CAT Exam  >  CAT Notes  >  Practice Questions Level 2: Profit, Loss & Discount - 2

Profit, Loss & Discount Questions for CAT with Answers PDF

This EduRev document offers 20 Multiple Choice Questions (MCQs) from the topic Profit, Loss & Discount (Level - 2). These questions are of Level - 2 difficulty and will assist you in the preparation of CAT & other MBA exams. You can practice/attempt these CAT Multiple Choice Questions (MCQs) and check the explanations for a better understanding of the topic.

Question for Practice Questions Level 2: Profit, Loss & Discount - 2
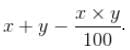
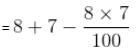
Try yourself:A shopkeeper marks his goods at 40% above the cost price and allows a discount of 40% on the marked price.

What is his loss or gain percentage?

View Solution

Question for Practice Questions Level 2: Profit, Loss & Discount - 2
Try yourself:After giving a discount of 40%, the profit becomes half (in amount) with respect to the total profit when there is no discount. What percent discount has to be given if there is no profit and no loss?
View Solution

Question for Practice Questions Level 2: Profit, Loss & Discount - 2
Try yourself:An unscrupulous vendor professes to sell guavas at cost price but she uses a weight of 960 gm instead of a 1 kg weight. Her gain percent is
View Solution

Question for Practice Questions Level 2: Profit, Loss & Discount - 2
Try yourself:If the cost price of 15 tables is equal to the selling price of 20 tables, then the loss percentage in the transaction is
View Solution

Question for Practice Questions Level 2: Profit, Loss & Discount - 2
Try yourself:A man purchased 10 pens and got 2 pens free. He marked the price 20% more than the CP. He did not allow any discount and sold all the 12 pens for this price. Find his profit percentage.
View Solution

Question for Practice Questions Level 2: Profit, Loss & Discount - 2
Try yourself:A man sells an article at a gain of 10%. If he had bought it at 10% less and sold it for Rs. 132 less, he would have still gained 10%. The cost price of the article is
View Solution

Question for Practice Questions Level 2: Profit, Loss & Discount - 2
Try yourself:A person makes a profit of Rs. 800 by selling a product. If the person wants to double his profit, he will need to increase the SP (selling price) of the product by 20%. At what price did the person purchase the product?
View Solution

Question for Practice Questions Level 2: Profit, Loss & Discount - 2
Try yourself:A and B invested the same amount of money in shares. After one month, A and B both sold their shares. A got P% loss, whereas B got P% profit. With this amount of money, they again purchased shares and sold them after one month. But this time, A got P% profit, whereas B got P% loss. Finally, who has more money?
View Solution

Question for Practice Questions Level 2: Profit, Loss & Discount - 2
Try yourself:A milkman buys milk in 10 vessels of equal size. If he sells milk at Rs. 5 per litre, he loses Rs. 200. On selling it at Rs. 6 per litre, he gains Rs. 150 on the whole. Find the quantity of milk in each vessel.
View Solution

Question for Practice Questions Level 2: Profit, Loss & Discount - 2
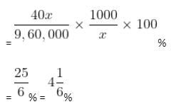
Try yourself:The cost of running a printing machine is Rs. 320 per 1000 copies. The cost of setting is Rs. 2000 for the first 5000 copies and after this, the cost of setting is 30 paise per copy. The other cost is 60 paise per copy. About 10000 copies of a magazine are printed, but only 8260 copies are sold at the rate of Rs. 1.75 each. What is the amount earned from advertisement, if a profit of 30% on the cost price is made?
View Solution

Question for Practice Questions Level 2: Profit, Loss & Discount - 2
Try yourself:Gangaram buys 7000 bananas at Rs. 2 each and agrees to pay an additional sum of Rs. 300 for their delivery. He estimated that 10% of the bananas will be spoiled, so he decides a selling price of Rs. 3 each for the remaining. However, during delivery, 20% of the bananas are spoiled. What should be the percent increase in the selling price in order to obtain the same total profit?
View Solution

