JEE Exam  >  JEE Notes  >  JEE Main Previous Year Questions (2016-2025): Electrostatics- 2

JEE Main Previous Year Questions (2016-2025): Electrostatics- 2 PDF Download

Q.84. The charge on a capacitor plate in a circuit, as a function of time, is shown in the figure    [2019]
JEE Main Previous Year Questions (2016-2025): Electrostatics- 2What is the value of current at t = 4 s?
(a) zero
(b) 3 μA
(c) 2 μA
(d) 1.5 μA

Ans. (a)
Slope of q-t graph gives current
I = dq/dt
At t = 4 s, slope is zero
Hence, current at 4 s will be zero.


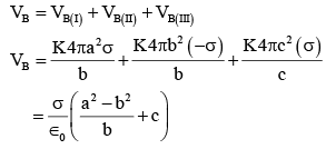
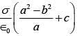
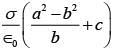
Q.85. Three concentric metal shells A, B and C of respective radii a, b and c (a < b < c) have surface charge densities +σ, -σ and +σ respectively. The potential of shell B is:    [2018]
(a) 
JEE Main Previous Year Questions (2016-2025): Electrostatics- 2
(b) 
JEE Main Previous Year Questions (2016-2025): Electrostatics- 2
(c) 
JEE Main Previous Year Questions (2016-2025): Electrostatics- 2
(d) 
JEE Main Previous Year Questions (2016-2025): Electrostatics- 2

Ans. (b)
JEE Main Previous Year Questions (2016-2025): Electrostatics- 2JEE Main Previous Year Questions (2016-2025): Electrostatics- 2


Q.86. A parallel plate capacitor of capacitance 90 pF is connected to a battery of emf 20 V. If a dielectric material constant K = 5/3 is inserted between the plates, the magnitude of the induced charge will be:    [2018]
(a) 1.2 n C
(b) 0.3 n C
(c) 2.4 n C
(d) 0.9 n C

Ans. (a)
Q = KCV
Qinduced = Q(1-1/K)
⇒ Qinduced = 1.2 nC


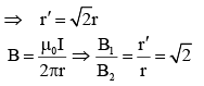
Q.87. The dipole moment of a circular loop carrying a current I, is 'm' and the magnetic field at the centre of the loop is B1. When the dipole moment is doubled by keeping the current constant, the magnetic field at the centre of the loop is B2. The ratio B1/B2 is:    [2018]
(a) 1/√2
(b) √3
(c) √2
(d) 1/√2

Ans. (c)
m = I x πr2 
2m = I x π(r')2
JEE Main Previous Year Questions (2016-2025): Electrostatics- 2


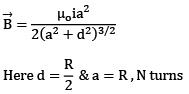
Q.88. A Helmholtz coil has a pair of loops, each with N turns and radius R. They are placed coaxially at distance R and the same current I flows through the loops in the same direction. The magnitude of magnetic field at P, midway between the centres A and C, is given by [Refer to figure given below]:    [2018]
JEE Main Previous Year Questions (2016-2025): Electrostatics- 2(a) 
JEE Main Previous Year Questions (2016-2025): Electrostatics- 2

(b) 
JEE Main Previous Year Questions (2016-2025): Electrostatics- 2

(c) 
JEE Main Previous Year Questions (2016-2025): Electrostatics- 2

(d) 
JEE Main Previous Year Questions (2016-2025): Electrostatics- 2

Ans. (b)
JEE Main Previous Year Questions (2016-2025): Electrostatics- 2JEE Main Previous Year Questions (2016-2025): Electrostatics- 2
JEE Main Previous Year Questions (2016-2025): Electrostatics- 2


Q.89. A charge Q is placed at a distance a/2 above the centre of the square surface of edge a as shown in the figure      [2018]
JEE Main Previous Year Questions (2016-2025): Electrostatics- 2The electric flux through the square surface is:
(a) Q/6∈o

(b) Q/∈o
(c) Q/3∈o
(d) Q/2∈o

Ans. (a)
Through whole cube = Q/∈o
Through one face = Q/6∈o


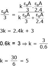
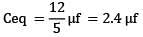
Q.90. The equivalent capacitance between A and B in the circuit given below, is:    [2018]
JEE Main Previous Year Questions (2016-2025): Electrostatics- 2(a) 5.4 µF
(b) 2.4 µF
(c) 3.6 µF
(d) 4.9 µF

Ans. (b)
JEE Main Previous Year Questions (2016-2025): Electrostatics- 2
JEE Main Previous Year Questions (2016-2025): Electrostatics- 2
JEE Main Previous Year Questions (2016-2025): Electrostatics- 2


