JEE Exam  >  JEE Notes  >  JEE Main Previous Year Questions (2016- 2025): Current Electricity- 1

JEE Main Previous Year Questions (2016- 2025): Current Electricity- 1 PDF Download

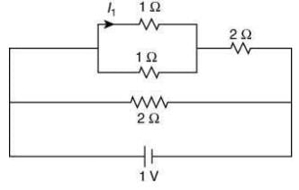
Q 1. The current I1 (in A) flowing through 1 Ω resistor in the following circuit is    [2020]
JEE Main Previous Year Questions (2016- 2025): Current Electricity- 1
(1) 0.4
(2) 0.5
(3) 0.2
(4) 0.25 

Ans: (3)
Solution:
We have the following circuit figure
 JEE Main Previous Year Questions (2016- 2025): Current Electricity- 1
Two 1 Ω resistors are connected is parallel so equivalent resistance is
JEE Main Previous Year Questions (2016- 2025): Current Electricity- 1
So, circuit becomes
JEE Main Previous Year Questions (2016- 2025): Current Electricity- 1
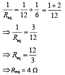
Equivalent resistance of 0.5 Ω and 2 Ω resistor connected in series is
R' = 0.5 + 2 - 2.5 Ω
So, circuit becomes
JEE Main Previous Year Questions (2016- 2025): Current Electricity- 1
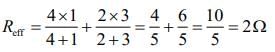
Equivalent resistance of circuit is
JEE Main Previous Year Questions (2016- 2025): Current Electricity- 1
So current in the circuit is
I = V/R = 9/10A
Then
JEE Main Previous Year Questions (2016- 2025): Current Electricity- 1
Potential difference across 0.5 Ω resistor is
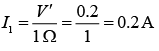
V' = i2 x R = 0.4 x 0.5 = 0.2 V
So, current through 1 Ω resistor is
JEE Main Previous Year Questions (2016- 2025): Current Electricity- 1


Q 2. In a building there are 15 bulbs of 45 W, 15 bulbs of 100 W, 15 small fans of 10 W and 2 heaters of 1 kW. The voltage of electric mains is 220 V. The minimum fuse capacity (rated value) of the building will be    [2020]
(1) 10 A
(2) 25 A
(3) 15 A
(4) 20 A
Ans: 
(4)
Solution:
Given that, 15 bulbs of 45 W, 15 bulbs of 100 W, 15 small fans of 10 W, 2 heaters of 1 kW = 1000 W, Voltage of electric main, V = 220 V 

Total power is given by
P = (15 × 45) + (15 × 100) + (15 × 10) + (2 × 1000)
= 675 + 1500 + 150 + 2000 = 4325 W
We know that,
I = P/V = 4325/220 = 19.659 ∼ 20A
so minimum fuse capacity of the building will be 20 A.

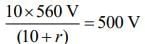
Q 3. The balancing length for a cell is 560 cm in a potentiometer experiment. When an external resistance of 10 Ω is connected in parallel to the cell, the balancing length changes by 60 cm. If the internal resistance of the cell is ( N/10) Ω, where N is an integer then value of N is ________.    [2020]
Ans:
12
Solution: 
balancing length, L = 560 cm
external resistance, R = 10 Ω
New balancing length after external resistance is connected, L' = 60 cm
Internal resistance of the cell, r = N/10Ω
Let emf of cell be E, and potential difference be V
Then,    E = 560 V     ...(1)
when external resistance connected in parallel, new emf is
JEE Main Previous Year Questions (2016- 2025): Current Electricity- 1
From Eq. (1), we have
JEE Main Previous Year Questions (2016- 2025): Current Electricity- 1
JEE Main Previous Year Questions (2016- 2025): Current Electricity- 1
⇒ 56= 5(10 + r)
⇒ 56 = 50+5r
⇒ 5r = 6 ⇒ r = 1.2 Ω
we have,
r = N/10
⇒ 1.2 = N/10
⇒ N = 12
So value of integer N is 12.

