Mathematics Exam  >  Mathematics Notes  >  Mathematics for IIT JAM, GATE, CSIR NET, UGC NET  >  Probability proportional to size sampling - 1, CSIR-NET Mathematical Sciences

Probability proportional to size sampling - 1, CSIR-NET Mathematical Sciences | Mathematics for IIT JAM, GATE, CSIR NET, UGC NET PDF Download

The simple random sampling scheme provides a random sample where every unit in the population has equal probability of selection. Under certain circumstances, more efficient estimators are obtained by assigning  unequal probabilities of selection to the  units in the population. This type of  sampling is known as varying probability  sampling scheme. 

If Y is the variable under study  and X is an auxiliary variable related to Y, then in the most commonly used varying  probability scheme, the units are selected  with probability proportional to the  value of X, called as size. This is termed  as probability proportional to a given measure of size (pps)  sampling.  If the sampling units vary considerably in size, then SRS does not takes into account the possible importance of the  larger units in the population. A large  unit, i.e., a unit with large value of Y contributes more to the population total  than the units with smaller  values, so it is natural to expect that a selection scheme which assigns more probability of inclusion in a sample to the larger units than to the smaller units would provide more  efficient estimators than the estimators  which provide equal probability to all the units.  This is accomplished through pps sampling.  

Note that the “size” considered is the value of auxiliary  variable X and not the value of study  variable Y.  For example in an agriculture survey, the yield depends on the area under cultivation. So bigger areas are likely to have larger population and they will contribute more towards the population total, so the value of the area can be considered as the size of auxiliary variable.  Also, the cultivated area for a previous period can also be taken as the size while estimating the yield of crop.  Similarly, in an industrial survey, the number of workers in a factory can be considered as the measure of size when studying the industrial output from the respective factory.

 

Difference between the methods of SRS and varying probability scheme: In SRS, the probability of drawing a specified unit at any given draw is the same. In varying probability scheme, the probability  of drawing a specified unit differs from  draw to draw. It appears in pps  sampling that such procedure would  give biased estimators as the larger units are overrepresented and the smaller units are under-represented  in the sample. This will happen in case  of sample mean as an estimator of  population mean where all the units  are given equal weight. Instead of giving  equal weights to all the units, if the  sample observations are suitably weighted at the estimation stage by  taking the probabilities of selection into account,  then it is possible to obtain  unbiased estimators. 

In  pps sampling, there are two possibilities to draw the sample,  i.e., with replacement and without  replacement. 

Selection of units with replacement: The probability of selection of a unit will not change and the probability of selecting a specified unit is same at any stage. There is no redistribution of the probabilities after a draw. 

Selection of units without replacement: The probability of selection of a unit will change at any stage and the  probabilities are redistributed after each draw. 

PPS without replacement  (WOR) is more complex than PPS with replacement  (WR) . We consider both the cases separately.

 

PPS sampling with replacement (WR):  First we discuss the two methods to draw a sample with PPS and WR. 

1. Cumulative total method: The procedure of selection a simple random sample of size n consists of
- associating the natural numbers from 1 to  N units in  the population and
- then selecting those n units whose serial numbers correspond to a set  of  n numbers where each number is less than or equal to  N which is drawn  from a random number table. 

In selection of a sample with varying probabilities, the procedure is  to associate with each unit a set of  consecutive natural numbers, the size  of the set being proportional to  the desired probability. 

If  X 1 , X2 , ..., X N are the positive integers proportional to the probabilities assigned to the N units in the population, then a possible way to associate the cumulative totals of the units.  Then the units are selected based  on the values of cumulative totals.  This is illustrated in the following table: 

Probability proportional to size sampling - 1, CSIR-NET Mathematical Sciences | Mathematics for IIT JAM, GATE, CSIR NET, UGC NET

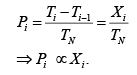
In this case,  the probability of selection of ith unit is

Probability proportional to size sampling - 1, CSIR-NET Mathematical Sciences | Mathematics for IIT JAM, GATE, CSIR NET, UGC NET

Note that  TN is the population total which remains constant..

