Chemistry Exam  >  Chemistry Notes  >  Organic Chemistry  >  Quick Tips: Cram's, Prelog Rules & Prochirality Relation

Quick Tips: Cram's, Prelog Rules & Prochirality Relation | Organic Chemistry PDF Download

Quick tips for exam point of view.

Prochirality relations:-

  • Groups or ligands which are interchangeable with any t ype of simple axis of rotation are ho motopic groups or ligands.
  • Groups or ligands which are interchangeable wit h the help of centre of inversio n or effected by plane of symmetry are enantiotopic ligands
  • Groups or ligands which are not related wit h any type o f symmetry elements are called diastereotopic ligands.

Quick Tips: Cram`s, Prelog Rules & Prochirality Relation | Organic Chemistry    Quick Tips: Cram`s, Prelog Rules & Prochirality Relation | Organic Chemistry

This is a prochiral mo lecule. On performing a C2 operation on the first mo lecule we will get the second one.
Now check for the relationship among groups.
5-6,7-8,9-10,11-12 - Diastereotopic
5-10,6-9,8-12,7-11,1-2,3-4 – Homotopic
10-11,9-12,8-6,7-5 – Enantiotopic

 

Nomenclature of faces and ligands 

Faces are given Re or Si on the basis of the rules of CIP. Same rules are applied.

Quick Tips: Cram`s, Prelog Rules & Prochirality Relation | Organic ChemistryQuick Tips: Cram`s, Prelog Rules & Prochirality Relation | Organic Chemistry

In the same way we can solve other problems related with nomenclature.

Cram’s rule:-During certain additions to the carbon-oxygen double bond of aldehydes and ketones containing an asymmetric α carbon cram’s rule predicts diastereoselectivity i.e. which diastereomer will predominate.
According to this rule the incoming nucleophilic group preferentially attacks on the side of the plane containing the small group.

Quick Tips: Cram`s, Prelog Rules & Prochirality Relation | Organic ChemistryQuick Tips: Cram`s, Prelog Rules & Prochirality Relation | Organic Chemistry
Quick Tips: Cram`s, Prelog Rules & Prochirality Relation | Organic Chemistry
Quick Tips: Cram`s, Prelog Rules & Prochirality Relation | Organic Chemistry

By this rule, it can be predicted that the reaction(A) should preferred over (B).
When the size of incoming group increases the extent of diastereoselectivity also increases. As in the above shown example if we increases the size of incoming group i.e. nucleophile from Me<Et<Ph then ratio of the major product formed is also increased.

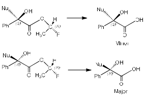
Prelog rule:-This rule is applied for α-keto esters. This reaction is enantioselective as one enantiomer is preffered which is formed by attack on α-carbonyl carbon from less hindered site.

Quick Tips: Cram`s, Prelog Rules & Prochirality Relation | Organic Chemistry  Quick Tips: Cram`s, Prelog Rules & Prochirality Relation | Organic Chemistry

From the above reaction two compounds are formed which are non-superimposable mirror images of each other i.e. enantiomers. According to this rule incoming nucleophile will attack from that side of the plane which contains group of lowest priority.

The document Quick Tips: Cram's, Prelog Rules & Prochirality Relation | Organic Chemistry is a part of the Chemistry Course Organic Chemistry.
All you need of Chemistry at this link: Chemistry
44 videos|102 docs|52 tests

FAQs on Quick Tips: Cram's, Prelog Rules & Prochirality Relation - Organic Chemistry

1. What are Cram's, Prelog rules, and Prochirality relation?
Ans. Cram's, Prelog rules, and Prochirality relation are concepts in organic chemistry that are used to determine the stereochemistry of organic compounds. Cram's rule is a set of rules that determine the preferred conformation of cyclic compounds. Prelog rules are a set of rules that determine the priority of substituents in chiral molecules. Prochirality relation refers to the relationship between a chiral center and its corresponding achiral molecule.
2. How does Cram's rule help in determining the preferred conformation of cyclic compounds?
Ans. Cram's rule helps in determining the preferred conformation of cyclic compounds by considering the steric interactions between substituents. The rule states that bulky substituents prefer to be placed in equatorial positions rather than axial positions in order to minimize steric hindrance. This preference for equatorial positions helps in predicting the most stable conformation of a cyclic compound.
3. What are Prelog rules and how are they used in determining the priority of substituents in chiral molecules?
Ans. Prelog rules are a set of rules used to determine the priority of substituents in chiral molecules. These rules are based on the Cahn-Ingold-Prelog (CIP) system, which assigns priorities to substituents based on the atomic number of the atoms directly attached to the chiral center. The substituent with the highest priority is assigned the number 1, and the priorities of other substituents are determined accordingly. This priority order is then used to name the molecule or determine its stereochemistry.
4. How does the Prochirality relation relate to chiral centers and achiral molecules?
Ans. The Prochirality relation refers to the relationship between a chiral center and its corresponding achiral molecule. A chiral center is an atom that is attached to four different substituents, while an achiral molecule is a molecule that does not possess chirality. The Prochirality relation states that if an achiral molecule can be converted into a chiral molecule by replacing one of its atoms with a different substituent, then the original molecule is said to have a prochiral center. This concept is important in understanding the transformation of achiral compounds into chiral compounds.
5. How can knowledge of Cram's, Prelog rules, and Prochirality relation be applied in organic chemistry?
Ans. Knowledge of Cram's, Prelog rules, and Prochirality relation is applied in organic chemistry to determine the stereochemistry of organic compounds. These concepts help in predicting the preferred conformation of cyclic compounds, assigning priorities to substituents in chiral molecules, and understanding the conversion of achiral molecules into chiral molecules. By applying these rules, chemists can accurately describe and understand the three-dimensional structure of organic compounds, which is crucial in various areas of organic chemistry, such as drug design and synthesis.
Related Searches

Free

,

shortcuts and tricks

,

Important questions

,

MCQs

,

Prelog Rules & Prochirality Relation | Organic Chemistry

,

past year papers

,

Previous Year Questions with Solutions

,

ppt

,

Summary

,

Semester Notes

,

Exam

,

Prelog Rules & Prochirality Relation | Organic Chemistry

,

Quick Tips: Cram's

,

video lectures

,

Extra Questions

,

Quick Tips: Cram's

,

study material

,

mock tests for examination

,

Viva Questions

,

Objective type Questions

,

pdf

,

Sample Paper

,

Quick Tips: Cram's

,

practice quizzes

,

Prelog Rules & Prochirality Relation | Organic Chemistry

;