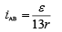
Q 4. The length of a potentiometer wire is 1200 cm and it carries a current of 60 mA. For a cell of emf 5 V and internal resistance of 20 Ω, the null point on it is found to be at 1000 cm. The resistance of whole wire is      [2020]
(1) 80 Ω 
(2) 120 Ω 
(3) 60 Ω 
(4) 100 Ω 
Ans: (4)
Solution:
Given that L = 1200 cm, I = 60mA, ε = 5V, r = 20Ω, l = 1000 cm
We know that
JEE Main Previous Year Questions (2016- 2025): Current Electricity- 1
So,
JEE Main Previous Year Questions (2016- 2025): Current Electricity- 1
JEE Main Previous Year Questions (2016- 2025): Current Electricity- 1

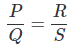
Q 5. Four resistances of 15 Ω, 12 Ω, 4 Ω and 10 Ω respectively are connected in cyclic order to form Wheatstone’s network. The resistance that is to be connected in parallel with the resistance of 10 Ω to balance the network is ___________ Ω.     [2020]
Ans: 10
Solution:
Given that P' = 15Ω, Q' = 12Ω, R' = 4Ω, S' = 10Ω
JEE Main Previous Year Questions (2016- 2025): Current Electricity- 1
Condition for balanced Wheatstone bridge is
JEE Main Previous Year Questions (2016- 2025): Current Electricity- 1
⇒ PS = QR
So,
JEE Main Previous Year Questions (2016- 2025): Current Electricity- 1

Q 6. The series combination of two batteries, both of the same emf 10 V, but different internal resistance of 20 Ω and 5 Ω, is connected to the parallel combination of two resistors 30 Ω and R Ω. The voltage difference across the battery of internal resistance 20 Ω is zero, the value of R (in Ω) is _______.     [2020]
Ans: (30)
Solution:
Given condition can be shown by the following circuit figure
JEE Main Previous Year Questions (2016- 2025): Current Electricity- 1 
Given that
E1 = E2 = 10V, r1 = 20Ω, r2 = 5Ω, R' = 30Ω, V1 = 0V
We have
V1 = E1 - lr1
⇒ 0 = 10 - 20l
⇒ I = 0.5A
V2 = E2 - lr2
= 10 - (0.5 x 5) = 7.5 a
I = I1 + I2 = 0.5 A        ..(1)
V = V+ V2 = 7.5 V      ..(2)
From Eqs. (1) and (2), we have
JEE Main Previous Year Questions (2016- 2025): Current Electricity- 1
JEE Main Previous Year Questions (2016- 2025): Current Electricity- 1

Q 7. In the given circuit diagram, a wire is joining points B and D. The current in this wire is
JEE Main Previous Year Questions (2016- 2025): Current Electricity- 1    [2020]
(1) 0.4 A
(2) 2 A
(3) 4 A
(4) zero
Ans: 
(2)
Solution: 
Total current in the circuit is given by
JEE Main Previous Year Questions (2016- 2025): Current Electricity- 1
Effective resistance of the combination is
JEE Main Previous Year Questions (2016- 2025): Current Electricity- 1
Given that V = 20 V. So,
I = 20/2 = 10 A
JEE Main Previous Year Questions (2016- 2025): Current Electricity- 1
Applying KVL in loop 1, we get
I x I1 - [4 x (10 - I1)] = 0
⇒ 5I1 = 40 ⇒ I1 = 8A
Applying KVL in loop 2, we get
[ 2 x (l1 - l2)] - [3 x (10 - I1 + I2)] = 0
⇒ 5l1 - 5l2 = 30 ⇒ I2 = 2A

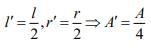
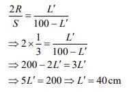
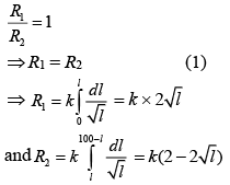
Q 8. In a meter bridge experiment, S is a standard resistance. R is a resistance wire. It is found that balancing length is l = 25 cm. If R is replaced by a wire of half length and half diameter that of R of same material, then the balancing distance l' (in cm) will now be _________.     [2020]
JEE Main Previous Year Questions (2016- 2025): Current Electricity- 1
Ans:
40
Solution:
When meter bridge is balanced, we have
JEE Main Previous Year Questions (2016- 2025): Current Electricity- 1
Now,
JEE Main Previous Year Questions (2016- 2025): Current Electricity- 1
So, new resistance is
JEE Main Previous Year Questions (2016- 2025): Current Electricity- 1
So, new balanced point is
JEE Main Previous Year Questions (2016- 2025): Current Electricity- 1