Question for Practice Questions Level 2: Profit, Loss & Discount - 2
Try yourself:A manufacturer makes a profit of 15% by selling a colour television for Rs. 6900. If the cost of manufacturing increases by 30% and the price paid by the retailer is increased by 20%, then find the profit percent made by the manufacturer.
View Solution

Question for Practice Questions Level 2: Profit, Loss & Discount - 2
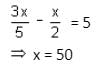
Try yourself:A shopkeeper wants to earn a profit of 27% on his goods. But for marketing purpose, he has to allow a discount of 8.5% to all his customers. By what percent (approximately), above the cost price, must he mark his goods?
View Solution

Question for Practice Questions Level 2: Profit, Loss & Discount - 2
Try yourself:Hemant purchased a phone for Rs. 25,000 in the year 2002. Due to some financial problems, he wanted to sell it in the year 2005. He displayed the selling price as Rs. 22,500. Ram wanted to purchase it and negotiated for a 15% discount on the price. But, Hemant sold him the phone after giving 2 consecutive discounts of 8% and then, 7% on the displayed selling price. The depreciation for the phone is 15% per annum. What is the net discount that Hemant offered Ram?
View Solution

Question for Practice Questions Level 2: Profit, Loss & Discount - 2
Try yourself:If the marked price of an article is 40% more than the cost price, what percentage of discount can be given so that the vendor makes a profit of 20%?
View Solution

Question for Practice Questions Level 2: Profit, Loss & Discount - 2
Try yourself:A TV set having a marked price of Rs. 15,000 is sold by a company to a dealer. The dealer gets 15% discount on it. The dealer then sells this set with 15% profit on the marked price, but also at the same time he gives Rs. 750 rebate on it. Find the profit percentage of the dealer.
View Solution

Question for Practice Questions Level 2: Profit, Loss & Discount - 2
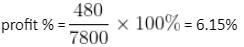
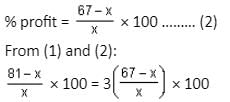
Try yourself:The percentage of profit made when an article is sold for Rs. 81 is thrice as when it is sold for Rs. 67. The cost price of the article is
View Solution

Question for Practice Questions Level 2: Profit, Loss & Discount - 2
Try yourself:Gulnaaz bought some bananas at the rate of 6 per rupee. She bought the same number of bananas at the rate of 3 per rupee and mixed both the types, and sold them at the rate of 10 for Rs. 3. If in this transaction, she had a profit of Rs. 5, how many bananas did she buy?
View Solution

Question for Practice Questions Level 2: Profit, Loss & Discount - 2
Try yourself:A sweet maker made 620 sweets at a cost of 80 paise per sweet. Out of these, 120 sweets got spoiled and he sold rest of the sweets in such a way, that when he sold 400 sweets, he would make a profit of 50% on the total cost of 620 sweets. Find his actual profit percentage on the total outlay.
View Solution

Question for Practice Questions Level 2: Profit, Loss & Discount - 2
Try yourself:Mitchell wants to sell his cycle, costing Rs. 8345. It should be sold at a price which gives a profit of 37%. What will be the marked price when 22% is taken off the selling price?
View Solution

The document Profit, Loss & Discount Questions for CAT with Answers PDF is a part of CAT category.
All you need of CAT at this link: CAT
Download as PDF

Top Courses for CAT

Related Searches

Viva Questions

,

Summary

,

Important questions

,

Semester Notes

,

shortcuts and tricks

,

pdf

,

ppt

,

Extra Questions

,

Profit

,

Profit

,

past year papers

,

Free

,

practice quizzes

,

video lectures

,

Loss & Discount Questions for CAT with Answers PDF

,

Profit

,

Loss & Discount Questions for CAT with Answers PDF

,

Exam

,

MCQs

,

Loss & Discount Questions for CAT with Answers PDF

,

Objective type Questions

,

study material

,

mock tests for examination

,

Sample Paper

,

Previous Year Questions with Solutions

;