Drawback : This procedure involves writing down the successive cumulative  totals.  This is time consuming and  tedious  if the number of units in the population is large.
This problem is overcome in the Lahiri’s method.

Lahiri’s method:

Let  Probability proportional to size sampling - 1, CSIR-NET Mathematical Sciences | Mathematics for IIT JAM, GATE, CSIR NET, UGC NETi.e., maximum of the sizes of  N units in the population or some convenient 
number greater than  M .
The sampling procedure has following steps:

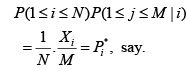
1. Select a pair of random number (i, j) such that  1 ≤ i≤ N ,1 ≤ j ≤M .

2. If   j ≤X i , then ith unit is selected otherwise rejected  and another  pair of random number is chosen.

3. To get a sample of size n , this procedure is repeated till n units are selected.
Now we see how this method ensures that the probabilities of selection of  units are varying and are proportional to size.

Probability of selection of ith unit at a trial depends on two possible outcomes
– either  it is selected at the first draw
– or it is selected in the  subsequent draws preceded by ineffective draws. Such probability is given by

Probability proportional to size sampling - 1, CSIR-NET Mathematical Sciences | Mathematics for IIT JAM, GATE, CSIR NET, UGC NET

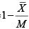
Probability that no unit is selected at a  trial 
                                                                      Probability proportional to size sampling - 1, CSIR-NET Mathematical Sciences | Mathematics for IIT JAM, GATE, CSIR NET, UGC NET

Probability that unit i is selected at a given draw (all other previous draws result in the  non selection of unit i)

Probability proportional to size sampling - 1, CSIR-NET Mathematical Sciences | Mathematics for IIT JAM, GATE, CSIR NET, UGC NET

Thus the probability of selection of unit i is  proportional to the size  Xi . So this method generates a pps sample.

Advantage:

1. It does not require writing down  all cumulative totals for each unit.

2. Sizes of all the units need not be known before hand. We need  only some number greater than the  maximum size and the sizes of those  units which are selected by the choice of the first set of random numbers 1 to N for drawing sample under this scheme.

 

Disadvantage:   It results in the wastage of time and efforts if units get rejected.
The probability of rejectionProbability proportional to size sampling - 1, CSIR-NET Mathematical Sciences | Mathematics for IIT JAM, GATE, CSIR NET, UGC NET

The expected numbers of draws required to draw one unit  Probability proportional to size sampling - 1, CSIR-NET Mathematical Sciences | Mathematics for IIT JAM, GATE, CSIR NET, UGC NET

This number is large if  M is much larger than Probability proportional to size sampling - 1, CSIR-NET Mathematical Sciences | Mathematics for IIT JAM, GATE, CSIR NET, UGC NET

Example: Consider the following data set of 10 number of workers in the factory and its output. We illustrate the selection of units using the cumulative total method. 

Probability proportional to size sampling - 1, CSIR-NET Mathematical Sciences | Mathematics for IIT JAM, GATE, CSIR NET, UGC NET

Selection of sample using cumulative total method: 

1.First draw: - Draw a random number between 1 and 64.
- Suppose it is 23
- T< 23<T5
- Unit Y is selected and Y5 = 8 enters in the sample . 

2. Second draw:
 - 
Draw a random number between 1 and 64
- Suppose it is 38
- T< 38<T8
- Unit 8 is selected and  Y8 = 17 enters in the sample
- and so on.
- This procedure is repeated till the sample of required size is  obtained.


Selection of sample using Lahiri’s Method

In this case

Probability proportional to size sampling - 1, CSIR-NET Mathematical Sciences | Mathematics for IIT JAM, GATE, CSIR NET, UGC NET

So we need to select a pair of random number (i, j ) such that  1 ≤ i≤ 10, 1 ≤j ≤ 14 .

