Electrical Engineering (EE) Exam  >  Electrical Engineering (EE) Notes  >  Analog and Digital Electronics  >  Principles of Negative Voltage Feedback in Amplifiers

Principles of Negative Voltage Feedback in Amplifiers | Analog and Digital Electronics - Electrical Engineering (EE) PDF Download

Principles of Negative Voltage Feedback In Amplifiers 

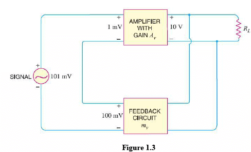
A feedback amplifier has two parts viz an amplifier and a feedback circuit. The feedback circuit usually consists of resistors and returns a fraction of output energy back to the input. Fig. 1.3 shows the principles of negative voltage feedback in an amplifier. Typical values have been assumed to make the treatment more illustrative.
The output of the amplifier is 10 V. The fraction mV of this output i.e. 100 mV is fedback to the input where it is applied in series with the input signal of 101 mV. As the feedback is negative, therefore, only 1 mV appears at the input terminals of the amplifier. Referring to Fig. 1.3, we have, Gain of amplifier without feedback,

                           Principles of Negative Voltage Feedback in Amplifiers | Analog and Digital Electronics - Electrical Engineering (EE)

Principles of Negative Voltage Feedback in Amplifiers | Analog and Digital Electronics - Electrical Engineering (EE)

Principles of Negative Voltage Feedback in Amplifiers | Analog and Digital Electronics - Electrical Engineering (EE)

 

The following points are worth noting :

  • When negative voltage feedback is applied, the gain of the amplifier is reduced.
  • Thus, the gain of above amplifier without feedback is 10,000 whereas with negative feedback, it is only 100.
  • When negative voltage feedback is employed, the voltage actually applied to the amplifier is extremely  small. In this case, the signal voltage is 101 mV and the negative feedback is 100 mV so that voltage applied at the input of the amplifier is only 1 mV.
  • In a negative voltage feedback circuit, the feedback fraction mV is always between 0 and 1.
  • The gain with feedback is sometimes called closed- loop gain while the gain without feedback is called open-loop gain. These terms come from the fact that amplifier and feedback circuits form a loop. When the loop  is ―opened by disconnecting the feedback circuit from the input, the amplifier's gain is Av, the open- loop gain. When the loop is closed b y connecting the feedback circuit, the gain decreases to Avf, the ―closed- loop gain.

 

Gain of Negative Voltage Feedback Amplifier:

Consider the negative voltage feedback amplifier shown in Fig. 1.4. The gain of the amplifier without feedback is Av. Negative feedback is then applied by feeding a fraction mv of the output voltage eo back to amplifier input. Therefore, the actual input to the amplifier is the signal voltage eg minus feedback voltage mv e0 i.e.,

Actual input to amplifier = eg − mv e0

The output e0 must be equal to the input voltage (eg − mv e0) multiplied by gain Av of

 

                          Principles of Negative Voltage Feedback in Amplifiers | Analog and Digital Electronics - Electrical Engineering (EE)

But e0/eg is the voltage gain of the amplifier with feedback. Voltage gain with negative feedback is

            Principles of Negative Voltage Feedback in Amplifiers | Analog and Digital Electronics - Electrical Engineering (EE)

It may be seen that the gain of the amplifier without feedback is Av. However, when negative voltage feedback is applied, the gain is reduced by a factor 1 + Av mv. It may be noted that negative voltage feedback does not affect the current gain of the circuit.

 Advantages of Negative Voltage Feedback:

The following are the advantages of negative voltage feedback in amplifiers :

(i) Gain stability. An important advantage of negative voltage feedback is that the resultant gain of the amplifier can be made independent of transistor parameters or the supply voltage variations.

              Principles of Negative Voltage Feedback in Amplifiers | Analog and Digital Electronics - Electrical Engineering (EE)

for negative voltage feedback in an amplifier to be effective, the designer deliberately makes the product Av mv much greater than unity. Therefore, in the above relation, 1 can be neglected as compared to Av mv  and the expression becomes :

Principles of Negative Voltage Feedback in Amplifiers | Analog and Digital Electronics - Electrical Engineering (EE)

It may be seen that the gain now depends only upon feedback fraction mv i.e., on the characteristics of feedback circuit. As feedback circuit is usually a voltage divider (a resistive network), therefore, it is unaffected by changes in temperature, variations in transistor parameters and frequency. Hence, the gain of the amplifier is extremely stable.


(ii) Reduces non- linear distortion. A large signal stage has non- linear distortion because its voltage gain changes at various points in the cycle. The negative voltage feedback reduces the nonlinear distortion in large signal amplifiers. It can be proved mathematically that :

                          Principles of Negative Voltage Feedback in Amplifiers | Analog and Digital Electronics - Electrical Engineering (EE)

It is clear that by applying negative voltage feedback to an amplifier, distortion is reduced by a factor 1 + Av mv.


(iii) Improves frequency response. As feedback is usually obtained through a resistive network, therefore, voltage gain of the amplifier is independent of signal frequency.
The result is that voltage gain of the amplifier will be substantially constant over a wide range of signal frequency. The negative voltage feedback, therefore, improves the frequency response of the amplifier.

(iv) Increases circuit stability. The output of an ordinary amplifier is easily changed due to variations in ambient temperature, frequency and signal amplitude. This changes the gain of the amplifier, resulting in distortion. However, by applying negative voltage feedback, voltage gain of the amplifier is stabilised or accurately fixed in value.


