Class 9 Exam  >  Class 9 Notes  >  RD Sharma Solutions for Class 9 Mathematics  >  RD Sharma Solutions Ex-3.1, Rationalisation, Class 9, Maths

RD Sharma Solutions Ex-3.1, Rationalisation, Class 9, Maths | RD Sharma Solutions for Class 9 Mathematics PDF Download

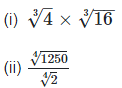
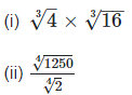
Q. 1. Simplify each of the following:

RD Sharma Solutions Ex-3.1, Rationalisation, Class 9, Maths | RD Sharma Solutions for Class 9 Mathematics

Sol:

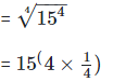
RD Sharma Solutions Ex-3.1, Rationalisation, Class 9, Maths | RD Sharma Solutions for Class 9 Mathematics
RD Sharma Solutions Ex-3.1, Rationalisation, Class 9, Maths | RD Sharma Solutions for Class 9 Mathematics
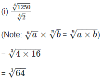
RD Sharma Solutions Ex-3.1, Rationalisation, Class 9, Maths | RD Sharma Solutions for Class 9 Mathematics

= 41

= 4

RD Sharma Solutions Ex-3.1, Rationalisation, Class 9, Maths | RD Sharma Solutions for Class 9 Mathematics
RD Sharma Solutions Ex-3.1, Rationalisation, Class 9, Maths | RD Sharma Solutions for Class 9 Mathematics
RD Sharma Solutions Ex-3.1, Rationalisation, Class 9, Maths | RD Sharma Solutions for Class 9 Mathematics

= 15


Q. 2. Simplify the following expressions:

RD Sharma Solutions Ex-3.1, Rationalisation, Class 9, Maths | RD Sharma Solutions for Class 9 Mathematics

Solution:

RD Sharma Solutions Ex-3.1, Rationalisation, Class 9, Maths | RD Sharma Solutions for Class 9 Mathematics

RD Sharma Solutions Ex-3.1, Rationalisation, Class 9, Maths | RD Sharma Solutions for Class 9 Mathematics
RD Sharma Solutions Ex-3.1, Rationalisation, Class 9, Maths | RD Sharma Solutions for Class 9 Mathematics


Q. 3. Simplify the following expressions:

RD Sharma Solutions Ex-3.1, Rationalisation, Class 9, Maths | RD Sharma Solutions for Class 9 Mathematics
RD Sharma Solutions Ex-3.1, Rationalisation, Class 9, Maths | RD Sharma Solutions for Class 9 Mathematics

Solution:

RD Sharma Solutions Ex-3.1, Rationalisation, Class 9, Maths | RD Sharma Solutions for Class 9 Mathematics

As we know, (a + b) (a - b) = (a2−b2)

So, 112 – 11

121 –11 = 110

RD Sharma Solutions Ex-3.1, Rationalisation, Class 9, Maths | RD Sharma Solutions for Class 9 Mathematics

As we know, (a + b) (a - b) = (a2−b2)

So, 52 – 7

25 – 7 = 18

RD Sharma Solutions Ex-3.1, Rationalisation, Class 9, Maths | RD Sharma Solutions for Class 9 Mathematics

As we know, (a + b) (a - b) = (a2−b2)

RD Sharma Solutions Ex-3.1, Rationalisation, Class 9, Maths | RD Sharma Solutions for Class 9 Mathematics

= 6

RD Sharma Solutions Ex-3.1, Rationalisation, Class 9, Maths | RD Sharma Solutions for Class 9 Mathematics

As we know, (a + b) (a - b) = (a2−b2)

RD Sharma Solutions Ex-3.1, Rationalisation, Class 9, Maths | RD Sharma Solutions for Class 9 Mathematics

= 6

RD Sharma Solutions Ex-3.1, Rationalisation, Class 9, Maths | RD Sharma Solutions for Class 9 Mathematics