Q 9. A resistance is shown in the figure. Its value and tolerance are given, respectively, by    [2019]
JEE Main Previous Year Questions (2016- 2025): Current Electricity- 1

(1) 270 Ω, 10%
(2) 27 kΩ, 10%
(3) 27 kΩ, 20%
(4) 270 Ω, 5%
Ans: 
(2)
Solution:
This resistor, read from left to right, has the colored bands of RED, VIOLET, ORANGE and SILVER.
The resistance is,
R = (1st Digit × 10 + 2nd Digit) × Multiplier
R = (RED × 10 + VIOLET) × ORANGE = (2 × 10 + 7) × 1,000
= 27,000 Ω = 27 kΩ
Since, the last band is silver, the tolerance is 10%.

Q 10. Drift speed of electrons, when 1.5 A of current flows in a copper wire of cross section 5 mm2, is v. If the electron density in copper is 9 × 1028/m3 the value of v in m/s is close to (take charge of electron to be 1.6 × 10−19 C)     [2019]
(1) 0.02
(2) 3
(3) 2
(4) 0.2
Ans:
(1)
Solution: Cross section of copper wire, A = 5 mm2 = 5 × 10−6 m2 
Current flows in a copper wire, I = 1.5 A
Charge, q = 1.6 × 10−19 C
JEE Main Previous Year Questions (2016- 2025): Current Electricity- 1

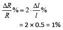
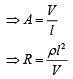
Q 11. A copper wire is stretched to make it 0.5% longer. The percentage change in its electrical resistance if its volume remains unchanged is     [2019]
(1) 2.2%
(2) 2.5%
(3) 1.0%
(4) 0.5%
Ans:
(3)
Solution: Resistance is given by,
JEE Main Previous Year Questions (2016- 2025): Current Electricity- 1
We know that,
Al = Volume (constant)
JEE Main Previous Year Questions (2016- 2025): Current Electricity- 1
Now, percentage change is
JEE Main Previous Year Questions (2016- 2025): Current Electricity- 1

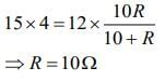
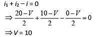
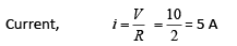
Q 12. When the switch S, in the circuit shown, is closed, then the value of current i will be      [2019]
JEE Main Previous Year Questions (2016- 2025): Current Electricity- 1 
(1) 3 A
(2) 5 A
(3) 4 A
(4) 2 A
Ans: 
(2)
Solution:
Let V be the voltage at C.
According to the Kirchhoff’s current law, we have
JEE Main Previous Year Questions (2016- 2025): Current Electricity- 1
JEE Main Previous Year Questions (2016- 2025): Current Electricity- 1

Q 13. A carbon resistance has a following colour code. What is the value of the resistance?      [2019]  

JEE Main Previous Year Questions (2016- 2025): Current Electricity- 1   

(1) 530 kΩ ± 5%
(2) 5.3 MΩ ± 5%
(3) 6.4 MΩ ± 5%
(4) 64 kΩ ± 10%
Ans:
(1)
Solution: Resistor code for Green = 5
Resistor code for Orange = 3
Resistor code for Yellow = 104
Tolerance for Golden = ±5%
Therefore, G O Y Golden
JEE Main Previous Year Questions (2016- 2025): Current Electricity- 1

Q 14. In the given circuit the internal resistance of the 18 V cell is negligible. If R1 = 400 Ω, R3 = 100 Ω and R4 = 500 Ω and the reading of an ideal voltmeter across R4 is 5 V, then the value of R2 will be     [2019]
JEE Main Previous Year Questions (2016- 2025): Current Electricity- 1 