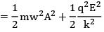
Q.91. A body of mass M and charge q is connected to a spring of spring constant k. It is oscillating along x direction about its equilibrium position, taken to be at x = 0, with an amplitude A. An electric field E is applied along the x-direction. Which of the following statements is correct?     [2018]
(a) The new equilibrium position is at a distance 2qE/K from x = 0
(b) The new equilibrium position is at a distance qE/2K from x = 0
(c) The total energy of the system is 1/2 mω2A2JEE Main Previous Year Questions (2016-2025): Electrostatics- 2

(d) The total energy of the system is 1/2 mω2A2 + JEE Main Previous Year Questions (2016-2025): Electrostatics- 2 

Ans. (d)
Energy at the extreme
= 1/2 kA2 = T. E
After switching on electric field
New mean position ⟹ kxo = qE
xo = qE/k
So entreme position also shifts by qE/k
JEE Main Previous Year Questions (2016-2025): Electrostatics- 2
JEE Main Previous Year Questions (2016-2025): Electrostatics- 2


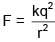
Q.92. Two identical conducting spheres A and B carry equal charge. They are separated by a distance much larger than their diameters and the force between them is F. A third identical conducting sphere C is uncharged. Sphere C is first touched to A then to B and then removed. As a result the force between A and B would be equal to:    [2018]
(a) 3F/4
(b) F/2
(c) 3F/8
(d) F

Ans. (c)
JEE Main Previous Year Questions (2016-2025): Electrostatics- 2JEE Main Previous Year Questions (2016-2025): Electrostatics- 2 
when A and C are touched charge on both will be q/2
Then when B and C are touched
JEE Main Previous Year Questions (2016-2025): Electrostatics- 2
JEE Main Previous Year Questions (2016-2025): Electrostatics- 2


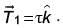
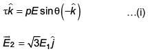
Q.93. An electric dipole has a fixed dipole moment JEE Main Previous Year Questions (2016-2025): Electrostatics- 2 which makes angle θ with respect to x-axis. When subjected to an electric field JEE Main Previous Year Questions (2016-2025): Electrostatics- 2it experiences a torque JEE Main Previous Year Questions (2016-2025): Electrostatics- 2When subjected to another electric field JEE Main Previous Year Questions (2016-2025): Electrostatics- 2 it experiences a torque JEE Main Previous Year Questions (2016-2025): Electrostatics- 2 The angle θ is    [2017]
(a) 60°
(b) 90°
(c) 30°
(d) 45°

Ans. (a)
JEE Main Previous Year Questions (2016-2025): Electrostatics- 2JEE Main Previous Year Questions (2016-2025): Electrostatics- 2
JEE Main Previous Year Questions (2016-2025): Electrostatics- 2
JEE Main Previous Year Questions (2016-2025): Electrostatics- 2
JEE Main Previous Year Questions (2016-2025): Electrostatics- 2
From (i) and (ii)
JEE Main Previous Year Questions (2016-2025): Electrostatics- 2


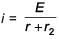
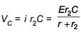
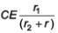
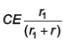
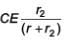
Q.94. In the given circuit diagram when the current reaches steady state in the circuit, the charge on the capacitor of capacitance C will be :    [2017]
JEE Main Previous Year Questions (2016-2025): Electrostatics- 2(a)

JEE Main Previous Year Questions (2016-2025): Electrostatics- 2
(b)

JEE Main Previous Year Questions (2016-2025): Electrostatics- 2
(c) CE
(d)

JEE Main Previous Year Questions (2016-2025): Electrostatics- 2

Ans. (a)
In steady state, flow of current through capacitor will be zero.
JEE Main Previous Year Questions (2016-2025): Electrostatics- 2JEE Main Previous Year Questions (2016-2025): Electrostatics- 2
JEE Main Previous Year Questions (2016-2025): Electrostatics- 2
JEE Main Previous Year Questions (2016-2025): Electrostatics- 2


Q.95. A capacitance of 2 μF is required in an electrical circuit across a potential difference of 1.0 kV. A large number of 1 μF capacitors are available which can withstand a potential difference of not more than 300 V.
The minimum number of capacitors required to achieve this is    [2017]
(a) 24
(b) 32
(c) 2
(d) 16

Ans. (b)
Following arrangement will do the needful:
8 capacitors of 1μF in parallel with four such branches in series.
JEE Main Previous Year Questions (2016-2025): Electrostatics- 2JEE Main Previous Year Questions (2016-2025): Electrostatics- 2


Q.96. A magentic dipole in a constant magnetic field has -    [2017]
(a) Maximum potential energy when the torque is maximum
(b) Zero potential energy when the torque is maximum
(c) Zero potential energy when the torque is minimum
(d) Minimum potential energy when the torque is maximum

