CAT Exam  >  CAT Notes  >  Practice Questions Level 3: Profit, Loss & Discount - 1

Profit, Loss & Discount Questions for CAT with Answers PDF

This EduRev document offers 10 Multiple Choice Questions (MCQs) from the topic Profit, Loss & Discount (Level - 3). These questions are of Level - 3 difficulty and will assist you in the preparation of CAT & other MBA exams. You can practice/attempt these CAT Multiple Choice Questions (MCQs) and check the explanations for a better understanding of the topic.

Question for Practice Questions Level 3: Profit, Loss & Discount - 1
Try yourself:The ratios of cost prices and selling prices of products of two shopkeepers A and B are given by (CP)A : (CP)B = 4 : 7, and (SP)A : (SP)B = 7 : 10. Who is earning more profit and by how much?
View Solution

Question for Practice Questions Level 3: Profit, Loss & Discount - 1
Try yourself:By selling eggs at $5 per dozen, a man gained 20%. The cost price of eggs rises by Profit, Loss & Discount Questions for CAT with Answers PDF. If he sells at the same price as before, find his new gain percent. By what percent should he raise his selling price to gain as much as he did previously?
View Solution

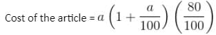
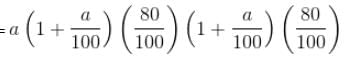
Question for Practice Questions Level 3: Profit, Loss & Discount - 1
Try yourself:On a certain day, the cost of an article is 'a' rupees. The next day, it increases by a% and then decreases by b%. The next day again, it increases by a% and then decreases by b%. Now, the cost of the article is 'a' rupees again. If b = 20, what can be the value of 'a'?
View Solution

Question for Practice Questions Level 3: Profit, Loss & Discount - 1
Try yourself:A man purchased some fruits, out of which 20% were damaged. So, he sold the damaged fruits for half of the market price and sold the rest at the market price. Finally, he got 25% profit. What percentage is the market price more than the cost price?
View Solution

Question for Practice Questions Level 3: Profit, Loss & Discount - 1
Try yourself:A horse and a carriage together cost Rs. 8000. If by selling the horse at a profit of 10% and the carriage at a loss of 10%, a total profit of 2.5% is made, what is the cost price of the horse?
View Solution

Question for Practice Questions Level 3: Profit, Loss & Discount - 1
Try yourself:A man bought two horses for Rs. 30,000 each. He sold one of them at a profit of 20% and the other one at a loss of 10%. What was his net profit/loss? By what percentage would the previous gain/loss would have increased/decreased if he had sold the first horse at a profit of 25% and the second at a loss of 21%?
View Solution

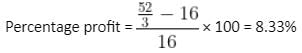
Question for Practice Questions Level 3: Profit, Loss & Discount - 1
Try yourself:The cost of 80% concentrated milk is Rs. 16/litre. The cost of 60% concentrated milk is Rs. 13/litre. If a person purchases 80% concentrated milk and mixes water (which is free of cost) in it to make it 60% concentrated milk, then by selling this milk, how much profit can he make?
View Solution

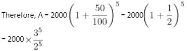
Question for Practice Questions Level 3: Profit, Loss & Discount - 1
Try yourself:Mr. Raju invested Rs. 2000 in the business of fast food. It flourished rapidly and brought a 50% profit every year. Instead of taking out the profit, it was added to the capital every year. What was his total investment in the business at the end of 5 years?
View Solution

Question for Practice Questions Level 3: Profit, Loss & Discount - 1
Try yourself:What profit will be made by selling an article at a certain price, if there is a loss of 10% incurred by selling it at 2/3 of that price?
View Solution

Question for Practice Questions Level 3: Profit, Loss & Discount - 1
Try yourself:A pharmaceutical company produces 6000 bottles of cough syrup for Rs. 1,32,000. It distributed 20% of the bottles among doctors as samples and sold 2/3 of the remaining bottles at 25% discount. The remaining bottles were sold to shopkeepers at 10% discount on the printed price of the bottle that was 50% more than the cost price. Find the profit or loss.
View Solution

The document Profit, Loss & Discount Questions for CAT with Answers PDF is a part of CAT category.
All you need of CAT at this link: CAT
Download as PDF

Top Courses for CAT

Related Searches

Objective type Questions

,

Free

,

MCQs

,

mock tests for examination

,

Loss & Discount Questions for CAT with Answers PDF

,

Important questions

,

Sample Paper

,

Extra Questions

,

study material

,

past year papers

,

practice quizzes

,

shortcuts and tricks

,

video lectures

,

Viva Questions

,

Profit

,

Semester Notes

,

ppt

,

Profit

,

Profit

,

pdf

,

Previous Year Questions with Solutions

,

Summary

,

Loss & Discount Questions for CAT with Answers PDF

,

Loss & Discount Questions for CAT with Answers PDF

,

Exam

;