JEE Exam  >  JEE Notes  >  Physics for JEE Main & Advanced  >  Resolution, Addition & Subtraction of Vectors

Resolution, Addition & Subtraction of Vectors | Physics for JEE Main & Advanced PDF Download

Resolution of Vectors

A vector in a 2-D space can be expressed as the sum of its components along the x and y axes. This is known as resolution of a vector.

  •  Consider the vector "Resolution, Addition & Subtraction of Vectors | Physics for JEE Main & Advanced" on an X-Y plane.
  • By drawing and constructing, we form a parallelogram, applying the Parallelogram Law of Vector Addition. This yields two vectors, 
    Resolution, Addition & Subtraction of Vectors | Physics for JEE Main & Advancedx, and Resolution, Addition & Subtraction of Vectors | Physics for JEE Main & Advancedy, which are the components of the original vector Resolution, Addition & Subtraction of Vectors | Physics for JEE Main & Advanced.

Resolution, Addition & Subtraction of Vectors | Physics for JEE Main & AdvancedRepresenting Vector on X-Y Plane

  • To find the magnitudes of these components, we use trigonometry. The x-component (Resolution, Addition & Subtraction of Vectors | Physics for JEE Main & Advancedx) is the magnitude of Resolution, Addition & Subtraction of Vectors | Physics for JEE Main & Advanced times the cosine of the angle (θ), while the y-component (Resolution, Addition & Subtraction of Vectors | Physics for JEE Main & Advancedy) is the magnitude of Resolution, Addition & Subtraction of Vectors | Physics for JEE Main & Advanced times the sine of θ.
  • The subtended angle touches one component, and the other is automatically determined.
  • In coordinate systems, unit vectors î, ĵ, and k̂ represent X, Y, and Z axes. These unit vectors have a magnitude of 1. Expressing a vector in component form involves multiplying its magnitude by the cosine or sine of the angle, depending on the axis, and then attaching the corresponding unit vector.

Resolution, Addition & Subtraction of Vectors | Physics for JEE Main & AdvancedComponents of a Vector

  • In simple terms, a vector a can be expressed as a sum of its x and y components: Resolution, Addition & Subtraction of Vectors | Physics for JEE Main & Advancedx = |Resolution, Addition & Subtraction of Vectors | Physics for JEE Main & Advanced| cos θ î and Resolution, Addition & Subtraction of Vectors | Physics for JEE Main & Advancedy = |Resolution, Addition & Subtraction of Vectors | Physics for JEE Main & Advanced| sin θ ĵ. Therefore, Resolution, Addition & Subtraction of Vectors | Physics for JEE Main & Advanced = Resolution, Addition & Subtraction of Vectors | Physics for JEE Main & Advancedx + Resolution, Addition & Subtraction of Vectors | Physics for JEE Main & Advancedy can be written as (Resolution, Addition & Subtraction of Vectors | Physics for JEE Main & Advancedx cos θ ) î + (Resolution, Addition & Subtraction of Vectors | Physics for JEE Main & Advancedsin θ ) ĵ in component form.

Ex 1. A ball is thrown with an initial velocity of 70 feet per second., at an angle of 35° with the horizontal. Find the vertical and horizontal components of the velocity.

Ans. Let v represent the velocity and use the given information to write v in unit vector form:

v =70 cos(35°)î +70 sin(35°)ĵ

Simplify the scalars, we get: 

v ≈ 57.34 î + 40.15 ĵ

Since the scalars are the horizontal and vertical components of v,

Therefore, the horizontal component is 57.34 feet per second and the vertical component is 40.15 feet per second.