Ans. (b)
PE = – PE cos θ
τ = PE sin θ
τmax when q = 90°
PE = 0


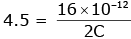
Q.97. The energy stored in the electric field produced by a metal sphere is 4.5 J. If the sphere contains 4mC charge, its radius will be:    [2017]
JEE Main Previous Year Questions (2016-2025): Electrostatics- 2
(a) 32 mm
(b) 16 mm
(c) 28 mm
(d) 20 mm

Ans. (b)
Energy of sphere = Q2/2C
JEE Main Previous Year Questions (2016-2025): Electrostatics- 2
JEE Main Previous Year Questions (2016-2025): Electrostatics- 2
JEE Main Previous Year Questions (2016-2025): Electrostatics- 2
JEE Main Previous Year Questions (2016-2025): Electrostatics- 2
= 16 × 10–3 = 16 mm


Q.98. There is a uniform electrostatic field in a region. The potential at various points on a small sphere centred at P in the region, is found to vary between limits 589.0V to 589.8 V. What is the potential at a point on the sphere whose radius vector makes an angle of 60° with the direction of the field ?   [2017]
(a) 589.4 V
(b) 589.5 V
(c) 589.2 V
(d) 589.6 V

Ans. (a)
1 DV = E.d
0.8 = Ed (max)
DV = Edcosθ = 0.8 × cos 60
= 0.4
∴ V= 589.4V


Q.99. Four closed surfaces and corresponding charge distributions are shown below -
JEE Main Previous Year Questions (2016-2025): Electrostatics- 2JEE Main Previous Year Questions (2016-2025): Electrostatics- 2Let the respective electric fluxes through the surfaces be Φ1, Φ2, Φ3 and Φ4. Then -    [2017]

(a) Φ1 > Φ2 > Φ3 > Φ4
(b) Φ1 < Φ2 = Φ3 > Φ4
(c) Φ1 > Φ3 ; Φ2 > Φ4
(d) Φ1 = Φ2 =  Φ3 = Φ4

Ans. (d)
Eq = same in all Φ = Same


Q.100. A negative test charge is moving near a long straight wire carrying a current. The force acting on the test charge is parallel to the direction of the current. The motion of the charge is -    [2017]
(a) Away from the wire
(b) Towards the wire
(c) Parallel to the wire along the current
(d) Parallel to the wire opposite to the current

Ans. (b)
JEE Main Previous Year Questions (2016-2025): Electrostatics- 2


Q.101. A combination of parallel plate capacitors is maintained at a certain potential difference.
JEE Main Previous Year Questions (2016-2025): Electrostatics- 2When a 3 mm thick slab is introduced between all the plates, in order to maintain the same potential difference, the distance between the plates is increased by 2.4 mm. Find the dielectric constant of the slab.    [2017]
(a) 6
(b) 4
(c) 3
(d) 5

Ans. (d)
JEE Main Previous Year Questions (2016-2025): Electrostatics- 2
JEE Main Previous Year Questions (2016-2025): Electrostatics- 2
JEE Main Previous Year Questions (2016-2025): Electrostatics- 2


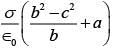
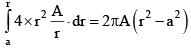
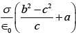
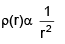
Q.102. The region between two concentric spheres of radii ‘a’ and ‘b’, respectively (see figure), has volume charge density ρ = A/r, where A is a constant and r is the distance from the centre. At the centre of the spheres is a point charge Q. The value of A such that the electric field in the region between the spheres will be constant, is:    [2016]
JEE Main Previous Year Questions (2016-2025): Electrostatics- 2

(a)
JEE Main Previous Year Questions (2016-2025): Electrostatics- 2
(b)
JEE Main Previous Year Questions (2016-2025): Electrostatics- 2
(c)
JEE Main Previous Year Questions (2016-2025): Electrostatics- 2
(d)
JEE Main Previous Year Questions (2016-2025): Electrostatics- 2

Ans. (a)
Charge in the shaded region =
JEE Main Previous Year Questions (2016-2025): Electrostatics- 2
Total field at P =
JEE Main Previous Year Questions (2016-2025): Electrostatics- 2
For field to be independent of r : Q = 2πAa2
JEE Main Previous Year Questions (2016-2025): Electrostatics- 2


Q.103. A magnetic dipole is acted upon by two magnetic fields which are inclined to each other a tan angle of 75°. One of the fields has magnitude of 15mT. The dipole attains stable equilibrium at an angle 30° with this field. The magnitude of the other field (in mT) is close to:    [2016]
(a) 11
(b) 1060
(c) 36
(d) 1