Following table shows the sample obtained by Lahiri’s scheme:

Probability proportional to size sampling - 1, CSIR-NET Mathematical Sciences | Mathematics for IIT JAM, GATE, CSIR NET, UGC NET

and so on.  Here  ( y3,y9 ) are selected into the sample.

Varying probability scheme with replacement:  Estimation of population mean 

Let Yi : value of study variable for the ith unit of the population, i = 1, 2,…,N.
Xi : known value of auxiliary variable (size) for the ith unit of the population.
P: probability of selection of ith unit in the population at any given draw and is proportional to size Xi .
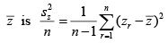
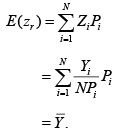
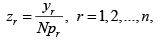
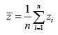
Consider the  varying probability scheme and  with  replacement for a sample of size n. Let yr be the value of rth observation  on study  variable in the sample and pr be its initial probability of selection. Define 

Probability proportional to size sampling - 1, CSIR-NET Mathematical Sciences | Mathematics for IIT JAM, GATE, CSIR NET, UGC NET

then 

Probability proportional to size sampling - 1, CSIR-NET Mathematical Sciences | Mathematics for IIT JAM, GATE, CSIR NET, UGC NET

 

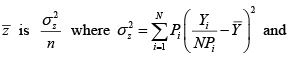
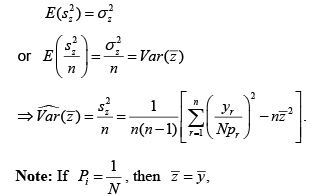
is an unbiased estimator of population mean Probability proportional to size sampling - 1, CSIR-NET Mathematical Sciences | Mathematics for IIT JAM, GATE, CSIR NET, UGC NET , variance of  Probability proportional to size sampling - 1, CSIR-NET Mathematical Sciences | Mathematics for IIT JAM, GATE, CSIR NET, UGC NET

an unbiased estimate of variance of Probability proportional to size sampling - 1, CSIR-NET Mathematical Sciences | Mathematics for IIT JAM, GATE, CSIR NET, UGC NET

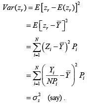
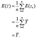
Proof: Note that zcan take any one of the N values out of  Z1 ,Z2 , ..., Z N with corresponding initial probabilities 12
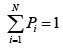
P1,P2, ..., PN , respectively. So

Probability proportional to size sampling - 1, CSIR-NET Mathematical Sciences | Mathematics for IIT JAM, GATE, CSIR NET, UGC NET

Thus

Probability proportional to size sampling - 1, CSIR-NET Mathematical Sciences | Mathematics for IIT JAM, GATE, CSIR NET, UGC NET

So Probability proportional to size sampling - 1, CSIR-NET Mathematical Sciences | Mathematics for IIT JAM, GATE, CSIR NET, UGC NET is an unbiased estimator of population mean Probability proportional to size sampling - 1, CSIR-NET Mathematical Sciences | Mathematics for IIT JAM, GATE, CSIR NET, UGC NET .

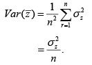
The variance of  Probability proportional to size sampling - 1, CSIR-NET Mathematical Sciences | Mathematics for IIT JAM, GATE, CSIR NET, UGC NET is

Probability proportional to size sampling - 1, CSIR-NET Mathematical Sciences | Mathematics for IIT JAM, GATE, CSIR NET, UGC NET

Now 

Probability proportional to size sampling - 1, CSIR-NET Mathematical Sciences | Mathematics for IIT JAM, GATE, CSIR NET, UGC NET

Thus

Probability proportional to size sampling - 1, CSIR-NET Mathematical Sciences | Mathematics for IIT JAM, GATE, CSIR NET, UGC NET