This can be easily  explained. Suppose the output of a negative voltage feedback amplifier has increased because of temperature change or due to some other reason. This means more negative feedback since feedback is being given from the output. This tends to oppose the increase in amplification and maintain it stable. The same is true should the output voltage decrease. Consequently, the circuit stability is considerably increased.


(v) Increases input impedance and decreases output impedance. The  negative voltage feedback  increases the input impedance and decreases the output impedance of amplifier. Such a change is profitable in practice as the amplifier can then serve the purpose of impedance matching.

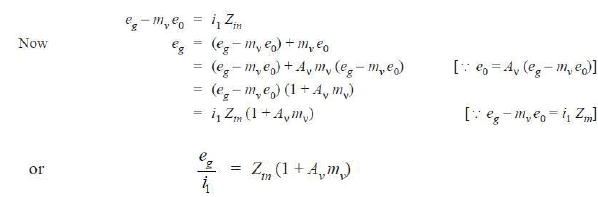
(a) Input impedance. The increase in input impedance with negative voltage feedback can be explained by referring to Fig. 1.5. Suppose the input impedance of the amplifier is Zin without feedback and Z ′in with negative feedback. Let us further assume that input current is i1. Referring to Fig. 1.5, we have,

 

           Principles of Negative Voltage Feedback in Amplifiers | Analog and Digital Electronics - Electrical Engineering (EE)

But eg/i1 = Z ′in , the input impedance of the amplifier with negative voltage feedback.

              Principles of Negative Voltage Feedback in Amplifiers | Analog and Digital Electronics - Electrical Engineering (EE)

It is clear that by applying negative voltage feedback, the input impedance of the amplifier is increased by a factor 1 + Aν mv. As Aν mv is much greater than unity, therefore, input impedance is increased considerably. This is an advantage, since the amplifier will now present less of a load to its source circuit.

(b) Output impedance. Following similar line, we can show that output impedance with negative voltage feedback is given by :

          Principles of Negative Voltage Feedback in Amplifiers | Analog and Digital Electronics - Electrical Engineering (EE)

It is clear that by applying negative feedback, the output impedance of the amplifier is decreased by a factor 1 + Aν mv . This is an added benefit of using negative voltage feedback. With lower value of output impedance, the amplifier is much better suited to drive low impedance loads.

The document Principles of Negative Voltage Feedback in Amplifiers | Analog and Digital Electronics - Electrical Engineering (EE) is a part of the Electrical Engineering (EE) Course Analog and Digital Electronics.
All you need of Electrical Engineering (EE) at this link: Electrical Engineering (EE)
135 videos|181 docs|71 tests

FAQs on Principles of Negative Voltage Feedback in Amplifiers - Analog and Digital Electronics - Electrical Engineering (EE)

1. What is negative voltage feedback in amplifiers?
Ans. Negative voltage feedback in amplifiers is a technique used to reduce distortion and improve the stability and linearity of the amplifier circuit. It involves feeding a portion of the output signal back to the input, but with an inverted polarity. This feedback helps to regulate the amplifier's gain and reduce any errors or nonlinearities in the output signal.
2. How does negative voltage feedback affect amplifier performance?
Ans. Negative voltage feedback has several effects on amplifier performance. Firstly, it reduces distortion by correcting any nonlinearities present in the amplifier circuit. Secondly, it improves stability by reducing the chances of oscillation or instability. It also increases the bandwidth and linearity of the amplifier, allowing it to accurately reproduce the input signal over a wider frequency range.
3. What are the advantages of using negative voltage feedback in amplifiers?
Ans. Negative voltage feedback offers several advantages in amplifier design. It helps to reduce distortion, improve linearity, and increase stability. It also allows for better control over the amplifier's gain, making it easier to match the desired output level. Additionally, negative feedback can help to reduce the effects of temperature variations and component tolerances on the amplifier's performance.
4. Are there any drawbacks or limitations to using negative voltage feedback in amplifiers?
Ans. While negative voltage feedback is generally beneficial, there are some limitations to consider. One drawback is that it can reduce the amplifier's overall gain, as a portion of the output signal is fed back to the input with an inverted polarity. This reduction in gain may necessitate the use of additional gain stages in the amplifier circuit. Additionally, if the feedback loop is not properly designed or implemented, it can introduce instability or oscillations.
5. How is negative voltage feedback implemented in amplifier circuits?
Ans. Negative voltage feedback is typically implemented using a feedback network, which consists of resistors and capacitors connected between the output and input of the amplifier. The feedback network attenuates and phase-inverts a portion of the output signal, which is then combined with the input signal. The specific design of the feedback network depends on the amplifier topology and desired performance characteristics.
Related Searches

practice quizzes

,

Sample Paper

,

video lectures

,

Exam

,

Objective type Questions

,

Important questions

,

past year papers

,

Principles of Negative Voltage Feedback in Amplifiers | Analog and Digital Electronics - Electrical Engineering (EE)

,

Viva Questions

,

study material

,

Previous Year Questions with Solutions

,

Summary

,

pdf

,

ppt

,

Principles of Negative Voltage Feedback in Amplifiers | Analog and Digital Electronics - Electrical Engineering (EE)

,

MCQs

,

shortcuts and tricks

,

Semester Notes

,

Principles of Negative Voltage Feedback in Amplifiers | Analog and Digital Electronics - Electrical Engineering (EE)

,

mock tests for examination

,

Free

,

Extra Questions

;