Ans. (a)
JEE Main Previous Year Questions (2016-2025): Electrostatics- 2B1 sin 30° = B2 sin 45°
JEE Main Previous Year Questions (2016-2025): Electrostatics- 2


Q.104. The potential (in volts) of a charge distribution is given by
V(z) = 30 – 5z2 for |z| ≤ 1m
V(z) = 35 – 10 |z| for |z| ≥ 1m

V(z) does not depend on x and y. If this potential is generated by a constant charge per unit volume ρ0, (in units of ε0) which is spread over certain region, then choose the correct statement.
(a) ρ0 = 40 ε0 in the entire region
(b) ρ0 = 20 ε0 in the entire region
(c) ρ0 = 20 ε0 for |z| in ≤ 1 m and ρ0= 0 else where
(d) ρ0 = 10 ε0 for |z| in ≤ 1 m and ρ0= 0 else where

Ans. (d)
JEE Main Previous Year Questions (2016-2025): Electrostatics- 2
if should be for a sheet lying in x–y plane of thickness z = 2m
JEE Main Previous Year Questions (2016-2025): Electrostatics- 2
JEE Main Previous Year Questions (2016-2025): Electrostatics- 2
JEE Main Previous Year Questions (2016-2025): Electrostatics- 2


Q.105. Within a spherical charge distribution of charge density ρ(r), N equipotential surfaces of potential V0, V0+ΔV, V0+2ΔV,......, V0+NΔV (ΔV > 0), are drawn and have increasing radii r0,r1,r2,......rN, respectively. If the difference in the radii of the surface is constant for all values of V0 and ΔV then:
(a) ρ(r)αr
(b) 
JEE Main Previous Year Questions (2016-2025): Electrostatics- 2
(c) 
JEE Main Previous Year Questions (2016-2025): Electrostatics- 2
(d) ρ(r) = constant

Ans. (c)
JEE Main Previous Year Questions (2016-2025): Electrostatics- 2JEE Main Previous Year Questions (2016-2025): Electrostatics- 2
JEE Main Previous Year Questions (2016-2025): Electrostatics- 2
after integral on RHS
We must obtain r2
⇒ ρ ∝ 1/r

The document JEE Main Previous Year Questions (2016-2025): Electrostatics- 2 is a part of JEE category.
All you need of JEE at this link: JEE

FAQs on JEE Main Previous Year Questions (2016-2025): Electrostatics- 2

1. What is the formula for electric field due to a point charge?
Ans. The formula for electric field due to a point charge is given by Coulomb's law: E = k * Q / r^2 where E is the electric field, Q is the charge of the point charge, r is the distance from the point charge, and k is the electrostatic constant.
2. How does the electric field inside a conductor vary?
Ans. Inside a conductor, the electric field is zero. This is because when a conductor is in electrostatic equilibrium, any excess charge resides on its surface and redistributes itself in such a way that the electric field inside the conductor cancels out.
3. What is the concept of electric potential?
Ans. Electric potential is the amount of work done in bringing a unit positive test charge from infinity to a given point in an electric field. It is a scalar quantity and is measured in volts (V). Electric potential is directly proportional to the electric field strength and is given by the equation: V = k * Q / r where V is the electric potential, Q is the charge creating the electric field, r is the distance from the charge, and k is the electrostatic constant.
4. How does the electric potential vary with distance from a point charge?
Ans. The electric potential due to a point charge decreases as the distance from the charge increases. It follows an inverse relationship with distance and is given by the equation: V = k * Q / r where V is the electric potential, Q is the charge creating the electric field, r is the distance from the charge, and k is the electrostatic constant.
5. What is the relation between electric field and electric potential?
Ans. The electric field is the negative gradient of the electric potential. In other words, the electric field at a point is the rate of change of electric potential with respect to distance. Mathematically, it can be expressed as: E = -dV/dr where E is the electric field, V is the electric potential, and dr is the infinitesimal change in distance.
Download as PDF

Top Courses for JEE

Related Searches

video lectures

,

MCQs

,

shortcuts and tricks

,

practice quizzes

,

Previous Year Questions with Solutions

,

Extra Questions

,

Sample Paper

,

Important questions

,

Free

,

past year papers

,

Semester Notes

,

Objective type Questions

,

pdf

,

JEE Main Previous Year Questions (2016-2025): Electrostatics- 2

,

Summary

,

Exam

,

JEE Main Previous Year Questions (2016-2025): Electrostatics- 2

,

study material

,

Viva Questions

,

mock tests for examination

,

JEE Main Previous Year Questions (2016-2025): Electrostatics- 2

,

ppt

;