(1) 300 Ω
(2) 450 Ω
(3) 550 Ω
(4) 230 Ω
Ans:
(1)
Solution:
JEE Main Previous Year Questions (2016- 2025): Current Electricity- 1
The voltage across resistance R4 is

V4 = 5V

Thus, current i1 = 5/500 = 0.01 A
Voltage across resistance R3 is V3 = 0.01 × 100 = 1 V

Thus, Total voltage = V1 + V3 + V4
(since voltage across R2 is same as voltage across R3 and R4)

⇒ 18 = 1 + 5 + V1 
⇒ V1 = 12 V

⇒ i = 12/400 = 0.03 A
⇒ i2 = i – i1 = 0.03 – 0.01 = 0.02 A
therefore,JEE Main Previous Year Questions (2016- 2025): Current Electricity- 1

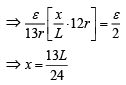
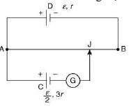
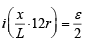
Q 15. A potentiometer wire AB having length L and resistance 12 r is joined to a cell D of emf ε and internal resistance r. A cell C having emf ε/2 and internal resistance 3r is connected. The length AJ at which the galvanometer as shown in figure, for which galvanometer shows no deflection is    [2019]
JEE Main Previous Year Questions (2016- 2025): Current Electricity- 1
JEE Main Previous Year Questions (2016- 2025): Current Electricity- 1
Ans:
(3)
Solution:
Let at x distance it will show no deflection then current
JEE Main Previous Year Questions (2016- 2025): Current Electricity- 1
In case of no deflection JEE Main Previous Year Questions (2016- 2025): Current Electricity- 1
JEE Main Previous Year Questions (2016- 2025): Current Electricity- 1

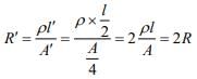
Q 16. A uniform metallic wire has a resistance of 18 Ω and is bent into an equilateral triangle. Then, the resistance between any two vertices of the triangle is     [2019]
(1) 4 Ω

(2) 8 Ω
(3) 12 Ω
(4) 2 Ω
Ans: 
(1)
Solution: Given resistance of metallic wire = 18 Ω
It is bent into an equilateral triangle and the length of each side is same.
And its resistance = 6 Ω
JEE Main Previous Year Questions (2016- 2025): Current Electricity- 1
Now, Req between any two vertex is
JEE Main Previous Year Questions (2016- 2025): Current Electricity- 1

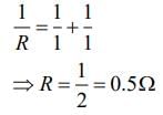
Q 17. In the given circuit the cells have zero internal resistance. The currents (in Amperes) passing through resistance R1 and R2, respectively, are    [2019]
JEE Main Previous Year Questions (2016- 2025): Current Electricity- 1

(1) 1, 2
(2) 2, 2
(3) 0.5, 0
(4) 0, 1
Ans:
(3)
Solution:
Potential difference across R1 = 10 – 0 = 10 V
Current i through
JEE Main Previous Year Questions (2016- 2025): Current Electricity- 1
Potential difference across R2 = (0 – 0)Volt

Therefore, current i through R2 = 0

Q 18. A 2W carbon resistor is color coded with green, black, red and brown, respectively. The maximum current which can be passed through this resistor is    [2019]
(1) 20 mA
(2) 100 mA
(3) 0.4 mA
(4) 63 mA
Ans:
(1)
Solution:
Resistor from color coding

R = 50 × 102 Ω = 5000 Ω
Power = 2 W Power is P = i2R
⇒ 2 = i2 × 5000
JEE Main Previous Year Questions (2016- 2025): Current Electricity- 1
JEE Main Previous Year Questions (2016- 2025): Current Electricity- 1

