CAT Exam  >  CAT Notes  >  Quant For CAT 2022 (Slot - 1)

Quant For CAT 2022 (Slot - 1) PDF Download

Question for Quant For CAT 2022 (Slot - 1)
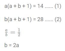
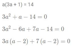
Try yourself:Let a and b be natural numbers. If a2 + ab + a = 14 and b2 + ab + b = 28, then (2a + b) equals
View Solution

*Answer can only contain numeric values
Question for Quant For CAT 2022 (Slot - 1)
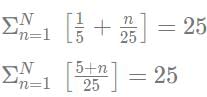
Try yourself:For any real number x, let [x] be the largest Integer less than or equal to x. If Quant For CAT 2022 (Slot - 1) them N is
Check
View Solution

Question for Quant For CAT 2022 (Slot - 1)
Try yourself:Trains A and B start traveling at the same time towards each other with constant speeds from stations X and Y, respectively. Train A reaches station Y in 10 minutes while train B takes 9 minutes to reach station X after meeting train A. Then the total time taken, in minutes, by train B to travel from station Y to station X is
View Solution

*Answer can only contain numeric values
Question for Quant For CAT 2022 (Slot - 1)
Try yourself:A trapezium ABCD has side AD parallel to BC, ∠BAD = 90°, BC = 3 cm and AD = 8 cm. If the perimeter of this trapezium is 36 cm, then its area, in sq. cm, is
Check
View Solution

*Answer can only contain numeric values
Question for Quant For CAT 2022 (Slot - 1)
Try yourself:For natural numbers x,y, and z, if xy + yz = 19 and yz + xz = 51, then the minimum possible value of xyz is
Check
View Solution

Question for Quant For CAT 2022 (Slot - 1)
Try yourself:Let a, b, c be non-zero real numbers such that b2 < 4ac, and f(x) = ax2 + bx + c. If the set S consists of all integers m such that f(m) < 0, then the set S must necessarily be
View Solution

Question for Quant For CAT 2022 (Slot - 1)
Try yourself:A mixture contains lemon juice and sugar syrup in equal proportion. If a new mixture is created by adding this mixture and sugar syrup in the ratio 1 : 3, then the ratio of lemon juice and sugar syrup in the new mixture is
View Solution

Question for Quant For CAT 2022 (Slot - 1)
Try yourself:The average of three integers is 13. When a natural number n is included, the average of these four integers remains an odd integer. The minimum possible value of n is
View Solution

*Answer can only contain numeric values
Question for Quant For CAT 2022 (Slot - 1)
Try yourself:Amal buys 110 kg of syrup and 120 kg of juice, syrup being 20% less costly than juice, per kg. He sells 10 kg of syrup at 10% profit and 20 kg of juice at 20% profit. Mixing the remaining juice and syrup, Amal sells the mixture at ₹ 308.32 per kg and makes an overall profit of 64%. Then, Amal’s cost price for syrup, in rupees per kg, is
Check
View Solution

Question for Quant For CAT 2022 (Slot - 1)
Try yourself:For any natural number n, suppose the sum of the first n terms of an arithmetic progression is (n + 2n2). If the nth term of the progression is divisible by 9, then the smallest possible value of n is
View Solution

Question for Quant For CAT 2022 (Slot - 1)
Try yourself:Ankita buys 4 kg cashews, 14 kg peanuts and 6 kg almonds when the cost of 7 kg cashews is the same as that of 30 kg peanuts or 9 kg almonds. She mixes all the three nuts and marks a price for the mixture in order to make a profit of ₹1752. She sells 4 kg of the mixture at this marked price and the remaining at a 20% discount on the marked price, thus making a total profit of ₹744. Then the amount, in rupees, that she had spent in buying almonds is
View Solution

Question for Quant For CAT 2022 (Slot - 1)
Try yourself:The average weight of students in a class increases by 600 gm when some new students join the class. If the average weight of the new students is 3 kg more than the average weight of the original students, then the ratio of the number of original students to the number of new students is
View Solution

*Answer can only contain numeric values
Question for Quant For CAT 2022 (Slot - 1)
Try yourself:The number of ways of distributing 20 identical balloons among 4 children such that each child gets some balloons but no child gets an odd number of balloons, is
Check
View Solution

Question for Quant For CAT 2022 (Slot - 1)
Try yourself:The largest real value of a for which the equation |X + a| + |x − 1| = 2 has an infinite number of solutions for x is
View Solution

Question for Quant For CAT 2022 (Slot - 1)
Try yourself:All the vertices of a rectangle lie on a circle of radius R. If the perimeter of the rectangle is P, then the area of the rectangle is
View Solution

Question for Quant For CAT 2022 (Slot - 1)
Try yourself:Let ABCD be a parallelogram such that the coordinates of its three vertices A, B, C are (1, 1), (3, 4) and (−2, 8), respectively. Then, the coordinates of the vertex D are
View Solution

*Answer can only contain numeric values
Question for Quant For CAT 2022 (Slot - 1)
Try yourself:Let A be the largest positive integer that divides all the numbers of the form 3k + 4k + 5k and B be the largest positive integer that divides all the numbers of the form 4k + 3(4k) + 4k+2, where k is any positive integer. Then (A + B) equals
Check
View Solution

Question for Quant For CAT 2022 (Slot - 1)
Try yourself:Let 0 ≤ a ≤ x ≤ 100 and f(x) = |x − a| + |x − 100| + |x − a − 50|.Then the maximum value of f(x) becomes 100 when a is equal to
View Solution

*Answer can only contain numeric values
Question for Quant For CAT 2022 (Slot - 1)
Try yourself:Pinky is standing in a queue at a ticket counter. Suppose the ratio of the number of persons standing ahead of Pinky to the number of persons standing behind her in the queue is 3 : 5. If the total number of persons in the queue is less than 300, then the maximum possible number of persons standing ahead of Pinky is
Check
View Solution

Question for Quant For CAT 2022 (Slot - 1)
Try yourself:In a class of 100 students, 73 like coffee, 80 like tea and 52 like lemonade. It may be possible that some students do not like any of these three drinks. Then the difference between the maximum and minimum possible number of students who like all the three drinks is
View Solution

Question for Quant For CAT 2022 (Slot - 1)
Try yourself:Alex invested his savings in two parts. The simple interest earned on the first part at 15% per annum for 4 years is the same as the simple interest earned on the second part at 12% per annum for 3 years. Then, the percentage of his savings invested in the first part is
View Solution

*Answer can only contain numeric values
Question for Quant For CAT 2022 (Slot - 1)
Try yourself:In a village, the ratio of number of males to females is 5 : 4. The ratio of number of literate males to literate females is 2 : 3. The ratio of the number of illiterate males to illiterate females is 4 : 3. If 3600 males in the village are literate, then the total number of females in the village is
Check
View Solution

The document Quant For CAT 2022 (Slot - 1) is a part of CAT category.
All you need of CAT at this link: CAT
Download as PDF

Top Courses for CAT

Related Searches

Extra Questions

,

Free

,

pdf

,

MCQs

,

Quant For CAT 2022 (Slot - 1)

,

mock tests for examination

,

past year papers

,

Previous Year Questions with Solutions

,

shortcuts and tricks

,

Viva Questions

,

study material

,

Exam

,

Objective type Questions

,

Summary

,

Quant For CAT 2022 (Slot - 1)

,

Semester Notes

,

Important questions

,

practice quizzes

,

Quant For CAT 2022 (Slot - 1)

,

ppt

,

Sample Paper

,

video lectures

;