As we know, (a + b) (a - b) = (a2−b2)

RD Sharma Solutions Ex-3.1, Rationalisation, Class 9, Maths | RD Sharma Solutions for Class 9 Mathematics

= 5 – 2

= 3


Q. 4. Simplify the following expressions:

RD Sharma Solutions Ex-3.1, Rationalisation, Class 9, Maths | RD Sharma Solutions for Class 9 Mathematics
Solution:

RD Sharma Solutions Ex-3.1, Rationalisation, Class 9, Maths | RD Sharma Solutions for Class 9 Mathematics

As we know ,  RD Sharma Solutions Ex-3.1, Rationalisation, Class 9, Maths | RD Sharma Solutions for Class 9 Mathematics

RD Sharma Solutions Ex-3.1, Rationalisation, Class 9, Maths | RD Sharma Solutions for Class 9 Mathematics
RD Sharma Solutions Ex-3.1, Rationalisation, Class 9, Maths | RD Sharma Solutions for Class 9 Mathematics

As we know, (a - b)2 = (a2−2×a×b+b2)

RD Sharma Solutions Ex-3.1, Rationalisation, Class 9, Maths | RD Sharma Solutions for Class 9 Mathematics

As we know, (a + b)2 = (a2+2×a×b+b2)

RD Sharma Solutions Ex-3.1, Rationalisation, Class 9, Maths | RD Sharma Solutions for Class 9 Mathematics

RD Sharma Solutions Ex-3.1, Rationalisation, Class 9, Maths | RD Sharma Solutions for Class 9 Mathematics

The document RD Sharma Solutions Ex-3.1, Rationalisation, Class 9, Maths | RD Sharma Solutions for Class 9 Mathematics is a part of the Class 9 Course RD Sharma Solutions for Class 9 Mathematics.
All you need of Class 9 at this link: Class 9
91 docs

FAQs on RD Sharma Solutions Ex-3.1, Rationalisation, Class 9, Maths - RD Sharma Solutions for Class 9 Mathematics

1. What is Rationalisation?
Ans. Rationalisation is the process of converting an irrational number or an expression with irrational terms into a rational number or an expression with rational terms by multiplying or dividing by a suitable rational number or expression.
2. Why do we need to rationalize denominators?
Ans. We need to rationalize denominators to simplify and make expressions or fractions easier to work with. It helps in performing mathematical operations more efficiently and accurately.
3. How do we rationalize the denominator of a fraction?
Ans. To rationalize the denominator of a fraction, we multiply both the numerator and denominator by a suitable expression so that the denominator becomes rational. This is usually done by multiplying the fraction by its conjugate.
4. What is the conjugate of a binomial expression?
Ans. The conjugate of a binomial expression is obtained by changing the sign of the second term. For example, the conjugate of (a + b) is (a - b).
5. Can we rationalize any irrational number?
Ans. Yes, we can rationalize any irrational number by multiplying it with its conjugate. However, it is important to note that rationalizing an irrational number does not change its value, but it makes the expression or number easier to work with.
Related Searches

Previous Year Questions with Solutions

,

Rationalisation

,

Class 9

,

RD Sharma Solutions Ex-3.1

,

practice quizzes

,

Extra Questions

,

Exam

,

Free

,

Summary

,

pdf

,

shortcuts and tricks

,

mock tests for examination

,

Maths | RD Sharma Solutions for Class 9 Mathematics

,

video lectures

,

Rationalisation

,

Sample Paper

,

Maths | RD Sharma Solutions for Class 9 Mathematics

,

RD Sharma Solutions Ex-3.1

,

Rationalisation

,

Class 9

,

Class 9

,

study material

,

Maths | RD Sharma Solutions for Class 9 Mathematics

,

past year papers

,

Objective type Questions

,

ppt

,

MCQs

,

Viva Questions

,

RD Sharma Solutions Ex-3.1

,

Important questions

,

Semester Notes

;