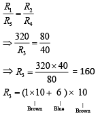
Q 19. The Wheatstone bridge shown in figure here, gets balanced when the carbon resistor used as R1 has the color code (orange, red, brown). The resistors R2 and R4 are 80 Ω and 40 Ω, respectively. Assuming that the color code for the carbon resistors gives their accurate values, the colour code for the carbon resistor, used as R3, would be    [2019]
JEE Main Previous Year Questions (2016- 2025): Current Electricity- 1
(1) Brow n, Blue, Brown
(2) Brown, Blue, Black
(3) Red, Green, Brown
(4) Grey, Black, Brown
Ans:
(1)
Solution: Color code of Orange = 3
Color code of Red = 2
Color code of Brown = 10
So, R1 = 32 × 10 = 320 Ω
The balanced condition of wheat stone bridge is
JEE Main Previous Year Questions (2016- 2025): Current Electricity- 1
Hence, the color code is Brown, Blue, Brown.

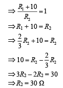
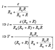
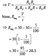
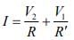
Q 20. The actual value of resistance R, shown in the figure is 30 Ω. This is measured in an experiment as shown using the standard formula R = V/I, where V and I are the readings of the voltmeter and ammeter, respectively. If the measured value of R is 5% less, then the internal resistance of the voltmeter is    [2019]
JEE Main Previous Year Questions (2016- 2025): Current Electricity- 1

(1) 600 Ω
(2) 570 Ω
(3) 35 Ω
(4) 350 Ω
Ans:
(2)
Solution:
JEE Main Previous Year Questions (2016- 2025): Current Electricity- 1
JEE Main Previous Year Questions (2016- 2025): Current Electricity- 1
JEE Main Previous Year Questions (2016- 2025): Current Electricity- 1
JEE Main Previous Year Questions (2016- 2025): Current Electricity- 1
JEE Main Previous Year Questions (2016- 2025): Current Electricity- 1

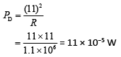
Q 21. A current of 2 mA was passed through an unknown resistor which dissipated a power of 4.4 W. Dissipated power when an ideal power supply of 11 V is connected across it is    [2019]
(1) 11 × 10−5 W
(2) 11 × 10−3 W
(3) 11 × 10−4 W
(4) 11 × 105 W
Ans:
(1)
Solution:
JEE Main Previous Year Questions (2016- 2025): Current Electricity- 1
Now, dissipated power is
JEE Main Previous Year Questions (2016- 2025): Current Electricity- 1

Q 22. In a Wheatstone bridge (see the figure), resistances P and Q are approximately equal. When R = 400 Ω, the bridge is balanced. On interchanging P and Q, the value of R, for balance is 405 Ω. The value of X is close to      [2019]
JEE Main Previous Year Questions (2016- 2025): Current Electricity- 1 

(1) 401.5 Ω
(2) 404.5 Ω
(3) 403.5 Ω
(4) 402.5 Ω
Ans:
(4)
Solution:
Balanced condition of Wheatstone bridge is,
JEE Main Previous Year Questions (2016- 2025): Current Electricity- 1
Now
JEE Main Previous Year Questions (2016- 2025): Current Electricity- 1       (1)
Ans,
JEE Main Previous Year Questions (2016- 2025): Current Electricity- 1      (2)
From Eq. (1) and Eq. (2), we get
JEE Main Previous Year Questions (2016- 2025): Current Electricity- 1

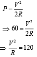
Q 23. Two equal resistances when connected in series to a battery, consume electric power of 60 W. If these resistances are now connected in parallel combination to the same battery, the electric power consumed will be     [2019]
(1) 30 W

(2) 60 W
(3) 120 W
(4) 240 W
Ans:
(4)
Solution:
JEE Main Previous Year Questions (2016- 2025): Current Electricity- 1
In parallel condition, power consumed is
JEE Main Previous Year Questions (2016- 2025): Current Electricity- 1

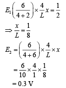
Q 24. The resistance of the meter bridge AB in given figure is 4 Ω. With a cell of emf ε = 0.5 V and rheostat resistance Rh = 2 Ω, the null point is obtained at some point J. When the cell is replaced by another one of emf ε = ε2, the same null point J is found for Rh = 6 Ω. The emf ε2 is    [2019]
JEE Main Previous Year Questions (2016- 2025): Current Electricity- 1
(1) 0.3 V
(2) 0.5 V
(3) 0.6 V
(4) 0.4 V
Ans:
(1)
Solution:
Let null point J be at l cm from A.
Then at balance condition we have
JEE Main Previous Year Questions (2016- 2025): Current Electricity- 1

