CA Foundation Exam  >  CA Foundation Notes  >  Quantitative Aptitude for CA Foundation  >  Relationship Between A.M. & G.M.

Relationship Between A.M. & G.M. | Quantitative Aptitude for CA Foundation PDF Download

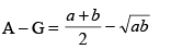
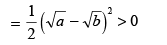
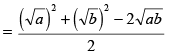
Let a and b be the two numbers.

Let A and G be the A. M. and G. M. respectively between a and b

Relationship Between A.M. & G.M. | Quantitative Aptitude for CA Foundation

Relationship Between A.M. & G.M. | Quantitative Aptitude for CA Foundation

Relationship Between A.M. & G.M. | Quantitative Aptitude for CA Foundation

Relationship Between A.M. & G.M. | Quantitative Aptitude for CA Foundation

∴ A > G

Example 1. The arithemetic mean between two numbers is 34 and their geometric meanis 16. Find the numbers.

Solution : Let the numbers be a and b.

Since A. M. between a and b is 34,

Relationship Between A.M. & G.M. | Quantitative Aptitude for CA Foundation  .....(1)

Since G. M. between a and b is 16,

∴  √ab = 16 or, ab = 256

we know that  (a – b)2 = (a + b)2 – 4 ab ......(2)

= (68)2 – 4 × 256
 = 4624 – 1024 = 3600

∴    a – b = √3600 = 60 ....... (3)

Adding (1) and (3), we get, 2a = 128

∴ a = 64

Subtracting (3) from (1), are get

2b = 8    or, b = 4

∴ Required numbers are 64 and 4.

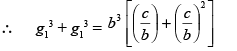
Example 2. The arithmetic mean between two quantities b and c is a and the twogeometric means between them are g1 and g2. Prove that

Relationship Between A.M. & G.M. | Quantitative Aptitude for CA Foundation

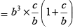
Solutions: The A. M. between b and c is a

  Relationship Between A.M. & G.M. | Quantitative Aptitude for CA Foundation

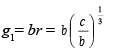
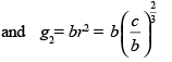
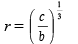
Again g1 and g2 are two G. M.'s between b and c

∴ b, g1, g2, c are in G. P.

If r be the common ratio, then

c = br3

or  Relationship Between A.M. & G.M. | Quantitative Aptitude for CA Foundation

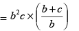
Relationship Between A.M. & G.M. | Quantitative Aptitude for CA Foundation

Relationship Between A.M. & G.M. | Quantitative Aptitude for CA Foundation

Relationship Between A.M. & G.M. | Quantitative Aptitude for CA Foundation

Relationship Between A.M. & G.M. | Quantitative Aptitude for CA Foundation

Relationship Between A.M. & G.M. | Quantitative Aptitude for CA Foundation

= bc (2a)  [since b + c = 2a]

= 2abc

Example 3. If one geometric mean G and two arithmetic means p and q be inserted between two quantities, show that : G2 = (2p – q) (2q – p) 

Solutions: Let the two quantities be a and b, then

G = √ab or, G2 = ab ...... (1)

Also p and q are two A. M.'s betweena and b

∴ a, p, q, b are in A. P. 

∴ p – a = q – p and q – p = b – q 

∴ a = 2p – q and b = 2q – p 

∴ G2 = ab = (2p – q) (2q – p)

Example 4. The product of first three terms of a G. P. is 1000. If we add 6 to its secondterm and 7 to its 3rd term, the three terms form an A. P. Find the terms of the G. P.

Solutions: Let t1 = a/r, t2 = a and t3 = ar be the first three terms of G. P.

Then, their product = a/r. a.ar = 1000 or a3 = 1000 or a = 10 

By the question, t1, t2 + 6, t3 + 7 are in A. P.   ...... (1)

i.e, a/r, a + 6, ar + 7 are in A.P.

