CAT Exam  >  CAT Notes  >  Practice Questions Level 1: Progressions, Sequences & Series - 1

Progressions, Sequences & Series Questions for CAT with Answers PDF

This EduRev document offers 10 Multiple Choice Questions (MCQs) from the topic Progressions, Sequences & Series (Level - 1). These questions are of Level - 1 difficulty and will assist you in the preparation of CAT & other MBA exams. You can practice/attempt these CAT Multiple Choice Questions (MCQs) and check the explanations for a better understanding of the topic.

Question for Practice Questions Level 1: Progressions, Sequences & Series - 1
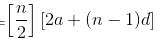
Try yourself:Find the value of 12 + 1 + 22 + 2 + 32 + 3 + ... + n2 + n.
View Solution

Question for Practice Questions Level 1: Progressions, Sequences & Series - 1
Try yourself:Susan had arranged to pay off her debt of $3,600 to CASA Bank in 40 monthly installments in the form of an A.P. When 30 of the installments had been repaid, she died leaving one third of the debt unpaid. What was the value of the first installment?  
View Solution

Question for Practice Questions Level 1: Progressions, Sequences & Series - 1
Try yourself:Progressions, Sequences & Series Questions for CAT with Answers PDF
View Solution

Question for Practice Questions Level 1: Progressions, Sequences & Series - 1
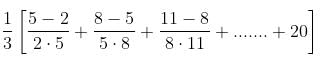
Try yourself:Find the value of Progressions, Sequences & Series Questions for CAT with Answers PDF   ..........… 50 terms.
View Solution

Question for Practice Questions Level 1: Progressions, Sequences & Series - 1
Try yourself:Find the sum of the infinite series: 1/3 + 3/9 + 7/27 + 15/81 + ............
View Solution

Question for Practice Questions Level 1: Progressions, Sequences & Series - 1
Try yourself:If a, b, c and d are in GP, then (a - c)2 + (b - c)2 + (b - d)2 is equal to  
View Solution

Question for Practice Questions Level 1: Progressions, Sequences & Series - 1
Try yourself:The ninth term of an AP is 5 more than the sixth term. If the eleventh term of that AP is 35, then what is its first term?
View Solution

Question for Practice Questions Level 1: Progressions, Sequences & Series - 1
Try yourself:If x, y, z are in AP, then Progressions, Sequences & Series Questions for CAT with Answers PDF
View Solution

Question for Practice Questions Level 1: Progressions, Sequences & Series - 1
Try yourself:The sum of 5 numbers in AP is 75 and the product of the greatest and the least of them is 161. What is the greatest number?
View Solution

Question for Practice Questions Level 1: Progressions, Sequences & Series - 1
Try yourself:The sum of the 9th, 14th and 18th terms of an AP is equal to the sum of the 20th and 24th terms. What is the ratio of the 4th term to the 2nd term?
View Solution

The document Progressions, Sequences & Series Questions for CAT with Answers PDF is a part of CAT category.
All you need of CAT at this link: CAT
Download as PDF

Top Courses for CAT

Related Searches

Extra Questions

,

MCQs

,

Sequences & Series Questions for CAT with Answers PDF

,

pdf

,

Sequences & Series Questions for CAT with Answers PDF

,

Summary

,

Previous Year Questions with Solutions

,

Sequences & Series Questions for CAT with Answers PDF

,

Semester Notes

,

video lectures

,

Viva Questions

,

study material

,

Free

,

Exam

,

mock tests for examination

,

Important questions

,

Sample Paper

,

Objective type Questions

,

practice quizzes

,

shortcuts and tricks

,

Progressions

,

Progressions

,

past year papers

,

Progressions

,

ppt

;