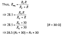
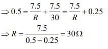
Q 25. In the experimental set up of meter bridge shown in the figure, the null point is obtained at a distance of 40 cm from A. If a 10 Ω resistor is connected in series with R1, the null point shifts by 10 cm. The resistance that should be connected in parallel with (R1 + 10) Ω such that the null point shifts back to its initial position is    [2019]
JEE Main Previous Year Questions (2016- 2025): Current Electricity- 1

(1) 20 Ω
(2) 40 Ω
(3) 60 Ω
(4) 30 Ω
Ans:
(3)
Solution:
Consider the following circuit,
JEE Main Previous Year Questions (2016- 2025): Current Electricity- 1
Now using Wheatstone bridge equation, we have
JEE Main Previous Year Questions (2016- 2025): Current Electricity- 1
JEE Main Previous Year Questions (2016- 2025): Current Electricity- 1
Thus, R1 = 30 – 10 = 20 Ω
Now,
JEE Main Previous Year Questions (2016- 2025): Current Electricity- 1

Q 26. In the circuit shown, the potential difference between A and B is    [2019]
JEE Main Previous Year Questions (2016- 2025): Current Electricity- 1

(1) 1 V
(2) 2 V
(3) 3 V
(4) 6 V
Ans:
(2)
Solution:
JEE Main Previous Year Questions (2016- 2025): Current Electricity- 1

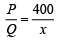
Q 27. An ideal battery of 4 V and resistance R are connected in series in the primary circuit of a potentiometer of length 1 m and resistance 5 Ω. The value of R, to give a potential difference of 5 mV across 10 cm of potentiometer wire, is    [2019]
(1) 490 Ω
(2) 480 Ω
(3) 395 Ω
(4) 495 Ω
Ans:
(3)
Solution:
Let i be the current flowing in the wire
JEE Main Previous Year Questions (2016- 2025): Current Electricity- 1
If resistance of 10 m length of wire is r, then
JEE Main Previous Year Questions (2016- 2025): Current Electricity- 1
Potential difference, ΔV = ir
JEE Main Previous Year Questions (2016- 2025): Current Electricity- 1

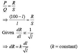
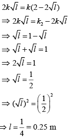
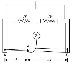
Q 28. In a meter bridge, the wire of length 1 m has a non-uniform cross-section such that, the variation dR/dl of its resistance R with length l is JEE Main Previous Year Questions (2016- 2025): Current Electricity- 1Two equal resistances are connected as shown in the figure. The galvanometer has zero deflection when the jockey is at point P. What is the length AP?      [2019]
JEE Main Previous Year Questions (2016- 2025): Current Electricity- 1
(1) 0.2 m
(2) 0.3 m
(3) 0.25 m
(4) 0.35 m
Ans: 
(3)
Solution:
JEE Main Previous Year Questions (2016- 2025): Current Electricity- 1
For zero deflection,
JEE Main Previous Year Questions (2016- 2025): Current Electricity- 1
Substitute the value of R1 and R2 in Eq. (1), we have
JEE Main Previous Year Questions (2016- 2025): Current Electricity- 1

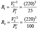
Q 29. Two electric bulbs, rated at (25 W, 220 V) and (100 W, 220 V), are connected in series across a 220 V voltage source. If the 25 W and 100 W bulbs draw powers P1 and P2, respectively, then    [2019]
(1) P1 =16 W, P2 = 4 W

(2) P1 = 16 W, P2 = 9 W
(3) P1 = 9 W, P2 = 16 W
(4) P1 = 4 W, P2 = 16 W
Ans:
(1)
Solution:
Suppose R1 and R2 are Resistance of bulb
JEE Main Previous Year Questions (2016- 2025): Current Electricity- 1
JEE Main Previous Year Questions (2016- 2025): Current Electricity- 1
Current
JEE Main Previous Year Questions (2016- 2025): Current Electricity- 1
JEE Main Previous Year Questions (2016- 2025): Current Electricity- 1
JEE Main Previous Year Questions (2016- 2025): Current Electricity- 1

