Class 8 Exam  >  Class 8 Notes  >  Mathematics (Maths) Class 8  >  RS Aggarwal Solutions: Exercise 2B - Exponents

RS Aggarwal Solutions: Exercise 2B - Exponents | Mathematics (Maths) Class 8 PDF Download

Q.1. Write each of the following numbers in standard form:

(i) 57.36

(ii) 3500000

(iii) 273000

(iv) 168000000

(v) 4630000000000

(vi) 345 × 105
Ans.
(i) 57.36 = 5.736 × 10
(ii) 3500000 = 3.5 × 106
(iii) 273000 = 2.73×105
(iv) 168000000 = 1.68 × 108
(v) 4630000000000=4.63 × 1012
(vi) 345 × 10= 3.45 × 107

Q.2. Write each of the following numbers in usual form:

(i) 3.74 × 105

(ii) 6.912 × 108

(iii) 4.1253 × 107

(iv) 2.5 × 104

(v) 5.17 × 106

(vi) 1.679 × 109
Ans.
(i)

RS Aggarwal Solutions: Exercise 2B - Exponents | Mathematics (Maths) Class 8
(ii)
RS Aggarwal Solutions: Exercise 2B - Exponents | Mathematics (Maths) Class 8
(iii)
RS Aggarwal Solutions: Exercise 2B - Exponents | Mathematics (Maths) Class 8
(iv)
RS Aggarwal Solutions: Exercise 2B - Exponents | Mathematics (Maths) Class 8
(v)
RS Aggarwal Solutions: Exercise 2B - Exponents | Mathematics (Maths) Class 8
(vi)
RS Aggarwal Solutions: Exercise 2B - Exponents | Mathematics (Maths) Class 8

Q.3. (i) The height of Mount Everest is 8848 m. Write it in standard form.

(ii) The speed of light is 300000000 m/sec. Express it in standard form.

(iii) The distance from the earth to the sun is 149600000000 m. Write it in standard form.
Ans.
(i) The height of the Mount Everest is 8848 m.

In standard form, we have:
8848=8.848×1000 m=8.848×103m.
(ii) The speed of light is 300000000 m/s.

In standard form, we have: 

300000000=3×100000000 m/s=3×10m/s

(iii) The Sun−Earth distance is 149600000000 m.

In standard form, we have: 149600000000=1496×100000000=1.496×1000×100000000=1.496×103×10= 1.496×1011m

Q.4. Mass of earth is (5.97 × 1024) kg and mass of moon is (7.35 × 1022) kg. What is the total mass of the two?
Ans.
Mass of the Earth = 5.97×1024 kg
Now, 5.97×1024=5.97×10(2+22)=5.97×102×1022=597×1022

So, the mass of the Earth can also be written as 597×1022 kg.
Mass of the Moon = 7.35×1022 kg
Sum of the masses of the Earth and the Moon:=(597×1022)+(7.35×1022)

(597+7.35)×1022=604.35×1022 kg
=6.0435×100×1022 =6.0435 × 102 × 1022 = 6.0435×10(2+22) = 6.0435×1024 kg

Q.5. Write each of the following numbers in standard form:
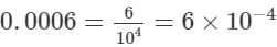
(i) 0.0006
(ii) 0.00000083
(iii) 0.0000000534
(iv) 0.0027
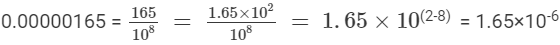
(v) 0.00000165
(vi) 0.00000000689

Ans.
(i)
RS Aggarwal Solutions: Exercise 2B - Exponents | Mathematics (Maths) Class 8
(ii)
RS Aggarwal Solutions: Exercise 2B - Exponents | Mathematics (Maths) Class 8
(iii)
RS Aggarwal Solutions: Exercise 2B - Exponents | Mathematics (Maths) Class 8

(iv)
RS Aggarwal Solutions: Exercise 2B - Exponents | Mathematics (Maths) Class 8
(v)
RS Aggarwal Solutions: Exercise 2B - Exponents | Mathematics (Maths) Class 8
(vi)
RS Aggarwal Solutions: Exercise 2B - Exponents | Mathematics (Maths) Class 8


Q.6.
(i) 1 micron =RS Aggarwal Solutions: Exercise 2B - Exponents | Mathematics (Maths) Class 8 m. Express it in standard form.

(ii) Size of a bacteria = 0.0000004 m. Express it in standard form.

(iii) Thickness of a paper = 0.03 mm. Express it in standard form.
Ans.
(i)
1 micron = RS Aggarwal Solutions: Exercise 2B - Exponents | Mathematics (Maths) Class 8m=1×10−6 m
(ii) 0.0000004 m = RS Aggarwal Solutions: Exercise 2B - Exponents | Mathematics (Maths) Class 8
(iii) Thickness of paper = 0.03 mm = RS Aggarwal Solutions: Exercise 2B - Exponents | Mathematics (Maths) Class 8(3×10−2) mm

Q.7. Write each of the following numbers in usual form:

(i) 2.06 × 10−5

(ii) 5 × 10−7

(iii) 6.82 × 10−6

(iv) 5.673 × 10−4

(v) 1.8 × 10−2

(vi) 4.129 × 10−3
Ans.
(i)
RS Aggarwal Solutions: Exercise 2B - Exponents | Mathematics (Maths) Class 8
(ii)
RS Aggarwal Solutions: Exercise 2B - Exponents | Mathematics (Maths) Class 8
(iii)
RS Aggarwal Solutions: Exercise 2B - Exponents | Mathematics (Maths) Class 8
(iv)
RS Aggarwal Solutions: Exercise 2B - Exponents | Mathematics (Maths) Class 8
(v)

RS Aggarwal Solutions: Exercise 2B - Exponents | Mathematics (Maths) Class 8
(vi)
RS Aggarwal Solutions: Exercise 2B - Exponents | Mathematics (Maths) Class 8

The document RS Aggarwal Solutions: Exercise 2B - Exponents | Mathematics (Maths) Class 8 is a part of the Class 8 Course Mathematics (Maths) Class 8.
All you need of Class 8 at this link: Class 8
81 videos|423 docs|31 tests
Related Searches

Summary

,

Extra Questions

,

Semester Notes

,

study material

,

pdf

,

RS Aggarwal Solutions: Exercise 2B - Exponents | Mathematics (Maths) Class 8

,

past year papers

,

Viva Questions

,

RS Aggarwal Solutions: Exercise 2B - Exponents | Mathematics (Maths) Class 8

,

Objective type Questions

,

practice quizzes

,

mock tests for examination

,

RS Aggarwal Solutions: Exercise 2B - Exponents | Mathematics (Maths) Class 8

,

Exam

,

shortcuts and tricks

,

ppt

,

Previous Year Questions with Solutions

,

Free

,

Important questions

,

video lectures

,

MCQs

,

Sample Paper

;