Civil Engineering (CE) Exam  >  Civil Engineering (CE) Notes  >  Principal Stresses and Directions

Principal Stresses and Directions - Civil Engineering (CE) PDF Download

Principal stresses and directions 
At a given location in the body the magnitude of the normal and shear traction depend on the orientation of the plane. An isotropic body can fail along any plane and hence we require to find the maximum magnitude of these normal and shear traction and the planes for which these occur. As we shall see on planes where the maximum or minimum normal stresses occur the shear stresses are zero. However, in the plane on which maximum shear stress occurs, the normal stresses will exist.

Maximum and minimum normal traction 
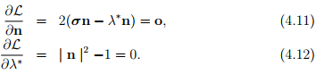
In order to obtain the maximum and minimum values of σn, the normal traction, we have to find the orientation of the plane in which this occurs. This is done by maximizing (4.5) subject to the constraint that | n | = 1. This constrained optimization is done by what is called as the Lagrange-multiplier method. Towards this, we introduce the function

L(n, λ*) = n · σn − λ* [| n |2 −1],                         (4.10) 

where λ* is the Lagrange multiplier and the condition | n |2 − 1 = 0 characterizes the constraint condition. At locations where the extremal values of L occurs, the derivatives
Principal Stresses and Directions - Civil Engineering (CE) must vanish, i.e.,

Principal Stresses and Directions - Civil Engineering (CE)

To obtain these equations we have made use of the fact that Cauchy stress tensor is symmetric. Thus, we have to find three Principal Stresses and Directions - Civil Engineering (CE) and Principal Stresses and Directions - Civil Engineering (CE) ’s such that

Principal Stresses and Directions - Civil Engineering (CE)

(a = 1, 2, 3; no summation) which is nothing but the eigenvalue problem involving the tensor σ with the Lagrange multiplier being identified as the eigenvalue. Hence, the results of section 2.5 follows. In particular, for (4.13a) to have a non-trivial solution

Principal Stresses and Directions - Civil Engineering (CE)

where

Principal Stresses and Directions - Civil Engineering (CE)

the principal invariants of the stress σ. As stated in section 2.5, equation (4.14) has three real roots, since the Cauchy stress tensor is symmetric. These roots (Principal Stresses and Directions - Civil Engineering (CE) ) will henceforth be denoted by σ1, σ2 and σ3 and are called principal stresses. The principal stresses include both the maximum and minimum normal stresses among all planes passing through a given x.
The corresponding three orthonormal eigenvectors Principal Stresses and Directions - Civil Engineering (CE), which are then characterized through the relation (4.13) are called the principal directions of σ. The planes for which these eigenvectors are normal are called principal planes. Further, these eigenvectors form a mutually orthogonal basis since the stress tensor σ is symmetric. This property of the stress tensor also allows us to represent σ in the spectral form

Principal Stresses and Directions - Civil Engineering (CE)

It is immediately apparent that the shear stresses in the principal planes are zero. Thus, principal planes can also be defined as those planes in which the shear stresses vanish. Consequently, σa’s are normal stresses.


Maximum and minimum shear traction 
Next, we are interested in finding the direction of the unit vector n at x that gives the maximum and minimum values of the shear traction, τp. This is important because in many metals the failure is due to sliding of planes resulting due to the shear traction exceeding a critical value along some plane. In the following we choose the eigenvectors {Principal Stresses and Directions - Civil Engineering (CE)} of σ as the set of basis vectors. Then, according to the spectral decomposition (4.16), all the nondiagonal matrix components of the Cauchy stress vanish. Then, the traction vector t(p) on an arbitrary plane with normal p could simply be written as

Principal Stresses and Directions - Civil Engineering (CE)

where Principal Stresses and Directions - Civil Engineering (CE) It then follows from (4.9) that

Principal Stresses and Directions - Civil Engineering (CE)

where σp is the normal traction on the plane whose normal is p.  
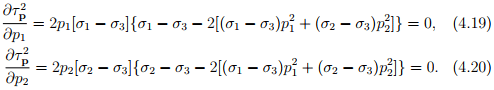
With the constraint condition | p |2 = 1 we can eliminate p3 from the equation (4.18). Then, since the principal stresses, σ1, σ2, σ3 are known, Principal Stresses and Directions - Civil Engineering (CE) is a function of only p1 and p2. Therefore to obtain the extremal values of Principal Stresses and Directions - Civil Engineering (CE) we differentiate Principal Stresses and Directions - Civil Engineering (CE)  with respect to p1 and p2 and equate it to zero1 :

Principal Stresses and Directions - Civil Engineering (CE)

The above set of equations has three classes of solutions.