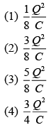
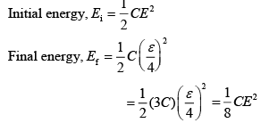
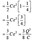
Q 29. In the figure shown, after the switch S is turned from position A to position B, the energy dissipated in the circuit in terms of capacitance C and total charge Q is    [2019]
JEE Main Previous Year Questions (2016- 2025): Current Electricity- 1
JEE Main Previous Year Questions (2016- 2025): Current Electricity- 1
Ans:
(2)
Solution:
Change on capacitor C before turning the switch S
Q = CE (1)

Since, when switch S is turned from A to B charge will be transferred from one capacitor to another capacitor until potential will not same.
Let common potential is  ε'
JEE Main Previous Year Questions (2016- 2025): Current Electricity- 1
JEE Main Previous Year Questions (2016- 2025): Current Electricity- 1
JEE Main Previous Year Questions (2016- 2025): Current Electricity- 1
Energy dissipated, E = Ei − Ef
JEE Main Previous Year Questions (2016- 2025): Current Electricity- 1

Q 30. In the given circuit diagram, the currents, I1= −0.3 A, I4 = 0.8 A and I5 = 0.4 A, are flowing as shown. The currents I2, I3 and I6, respectively, are    [2019]
JEE Main Previous Year Questions (2016- 2025): Current Electricity- 1

(1) 1.1 A, −0.4 A, 0.4 A
(2) 1.1 A, 0.4 A, 0.4 A
(3) 0.4 A, 1.1 A, 0.4 A
(4) −0.4 A, 0.4 A, 1.1 A
Ans:
(2)
Solution:
From using KCL at point S
JEE Main Previous Year Questions (2016- 2025): Current Electricity- 1

Q 31. Two batteries with e.m.f. 12 V and 13 V are connected in parallel across a load resistor of 10Ω. The internal resistances of the two batteries are 1Ω and 2Ω respectively. The voltage across the load lies between:    [2018]
(1) 11.6 V and 11.7 V
(2) 11.5 V and 11.6 V
(3) 11.4 V and 11.5 V
(4) 11.7 V and 11.8 V
Ans: 
(2)
Solution:
The circuit may be drawn as shown in the figure.
JEE Main Previous Year Questions (2016- 2025): Current Electricity- 1
JEE Main Previous Year Questions (2016- 2025): Current Electricity- 1

Q 32. In a potentiometer experiment, it is found that no current passes through the galvanometer when the terminals of the cell are connected across 52 cm of the potentiometer wire. If the cell is shunted by a resistance of 5Ω, a balance is found when the cell is connected across 40 cm of the wire. Find the internal resistance of the cell.   [2018]
(1) 1Ω
(2) 1.5Ω
(3) 2Ω
(4) 2.5Ω
Ans:
(2)
Solution:
When the cell is shunted by a resistance of 5 Ω
JEE Main Previous Year Questions (2016- 2025): Current Electricity- 1

The document JEE Main Previous Year Questions (2016- 2025): Current Electricity- 1 is a part of JEE category.
All you need of JEE at this link: JEE
Download as PDF

Top Courses for JEE

Related Searches

mock tests for examination

,

Free

,

Sample Paper

,

Semester Notes

,

MCQs

,

Objective type Questions

,

JEE Main Previous Year Questions (2016- 2025): Current Electricity- 1

,

study material

,

pdf

,

Extra Questions

,

JEE Main Previous Year Questions (2016- 2025): Current Electricity- 1

,

ppt

,

Exam

,

Summary

,

shortcuts and tricks

,

video lectures

,

Important questions

,

practice quizzes

,

JEE Main Previous Year Questions (2016- 2025): Current Electricity- 1

,

Viva Questions

,

past year papers

,

Previous Year Questions with Solutions

;