Class 7 Exam  >  Class 7 Notes  >  RD Sharma Solutions for Class 7 Mathematics  >  RD Sharma Solutions (Part - 1) - Ex-20.3, Mensuration - I, Class 7, Math

RD Sharma Solutions (Part - 1) - Ex-20.3, Mensuration - I, Class 7, Math | RD Sharma Solutions for Class 7 Mathematics PDF Download

Question 1:

Find the area of a parallogram with base 8 cm and altitude 4.5 cm.

Answer 1:

We have,
Base = 8 cm and altitude = 4.5 cm
Thus,
Area of the parallelogram = Base x Altitude
                                          =  8 cm x 4.5 cm
                                          = 36 cm

Question 2:

Find the area in square metres of the parallelogram whose base and altitudes are as under:
(i) Base = 15 dm, altitude = 6.4 dm
(ii) Base = 1 m 40 cm, altitude = 60 cm

Answer 2:

We have,
(i) Base = 15 dm = (15 x 10) cm = 150 cm = 1.5 m                  [Since 100 cm  = 1 m]
     Altitude = 6.4 dm = (6.4 x 10) cm = 64 cm = 0.64 m
     Thus,
     Area of the parallelogram = Base x Altitude
                                               =  1.5 m x 0.64 m
                                               = 0.96 m2

(ii) Base = 1 m 40 cm = 1.4 m             [Since 100 cm  = 1 m]
     Altitude = 60 cm = 0.6 m
     Thus,
     Area of the parallelogram = Base x Altitude
                                               =  1.4 m x 0.6 m
                                               = 0.84 m2

Question 3:

Find the altitude of a parallelogram whose area is 54 dm2 and base is 12 dm.

Answer 3:

We have,
Area of the given parallelogram = 54 dm2
Base of the given parallelogram = 12 dm
∴ Altitude of the given parallelogram  = Area/Base=54/12dm  = 4.5 dm

 

Question 4:

The area of a rhombus is 28 m2. If its perimeter be 28 m, find its altitude.

Answer 4:

We have,
Perimeter of a rhombus = 28 m
∴ 4(Side) = 28 m                          [Since perimeter = 4(Side)]

⇒ Side = 28 m/4 =7 m
Now,
Area of the rhombus = 28 m2
⇒ (Side x Altitude) = 28 m2
⇒ (7 m x Altitude) = 28 m2

⇒ Altitude = 28 m2/ 7m =4 m

Question 5:

In Fig. 20, ABCD is a parallelogram, DL ⊥ AB and DM ⊥ BC. If AB = 18 cm, BC = 12 cm and DM = 9.3 cm, find DL.

RD Sharma Solutions (Part - 1) - Ex-20.3, Mensuration - I, Class 7, Math | RD Sharma Solutions for Class 7 Mathematics

Answer 5:

We have,
Taking BC as the base,
BC = 12 cm and altitude DM = 9.3 cm
∴ Area of parallelogram ABCD = Base x Altitude
                                                    = (12 cm x 9.3 cm) = 111.6 cm2 ......... (i)
Now,
Taking AB as the base, we have,
Area of the parallelogram ABCD = Base x Altitude = (18 cm x DL).................(ii)
From (i) and (ii), we have

18 cm x DL = 111.6 cm2

RD Sharma Solutions (Part - 1) - Ex-20.3, Mensuration - I, Class 7, Math | RD Sharma Solutions for Class 7 Mathematics

 

Question 6:

The longer side of a parallelogram is 54 cm and the corresponding altitude is 16 cm. If the altitude corresponding to the shorter side is 24 cm, find the length of the shorter side.

Answer 6:

We have,
ABCD is a parallelogram with the longer side AB = 54 cm and corresponding altitude AE = 16 cm.
The shorter side is BC and the corresponding altitude is CF = 24 cm.

