CAT Exam  >  CAT Notes  >  Practice Questions Level 2: Progressions, Sequences & Series - 2

Progressions, Sequences & Series Questions for CAT with Answers PDF

This EduRev document offers 20 Multiple Choice Questions (MCQs) from the topic Progressions, Sequences & Series (Level - 2). These questions are of Level - 2 difficulty and will assist you in the preparation of CAT & other MBA exams. You can practice/attempt these CAT Multiple Choice Questions (MCQs) and check the explanations for a better understanding of the topic.

Question for Practice Questions Level 2: Progressions, Sequences & Series - 2
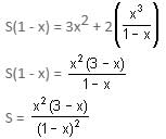
Try yourself:Find the sum: 3x2 + 5x3 + 7x4 + 9x5 + .............
View Solution

Question for Practice Questions Level 2: Progressions, Sequences & Series - 2
Try yourself:1.3 + 3.5 + 5.7 + ... (up to 20 terms) is equal to
View Solution

Question for Practice Questions Level 2: Progressions, Sequences & Series - 2
Try yourself:Find the sum of the series: 1 + 3 + 5 + 6 + 9 + 12 + 13 + .......... (10 terms)
View Solution

Question for Practice Questions Level 2: Progressions, Sequences & Series - 2
Try yourself:If a, b and c are in AP, then 1/bc, 1/ca and 1/ab are in
View Solution

Question for Practice Questions Level 2: Progressions, Sequences & Series - 2
Try yourself:Find the sum of the following series up to n terms:
3 + 6 + 10 + 16 + …
View Solution

Question for Practice Questions Level 2: Progressions, Sequences & Series - 2
Try yourself:Let a1, a2, a3... be in an A.P with a common difference, which is not a multiple of 3. The maximum number of consecutive terms which are in AP and are also prime numbers, is
View Solution

Question for Practice Questions Level 2: Progressions, Sequences & Series - 2
Try yourself:A radio set manufacturer produced 600 units in the third year and 700 units in the seventh year. Assuming that the production uniformly increases by a fixed number every year, find (i) the production in the first year (ii) the production in the 10th year and (iii) the total production in 7 years.
View Solution

Question for Practice Questions Level 2: Progressions, Sequences & Series - 2
Try yourself:Progressions, Sequences & Series Questions for CAT with Answers PDF
View Solution

Question for Practice Questions Level 2: Progressions, Sequences & Series - 2
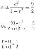
Try yourself:If the sum of an infinitely decreasing G.P. is 3 and the sum of squares of its terms is 9/2, then the sum of cubes of its terms is _____.
View Solution

Question for Practice Questions Level 2: Progressions, Sequences & Series - 2
Try yourself:In an AP, the mth term is 1/n and the nth term is 1/m. The sum of first mn terms is
View Solution

Question for Practice Questions Level 2: Progressions, Sequences & Series - 2
Try yourself:The first term of an arithmetic progression is 2 and the fourth term is 6. If the sum of first n terms of the progression is 6800, find the value of n.  
View Solution

Question for Practice Questions Level 2: Progressions, Sequences & Series - 2
Try yourself:If the sums of first 8 and 19 terms of an AP are 64 and 361, respectively, then the sum of its first n terms will be
View Solution

Question for Practice Questions Level 2: Progressions, Sequences & Series - 2
Try yourself:Find the 5th term of an HP, if the sum of the reciprocals of the first nine terms of the harmonic progression is 90.
View Solution

Question for Practice Questions Level 2: Progressions, Sequences & Series - 2
Try yourself:If the sum of the first 11 terms of an AP equals the sum of the first 19 terms, then what is the sum of the first 30 terms?  
View Solution

Question for Practice Questions Level 2: Progressions, Sequences & Series - 2
Try yourself:The 288th term of the series abbcccddddeeeeefffffff.... is  
View Solution

Question for Practice Questions Level 2: Progressions, Sequences & Series - 2
Try yourself:The number of terms between 30 and 530, which are divisible by 11, is  
View Solution

Question for Practice Questions Level 2: Progressions, Sequences & Series - 2
Try yourself:Find the sum of all natural numbers between 250 and 1000, which are exactly divisible by 3.
View Solution

Question for Practice Questions Level 2: Progressions, Sequences & Series - 2
Try yourself:In an AP, S4 = 28 and S8 = 48. Find S12.
View Solution

Question for Practice Questions Level 2: Progressions, Sequences & Series - 2
Try yourself:The sum of five numbers in an AP is 30 and the sum of their squares is 220. Find the numbers.
View Solution

Question for Practice Questions Level 2: Progressions, Sequences & Series - 2
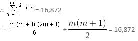
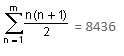
Try yourself:There are 8436 steel balls, each of radius 1 cm, stacked in a pile with 1 ball at the top, 3 balls in the second layer, 6 in the third layer, 10 in the fourth, and so on. The number of horizontal layers in the pile will be
View Solution

The document Progressions, Sequences & Series Questions for CAT with Answers PDF is a part of CAT category.
All you need of CAT at this link: CAT
Download as PDF

Top Courses for CAT

Related Searches

shortcuts and tricks

,

study material

,

mock tests for examination

,

Sequences & Series Questions for CAT with Answers PDF

,

Viva Questions

,

Progressions

,

Sequences & Series Questions for CAT with Answers PDF

,

ppt

,

pdf

,

practice quizzes

,

Sequences & Series Questions for CAT with Answers PDF

,

past year papers

,

Objective type Questions

,

Free

,

Progressions

,

Exam

,

MCQs

,

Previous Year Questions with Solutions

,

Progressions

,

Semester Notes

,

Important questions

,

Sample Paper

,

Summary

,

Extra Questions

,

video lectures

;