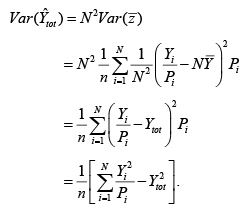
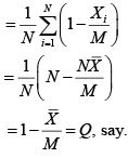
To show that Probability proportional to size sampling - 1, CSIR-NET Mathematical Sciences | Mathematics for IIT JAM, GATE, CSIR NET, UGC NETis an unbiased estimator of  variance of  Probability proportional to size sampling - 1, CSIR-NET Mathematical Sciences | Mathematics for IIT JAM, GATE, CSIR NET, UGC NET , consider

Probability proportional to size sampling - 1, CSIR-NET Mathematical Sciences | Mathematics for IIT JAM, GATE, CSIR NET, UGC NET

Probability proportional to size sampling - 1, CSIR-NET Mathematical Sciences | Mathematics for IIT JAM, GATE, CSIR NET, UGC NET

Probability proportional to size sampling - 1, CSIR-NET Mathematical Sciences | Mathematics for IIT JAM, GATE, CSIR NET, UGC NET

which is the same as in the case of SRSWR.


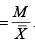
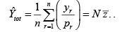
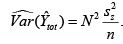
Estimation of population total: An estimate of population total is

Probability proportional to size sampling - 1, CSIR-NET Mathematical Sciences | Mathematics for IIT JAM, GATE, CSIR NET, UGC NET

Taking expectation, we get

Probability proportional to size sampling - 1, CSIR-NET Mathematical Sciences | Mathematics for IIT JAM, GATE, CSIR NET, UGC NET

Thus Probability proportional to size sampling - 1, CSIR-NET Mathematical Sciences | Mathematics for IIT JAM, GATE, CSIR NET, UGC NET is an unbiased estimator of population total. Its  variance is

Probability proportional to size sampling - 1, CSIR-NET Mathematical Sciences | Mathematics for IIT JAM, GATE, CSIR NET, UGC NET

An estimate of the variance

Probability proportional to size sampling - 1, CSIR-NET Mathematical Sciences | Mathematics for IIT JAM, GATE, CSIR NET, UGC NET


Varying probability scheme without replacement

In varying probability scheme without  replacement, when the initial probabilities of  selection are unequal, then the probability  of drawing a specified unit of the population at a given draw changes with  the draw.  Generally, the sampling WOR provides a more efficient estimator than  sampling WR.  The estimators for  population mean and variance are more  complicated. So this scheme is not  commonly used in practice, especially in large scale sample surveys with small sampling fractions.

 

Let  Probability proportional to size sampling - 1, CSIR-NET Mathematical Sciences | Mathematics for IIT JAM, GATE, CSIR NET, UGC NET unit, 

P: Probability of selection  of  Ui at the first draw,  i = 1, 2, ..., N

Probability proportional to size sampling - 1, CSIR-NET Mathematical Sciences | Mathematics for IIT JAM, GATE, CSIR NET, UGC NET

Pi(r) : Probability of selecting  Ui at the r th draw (1)
Pi = Pi.

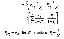
Consider

Pi(2) = Probability of selection of  Ui at 2nd draw.

Such an event can occur in the following possible ways:

Ui is selected at 2nd draw  when

Probability proportional to size sampling - 1, CSIR-NET Mathematical Sciences | Mathematics for IIT JAM, GATE, CSIR NET, UGC NET

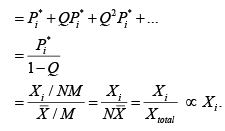
So Pi(2) can be expressed as

Probability proportional to size sampling - 1, CSIR-NET Mathematical Sciences | Mathematics for IIT JAM, GATE, CSIR NET, UGC NET

Probability proportional to size sampling - 1, CSIR-NET Mathematical Sciences | Mathematics for IIT JAM, GATE, CSIR NET, UGC NET

