CAT Exam  >  CAT Notes  >  Quant For CAT 2020 (Slot - 3)

Quant For CAT 2020 (Slot - 3) PDF Download

Directions: For the following questions answer them individually.

Question for Quant For CAT 2020 (Slot - 3)
Try yourself:Two alcohol solutions, A and B, are mixed in the proportion 1:3 by volume. The volume of the mixture is then doubled by adding solution A such that the resulting mixture has 72% alcohol. If solution A has 60% alcohol, then the percentage of alcohol in solution B is
View Solution

Question for Quant For CAT 2020 (Slot - 3)
Try yourself:A batsman played n + 2 innings and got out on all occasions. His average score in these n + 2 innings was 29 runs and he scored 38 and 15 runs in the last two innings. The batsman scored less than 38 runs in each of the first n innings. In these n innings, his average score was 30 runs and lowest score was x runs. The smallest possible value of x is
View Solution

Question for Quant For CAT 2020 (Slot - 3)
Try yourself:Let m and n be positive integers, x2 + mx + 2n = 0 and x2 + 2nx + m = 0 have real roots, then the smallest possible value of m+n is
View Solution

Question for Quant For CAT 2020 (Slot - 3)
Try yourself:A contractor agreed to construct a 6 km road in 200 days. He employed 140 persons for the work. After 60 days, he realized that only 1.5 km road has been completed. How many additional people would he need to employ in order to finish the work exactly on time?
View Solution

Question for Quant For CAT 2020 (Slot - 3)
Try yourself:If x1​ = −1 and xm​ = xm+1​+(m+1) for every positive integer m, then X100​ equals
View Solution

Question for Quant For CAT 2020 (Slot - 3)
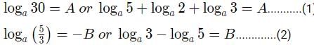
Try yourself:If loga30 = A,loga( 5/3) =−B and  log2a= 1/3 , then log3a equals
View Solution

Question for Quant For CAT 2020 (Slot - 3)
Try yourself:Dick is thrice as old as Tom and Harry is twice as old as Dick. If Dick's age is 1 year less than the average age of all three, then Harry's age, in years, is
View Solution

Question for Quant For CAT 2020 (Slot - 3)
Try yourself:Vimla starts for office every day at 9 am and reaches exactly on time if she drives at her usual speed of 40 km/hr. She is late by 6 minutes if she drives at 35 km/hr. One day, she covers two-thirds of her distance to office in one-thirds of her usual total time to reach office, and then stops for 8 minutes. The speed, in km/hr, at which she should drive the remaining distance to reach office exactly on time is
View Solution

Question for Quant For CAT 2020 (Slot - 3)
Try yourself:The vertices of a triangle are (0,0), (4,0) and (3,9). The area of the circle passing through these three points is
View Solution

Question for Quant For CAT 2020 (Slot - 3)
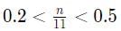
Try yourself:Let m and n be natural numbers such that n is even and Quant For CAT 2020 (Slot - 3)Then m − 2n equals
View Solution

Question for Quant For CAT 2020 (Slot - 3)
Try yourself:How many integers in the set {100, 101, 102, ..., 999} have at least one digit repeated?
View Solution

Question for Quant For CAT 2020 (Slot - 3)
Try yourself:In the final examination, Bishnu scored 52% and Asha scored 64%. The marks obtained by Bishnu is 23 less, and that by Asha is 34 more than the marks obtained by Ramesh. The marks obtained by Geeta, who scored 84%, is
View Solution

Question for Quant For CAT 2020 (Slot - 3)
Try yourself:If a,b,c are non-zero and 14a =36b =84c , then 6b( 1/c - 1/a) is equal to
View Solution

Question for Quant For CAT 2020 (Slot - 3)
Try yourself:A person invested a certain amount of money at 10% annual interest, compounded half-yearly. After one and a half years, the interest and principal together became Rs.18522. The amount, in rupees, that the person had invested is
View Solution

Question for Quant For CAT 2020 (Slot - 3)
Try yourself:A man buys 35 kg of sugar and sets a marked price in order to make a 20% profit. He sells 5 kg at this price, and 15 kg at a 10% discount. Accidentally, 3 kg of sugar is wasted. He sells the remaining sugar by raising the marked price by p percent so as to make an overall profit of 15%. Then p is nearest to
View Solution

Question for Quant For CAT 2020 (Slot - 3)
Try yourself:The points (2,1) and (-3,-4) are opposite vertices of a parallelogram.If the other two vertices lie on the line x + 9y + c = 0, then c is
View Solution

Question for Quant For CAT 2020 (Slot - 3)
Try yourself:A and B are two railway stations 90 km apart. A train leaves A at 9:00 am, heading towards B at a speed of 40 km/hr. Another train leaves B at 10:30 am, heading towards A at a speed of 20 km/hr. The trains meet each other at
View Solution

Question for Quant For CAT 2020 (Slot - 3)
Try yourself:Let N, x and y be positive integers such that N = x + y,2 < x < 10 and 14 < y < 23. If N > 25, then how many distinct values are possible for N?
View Solution

Question for Quant For CAT 2020 (Slot - 3)
Try yourself:Let k be a constant. The equations kx + y = 3 and 4x + ky = 4 have a unique solution if and only if
View Solution

Question for Quant For CAT 2020 (Slot - 3)
Try yourself:How many of the integers 1, 2, … , 120, are divisible by none of 2, 5 and 7?
View Solution

Question for Quant For CAT 2020 (Slot - 3)
Try yourself:How many pairs(a, b) of positive integers are there such that  a ≤ b and ab = 42017?
View Solution

Question for Quant For CAT 2020 (Slot - 3)
Try yourself:Anil, Sunil, and Ravi run along a circular path of length 3 km, starting from the same point at the same time, and going in the clockwise direction. If they run at speeds of 15 km/hr, 10 km/hr, and 8 km/hr, respectively, how much distance in km will Ravi have run when Anil and Sunil meet again for the first time at the starting point?
View Solution

Question for Quant For CAT 2020 (Slot - 3)
Try yourself:n a trapezium ABCD, AB is parallel to DC, BC is perpendicular to DC and  ∠BAD = 45o. If DC = 5cm, BC = 4 cm,the area of the trapezium in sq cm is
View Solution

Question for Quant For CAT 2020 (Slot - 3)
Try yourself:The area, in sq. units, enclosed by the lines x = 2,y = | x − 2| + 4, the X-axis and the Y-axis is equal to
View Solution

Question for Quant For CAT 2020 (Slot - 3)
Try yourself:If f(x + y) = f(x)f(y) and f(5) = 4 f(5) = 4, then f(10) − f(−10) is equal to
View Solution

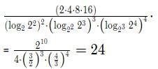
Question for Quant For CAT 2020 (Slot - 3)
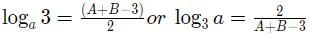
Try yourself:Quant For CAT 2020 (Slot - 3) equals
View Solution

The document Quant For CAT 2020 (Slot - 3) is a part of CAT category.
All you need of CAT at this link: CAT
Download as PDF

Top Courses for CAT

Related Searches

Extra Questions

,

Summary

,

study material

,

mock tests for examination

,

ppt

,

Quant For CAT 2020 (Slot - 3)

,

Sample Paper

,

Previous Year Questions with Solutions

,

MCQs

,

Free

,

Semester Notes

,

Exam

,

pdf

,

Quant For CAT 2020 (Slot - 3)

,

Viva Questions

,

past year papers

,

Quant For CAT 2020 (Slot - 3)

,

Important questions

,

Objective type Questions

,

practice quizzes

,

video lectures

,

shortcuts and tricks

;