RD Sharma Solutions (Part - 1) - Ex-20.3, Mensuration - I, Class 7, Math | RD Sharma Solutions for Class 7 Mathematics

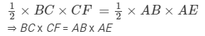
Area of a parallelogram = base × height.We have two altitudes and two corresponding bases. So,

RD Sharma Solutions (Part - 1) - Ex-20.3, Mensuration - I, Class 7, Math | RD Sharma Solutions for Class 7 Mathematics

RD Sharma Solutions (Part - 1) - Ex-20.3, Mensuration - I, Class 7, Math | RD Sharma Solutions for Class 7 Mathematics

Hence, the length of the shorter side BC AD = 36 cm.

 

Question 7:

In Fig. 21, ABCD is a parallelogram, DL ⊥ AB. If AB = 20 cm, AD = 13 cm and area of the parallelogram is 100 cm2, find AL.

RD Sharma Solutions (Part - 1) - Ex-20.3, Mensuration - I, Class 7, Math | RD Sharma Solutions for Class 7 Mathematics

Answer 7:

We have,
ABCD is a parallelogram with base AB = 20 cm and corresponding altitude DL.
It is given that the area of the parallelogram ABCD = 100 cm2
Now,
Area of a parallelogram = Base x Height
                     100 cm2  = ABDL
                     100 cm2  = 20 cm x DL

RD Sharma Solutions (Part - 1) - Ex-20.3, Mensuration - I, Class 7, Math | RD Sharma Solutions for Class 7 Mathematics

Again by Pythagoras theorem, we have,
    (AD)2 = (AL)+ (DL)2
⇒ (13)2  = (AL)2 + (5)2
⇒ (AL)= (13)- (5)2
                
  = 169 − 25 = 144
⇒ (AL)2 = (12)2    
⇒ AL = 12 cm
Hence. length of AL is 12 cm.

 

Question 8:

In Fig. 21, if AB = 35 cm, AD = 20 cm and area of the parallelogram is 560 cm2, find LB.

RD Sharma Solutions (Part - 1) - Ex-20.3, Mensuration - I, Class 7, Math | RD Sharma Solutions for Class 7 Mathematics

Answer 8:

We have,
ABCD is a parallelogram with base AB = 35 cm and corresponding altitude DL. The adjacent side of the parallelogram AD = 20 cm.
It is given that the area of the parallelogram ABCD = 560 cm2
Now,
Area of the parallelogram = Base x Height
                     560 cm2  = ABDL
                     560 cm2  = 35 cm x DL

RD Sharma Solutions (Part - 1) - Ex-20.3, Mensuration - I, Class 7, Math | RD Sharma Solutions for Class 7 Mathematics

Again by Pythagoras theorem, we have,
    (AD)2 = (AL)+ (DL)2
⇒ (20)2  = (AL)2 + (16)2
⇒ (AL)= (20)− (16)2
                
  = 400 − 256 = 144
⇒ (AL)2 = (12)2    
⇒ AL = 12 cm
From the figure,
AB = ALLB
35 cm = 12 cm + LB
 LB = 35 cm − 12 cm
          = 23 cm
Hence, length of LB is 23 cm.

 

Question 9:

The adjacent sides of a parallelogram are 10 m and 8 m. If the distance between the longer sides is 4 m, find the distance between the shorter sides.

Answer 9:

We have,
ABCD is a parallelogram with side AB = 10 m and corresponding altitude AE = 4 m.
The adjacent side AD  = 8 m and the corresponding altitude is CF.

RD Sharma Solutions (Part - 1) - Ex-20.3, Mensuration - I, Class 7, Math | RD Sharma Solutions for Class 7 Mathematics

Area of a parallelogram = Base × Height
We have two altitudes and two corresponding bases. So,
AD x CF = AB x AE
⇒ 8 m x CF = 10 m x 4 m 

RD Sharma Solutions (Part - 1) - Ex-20.3, Mensuration - I, Class 7, Math | RD Sharma Solutions for Class 7 Mathematics

Hence, the distance between the shorter sides is 5 m. 