Pi(2) will, in general, be different for each  i = 1,2,…, N .  So  Probability proportional to size sampling - 1, CSIR-NET Mathematical Sciences | Mathematics for IIT JAM, GATE, CSIR NET, UGC NETwill change with successive draws.  
This makes the varying probability  scheme WOR more complex.  Only  Probability proportional to size sampling - 1, CSIR-NET Mathematical Sciences | Mathematics for IIT JAM, GATE, CSIR NET, UGC NET will provide an unbiased estimator of   Probability proportional to size sampling - 1, CSIR-NET Mathematical Sciences | Mathematics for IIT JAM, GATE, CSIR NET, UGC NET .  In general,Probability proportional to size sampling - 1, CSIR-NET Mathematical Sciences | Mathematics for IIT JAM, GATE, CSIR NET, UGC NETwill not provide an unbiased estimator of  Probability proportional to size sampling - 1, CSIR-NET Mathematical Sciences | Mathematics for IIT JAM, GATE, CSIR NET, UGC NET .


Ordered estimates

To overcome the difficulty of changing expectation with each draw, associate a new variate with each draw such that its expectation is equal to the  population value of the variate under  study. Such estimators take into  account the order of the draw. They  are called the ordered estimates.  The  order of the value obtained at previous  draw will affect the unbiasedness of  population mean.

We consider the ordered  estimators proposed by Des Raj, first for the case of two draws and then generalize the result.

The document Probability proportional to size sampling - 1, CSIR-NET Mathematical Sciences | Mathematics for IIT JAM, GATE, CSIR NET, UGC NET is a part of the Mathematics Course Mathematics for IIT JAM, GATE, CSIR NET, UGC NET.
All you need of Mathematics at this link: Mathematics
556 videos|198 docs

FAQs on Probability proportional to size sampling - 1, CSIR-NET Mathematical Sciences - Mathematics for IIT JAM, GATE, CSIR NET, UGC NET

1. What is probability proportional to size sampling?
Ans. Probability proportional to size sampling is a sampling technique used in statistics to select a sample from a population. In this method, each element in the population has a probability of being selected for the sample that is directly proportional to its size or measure of importance.
2. How does probability proportional to size sampling work?
Ans. Probability proportional to size sampling works by assigning a sampling weight to each element in the population based on its size or measure of importance. The larger the size or importance of an element, the higher its sampling weight. Then, during the sampling process, elements are selected with probabilities proportional to their assigned weights.
3. What are the advantages of probability proportional to size sampling?
Ans. The advantages of probability proportional to size sampling include: - Ensures that larger elements or important units in the population have a higher chance of being selected, leading to more accurate representation of the population. - It is particularly useful when the population has unequal sizes or measures of importance. - Allows for the estimation of population totals, means, and proportions based on the sample.
4. How is probability proportional to size sampling different from simple random sampling?
Ans. Probability proportional to size sampling differs from simple random sampling in that it takes into account the size or measure of importance of each element in the population. In simple random sampling, each element in the population has an equal chance of being selected, regardless of its size or importance.
5. What are the limitations of probability proportional to size sampling?
Ans. Some limitations of probability proportional to size sampling include: - It requires accurate information on the sizes or measures of importance of each element in the population. - The method assumes that larger elements or important units are more likely to provide more valuable information, which may not always be the case. - It can be computationally complex, especially for large populations with varying sizes or measures of importance.
Related Searches

Previous Year Questions with Solutions

,

GATE

,

Objective type Questions

,

ppt

,

Important questions

,

video lectures

,

Probability proportional to size sampling - 1

,

shortcuts and tricks

,

past year papers

,

Sample Paper

,

mock tests for examination

,

study material

,

UGC NET

,

Semester Notes

,

practice quizzes

,

Free

,

Summary

,

GATE

,

UGC NET

,

Probability proportional to size sampling - 1

,

Probability proportional to size sampling - 1

,

UGC NET

,

MCQs

,

CSIR NET

,

CSIR-NET Mathematical Sciences | Mathematics for IIT JAM

,

CSIR-NET Mathematical Sciences | Mathematics for IIT JAM

,

CSIR-NET Mathematical Sciences | Mathematics for IIT JAM

,

Exam

,

Extra Questions

,

GATE

,

Viva Questions

,

CSIR NET

,

pdf

,

CSIR NET

;