• Set - 1: p1 = p2 = 0 and hence p3 = ±1, obtained from the condition that | p |2 = 1.

• Set - 2: p1 = 0, p2 = ±1/ Principal Stresses and Directions - Civil Engineering (CE) and hence p= ±1/ Principal Stresses and Directions - Civil Engineering (CE)

• Set - 3: p1 = ±1/Principal Stresses and Directions - Civil Engineering (CE), p2 = 0 and hence p3 = ±1/Principal Stresses and Directions - Civil Engineering (CE)

Instead of eliminating p3 we could eliminate p2 or pinitially and find the remaining unknowns by adopting a procedure similar to the above. Then, we shall find the extremal values of τp could also occur when

• Set - 4: p1 = p3 = 0 and hence p2 = ±1.

• Set - 5: p2 = p3 = 0 and hence p1 = ±1.

• Set - 6: p3 = 0, p1 = ±1/ Principal Stresses and Directions - Civil Engineering (CE) and hence p2 = ±1/ Principal Stresses and Directions - Civil Engineering (CE).

1Recognize that the extremal values of both τp and Principal Stresses and Directions - Civil Engineering (CE) occur at the same location.


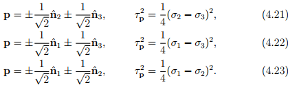
Substituting these solutions in (4.18) we find the extremal values of τp. Thus, τp = 0 when   Principal Stresses and Directions - Civil Engineering (CE) and

Principal Stresses and Directions - Civil Engineering (CE)

Consequently, the maximum magnitude of the shear traction denoted by τmax is given by the largest of the three values of (4.21b) - (4.23b). Thus, we obtain

Principal Stresses and Directions - Civil Engineering (CE)                        (4.24)

where σmax and σmin denote the maximum and minimum magnitudes of principal stresses, respectively. Recognize that the maximum shear stress acts on a plane that is shifted about an angle of ±45 degrees to the principal plane in which the maximum and minimum principal stresses act. In addition, we can show that the normal traction σp to the plane in which τmax occurs has the value σp = (σmax + σmin)/2.

The document Principal Stresses and Directions - Civil Engineering (CE) is a part of Civil Engineering (CE) category.
All you need of Civil Engineering (CE) at this link: Civil Engineering (CE)

FAQs on Principal Stresses and Directions - Civil Engineering (CE)

1. What are principal stresses and directions?
Ans. Principal stresses are the maximum and minimum normal stresses experienced by a material at a specific point. The principal directions are the orientations of the planes on which these principal stresses act. They are important in determining the failure or deformation behavior of a material.
2. How are principal stresses and directions calculated?
Ans. Principal stresses and directions can be calculated using Mohr's circle or numerical methods. Mohr's circle involves plotting the normal stress values on a graph to determine the principal stresses and their corresponding directions. Numerical methods use mathematical equations to solve for the principal stresses and directions.
3. What is the significance of principal stresses and directions?
Ans. Principal stresses and directions provide valuable information about the stress distribution and behavior of a material. They help engineers in designing structures and materials that can withstand the maximum loads and minimize the risk of failure. By understanding the principal stresses and directions, engineers can optimize the design and ensure safety.
4. How do principal stresses affect material failure?
Ans. Material failure is often determined by the strength of the material in relation to the principal stresses. If the principal stresses exceed the material's strength, it may lead to structural failure or deformation. By analyzing the principal stresses, engineers can identify potential failure points and design accordingly to prevent catastrophic failure.
5. Can principal stresses and directions change under different loading conditions?
Ans. Yes, principal stresses and directions can change under different loading conditions. Different types of loading, such as tension, compression, shear, or a combination of these, can alter the magnitude and orientation of the principal stresses and directions. It is important to consider the loading conditions when analyzing the principal stresses to accurately predict the behavior of the material.
Download as PDF

Top Courses for Civil Engineering (CE)

Related Searches

ppt

,

study material

,

Free

,

Principal Stresses and Directions - Civil Engineering (CE)

,

shortcuts and tricks

,

Important questions

,

Sample Paper

,

Summary

,

Exam

,

video lectures

,

Principal Stresses and Directions - Civil Engineering (CE)

,

Semester Notes

,

Previous Year Questions with Solutions

,

Extra Questions

,

past year papers

,

practice quizzes

,

Objective type Questions

,

MCQs

,

Viva Questions

,

mock tests for examination

,

Principal Stresses and Directions - Civil Engineering (CE)

,

pdf

;