∴ (a + 6) – a/r  = (ar + 7) – (a + 6)

or (a + 6)  = a/r +  (ar + 7)

or, 2(10+6) = 10/r + (10r + 7)

or, 32r = 10 + 10 r2 + 7r

or, 10r2 – 25r + 10 = 0

Relationship Between A.M. & G.M. | Quantitative Aptitude for CA Foundation  = 2, 1/2

When a = 10, r = 2. then the terms are 10/2, 10(2) i.e. 5,10,20

When a = 10, r =  1/2, then the terms are 10(2), 10, 10(1/2)

i.e., 20, 10, 5

The document Relationship Between A.M. & G.M. | Quantitative Aptitude for CA Foundation is a part of the CA Foundation Course Quantitative Aptitude for CA Foundation.
All you need of CA Foundation at this link: CA Foundation
101 videos|209 docs|89 tests

FAQs on Relationship Between A.M. & G.M. - Quantitative Aptitude for CA Foundation

1. What is the relationship between Arithmetic Mean (A.M.) and Geometric Mean (G.M.) in the context of CA Foundation?
Ans. In the context of CA Foundation, Arithmetic Mean (A.M.) and Geometric Mean (G.M.) are two mathematical concepts used to analyze data. A.M. is the average of a set of numbers, obtained by dividing the sum of all the numbers by the total count of numbers. On the other hand, G.M. is the nth root of the product of n numbers. The relationship between A.M. and G.M. is that for any set of positive numbers, the G.M. is always less than or equal to the A.M. of the same set of numbers.
2. How are A.M. and G.M. calculated in the CA Foundation exam?
Ans. In the CA Foundation exam, A.M. is calculated by summing up all the numbers in a set and dividing the sum by the total count of numbers. For example, if we have a set of numbers {2, 4, 6}, the A.M. would be (2+4+6)/3 = 4. G.M. is calculated by multiplying all the numbers in a set and then taking the nth root of the product, where n is the total count of numbers. Using the same set of numbers {2, 4, 6}, the G.M. would be the cube root of (2*4*6) = ∛(48) = 3.30193 (approximated to 5 decimal places).
3. How can the relationship between A.M. and G.M. be used in the CA Foundation exam?
Ans. The relationship between A.M. and G.M. is often used to analyze data and make comparisons. In the CA Foundation exam, it can be used to determine the average value of a set of numbers (A.M.) and assess whether the numbers in the set are evenly distributed or not (by comparing the A.M. and G.M.). If the G.M. is significantly smaller than the A.M., it indicates that there are some lower values in the set that are bringing down the overall average.
4. Can you provide an example where A.M. and G.M. have different values?
Ans. Yes, consider a set of numbers {2, 3, 4, 5, 6}. The A.M. would be (2+3+4+5+6)/5 = 4. The G.M. would be the fifth root of (2*3*4*5*6) = ∜(720) = 4.326748 (approximated to 6 decimal places). In this example, the A.M. is 4, whereas the G.M. is approximately 4.326748, showing that the G.M. is greater than the A.M.
5. What is the significance of the relationship between A.M. and G.M. in the CA Foundation exam?
Ans. The relationship between A.M. and G.M. is significant in the CA Foundation exam as it helps in understanding the distribution of data and identifying any outliers. If the G.M. is significantly smaller than the A.M., it indicates that there are relatively lower values in the set, which can impact the overall average. This relationship can be used in various statistical analyses to draw meaningful conclusions and make informed decisions based on the data provided.
Related Searches

video lectures

,

pdf

,

mock tests for examination

,

Important questions

,

Free

,

Summary

,

Exam

,

Objective type Questions

,

Semester Notes

,

shortcuts and tricks

,

study material

,

Relationship Between A.M. & G.M. | Quantitative Aptitude for CA Foundation

,

practice quizzes

,

Sample Paper

,

ppt

,

Relationship Between A.M. & G.M. | Quantitative Aptitude for CA Foundation

,

Extra Questions

,

MCQs

,

Relationship Between A.M. & G.M. | Quantitative Aptitude for CA Foundation

,

past year papers

,

Previous Year Questions with Solutions

,

Viva Questions

;