:

University considered as an organization that’s why article the used before university.
And Post of security is a general post, so article a has been used for security guard.
So, option (B) is true.

The document Previous Year Questions: General Aptitude - 2 | General Aptitude for GATE - Mechanical Engineering is a part of the Mechanical Engineering Course General Aptitude for GATE.
All you need of Mechanical Engineering at this link: Mechanical Engineering
193 videos|169 docs|152 tests

FAQs on Previous Year Questions: General Aptitude - 2 - General Aptitude for GATE - Mechanical Engineering

1. What topics are typically covered under General Aptitude in exams?
Ans. General Aptitude usually includes topics such as numerical ability, logical reasoning, analytical reasoning, data interpretation, and verbal ability. It assesses problem-solving skills and the ability to understand and interpret various types of information.
2. How can I prepare effectively for General Aptitude questions?
Ans. To prepare effectively, practice regularly with previous years' question papers and sample tests. Focus on understanding concepts rather than rote memorization. Utilize online resources, books, and practice tests to enhance your skills in different areas.
3. Are there any specific formulas I should memorize for General Aptitude?
Ans. Yes, it is beneficial to memorize key formulas related to areas such as percentages, ratios, averages, area and volume calculations, and basic algebra. Familiarity with these formulas will help you solve problems more quickly during the exam.
4. How can time management be improved while solving General Aptitude questions?
Ans. Time management can be improved by practicing under timed conditions, familiarizing yourself with the types of questions asked, and identifying which sections take more time. Work on pacing yourself to ensure that you have adequate time for all questions in the exam.
5. What resources are recommended for practicing General Aptitude questions?
Ans. Recommended resources include aptitude preparation books, online mock tests, educational websites, and mobile applications that offer practice questions and quizzes specifically designed for General Aptitude. Joining study groups or forums can also provide additional support and materials.
Related Searches

Summary

,

mock tests for examination

,

Free

,

Extra Questions

,

ppt

,

Exam

,

study material

,

Previous Year Questions: General Aptitude - 2 | General Aptitude for GATE - Mechanical Engineering

,

Semester Notes

,

Viva Questions

,

Previous Year Questions: General Aptitude - 2 | General Aptitude for GATE - Mechanical Engineering

,

Objective type Questions

,

Previous Year Questions: General Aptitude - 2 | General Aptitude for GATE - Mechanical Engineering

,

Previous Year Questions with Solutions

,

past year papers

,

MCQs

,

Important questions

,

pdf

,

practice quizzes

,

Sample Paper

,

shortcuts and tricks

,

video lectures

;