Question 10:

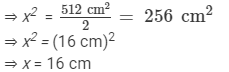
The base of a parallelogram is twice its height. If the area of the parallelogram is 512 cm2, find the base and height.

Answer 10:

Let the height of the parallelogram be x cm.
Then the base of the parallelogram is 2x cm.
It is given that the area of the parallelogram = 512 cm2
So,
Area of a parallelogram =  Base x Height
                        512 cm2 = 2xx
                        512 cm22x2


RD Sharma Solutions (Part - 1) - Ex-20.3, Mensuration - I, Class 7, Math | RD Sharma Solutions for Class 7 Mathematics

Hence, base = 2x 2 x 16 = 32 cm and height = = 16 cm.

The document RD Sharma Solutions (Part - 1) - Ex-20.3, Mensuration - I, Class 7, Math | RD Sharma Solutions for Class 7 Mathematics is a part of the Class 7 Course RD Sharma Solutions for Class 7 Mathematics.
All you need of Class 7 at this link: Class 7
97 docs

FAQs on RD Sharma Solutions (Part - 1) - Ex-20.3, Mensuration - I, Class 7, Math - RD Sharma Solutions for Class 7 Mathematics

1. What are the formulas for calculating the surface area of different 3D shapes?
Ans. The formulas for calculating the surface area of different 3D shapes are: - Cube: 6a^2, where 'a' is the length of the side - Cuboid: 2(lw + lh + wh), where 'l', 'w', and 'h' are the length, width, and height respectively - Cylinder: 2πrh + 2πr^2, where 'r' is the radius and 'h' is the height - Cone: πrl + πr^2, where 'r' is the radius and 'l' is the slant height - Sphere: 4πr^2, where 'r' is the radius
2. How do I calculate the volume of a sphere?
Ans. The formula to calculate the volume of a sphere is (4/3)πr^3, where 'r' is the radius of the sphere. To find the volume, you need to cube the radius, multiply it by 4/3, and then multiply it by the value of π (pi).
3. What is the difference between surface area and volume?
Ans. Surface area refers to the total area that covers the outside of a 3D shape, while volume refers to the amount of space occupied by the shape. Surface area is measured in square units, whereas volume is measured in cubic units.
4. How can I find the lateral surface area of a cone?
Ans. To find the lateral surface area of a cone, you need to calculate the curved surface area of the cone, excluding the base. The formula for the lateral surface area of a cone is πrl, where 'r' is the radius and 'l' is the slant height. Multiply the product of π and r by the slant height to find the lateral surface area.
5. Can you provide an example of calculating the volume of a cuboid?
Ans. Let's consider a cuboid with length (l) = 5 units, width (w) = 3 units, and height (h) = 4 units. The formula for calculating the volume of a cuboid is V = lwh. Substituting the given values, we get V = 5 * 3 * 4 = 60 cubic units. Therefore, the volume of the given cuboid is 60 cubic units.
Related Searches

RD Sharma Solutions (Part - 1) - Ex-20.3

,

Free

,

Previous Year Questions with Solutions

,

Math | RD Sharma Solutions for Class 7 Mathematics

,

Class 7

,

Extra Questions

,

Important questions

,

Mensuration - I

,

Class 7

,

Semester Notes

,

Viva Questions

,

Summary

,

MCQs

,

Exam

,

pdf

,

RD Sharma Solutions (Part - 1) - Ex-20.3

,

Class 7

,

Mensuration - I

,

shortcuts and tricks

,

RD Sharma Solutions (Part - 1) - Ex-20.3

,

Objective type Questions

,

Sample Paper

,

mock tests for examination

,

Math | RD Sharma Solutions for Class 7 Mathematics

,

study material

,

past year papers

,

Mensuration - I

,

video lectures

,

practice quizzes

,

Math | RD Sharma Solutions for Class 7 Mathematics

,

ppt

;