Rectangular Components of a Vector in 3D

When a vector Resolution, Addition & Subtraction of Vectors | Physics for JEE Main & Advanced is drawn in 3D space, it can make angles with the X, Y, and Z axes.Resolution, Addition & Subtraction of Vectors | Physics for JEE Main & Advanced

  • Let these angles be α, β, γ.
  • The vector is written as: Resolution, Addition & Subtraction of Vectors | Physics for JEE Main & Advanced

Components of the Vector

The vector Resolution, Addition & Subtraction of Vectors | Physics for JEE Main & Advanced can be split into three parts:

  • Along X-axis:Resolution, Addition & Subtraction of Vectors | Physics for JEE Main & Advanced

  • Along Y-axis:Resolution, Addition & Subtraction of Vectors | Physics for JEE Main & Advanced

  • Along Z-axis:Resolution, Addition & Subtraction of Vectors | Physics for JEE Main & Advanced

So, 

Resolution, Addition & Subtraction of Vectors | Physics for JEE Main & Advanced

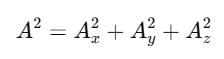
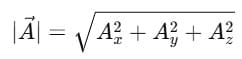
Magnitude of the Vector

Using Pythagoras' theorem in 3D:Resolution, Addition & Subtraction of Vectors | Physics for JEE Main & Advanced

So, Resolution, Addition & Subtraction of Vectors | Physics for JEE Main & Advanced

This gives the length (magnitude) of the vector.

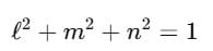
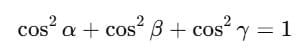
Direction Cosines
The values cosα, cosβ, cosγ are called the direction cosines of the vector Resolution, Addition & Subtraction of Vectors | Physics for JEE Main & AdvancedThey tell us how much the vector is inclined towards each axis.

A very important result is:

Resolution, Addition & Subtraction of Vectors | Physics for JEE Main & Advanced

Or, in terms of ℓ, m, n:

Resolution, Addition & Subtraction of Vectors | Physics for JEE Main & Advanced\cos^2 \alpha + \cos^2 \beta + \cos^2 \gamma = 1

Addition of Vectors

In vectors, both magnitude and direction matter, therefore, the process of addition differs from simple algebraic addition. 

Here are some crucial points regarding vector addition:

  • The addition or composition of vectors means finding the resultant of many vectors acting on a body.
  • Geometric Addition: Vectors are combined geometrically, considering both magnitude and direction.
  • Independence: Vectors undergoing addition behave independently of each other as if the presence of one does not affect the behavior of the other.

Ex 2. Find the addition of vectors PQ and QR, where PQ = (3, 4) and QR = (2, 6).
Ans. We will perform the vector addition by adding their corresponding components
PQ + QR = (3, 4) + (2, 6)
= (3 + 2, 4 + 6)
= (5, 10). 

Graphical Representation of Vector Addition

To visualize the sum of vectors a and b (i.e., a + b), one can shift vector b so that its initial point coincides with the terminal point of vector a. The resulting vector, starting from the initial point of a to the terminal point of b, represents the sum a + b.

Resolution, Addition & Subtraction of Vectors | Physics for JEE Main & AdvancedGraphical Representation of Vector Addition

1. Triangle’s Law of Vector Addition

It states that if two vectors A and B are represented by two sides of a triangle, taken in the same order, then their resultant is represented by the third side of the triangle, taken in the opposite order. Mathematically, this is expressed as A + B = C.

Resolution, Addition & Subtraction of Vectors | Physics for JEE Main & AdvancedTriangle Law of Vector Addition

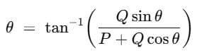
 2. Parallelogram Addition of Vectors

It states that if two vectors P and Q are represented by two adjacent sides of a parallelogram, both pointing outwards, then their resultant is given by the diagonal drawn through the intersection of the two vectors. 

  • The magnitude and direction of the resultant can be calculated using specific formulas.Resolution, Addition & Subtraction of Vectors | Physics for JEE Main & Advanced
    Parallelogram Addition of Vectors
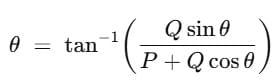
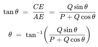
  • When combining two vectors using the parallelogram method, the magnitude of the resulting vector (R) is determined by the formula: (AC)2 = (AE)2 + (EC)
    or R2 = (P + Q cos θ)2 + (Q sin θ)2   
    or R = √(P2+ Q2 )+ 2PQcos θ 
  • This formula essentially relates the lengths of the vectors involved (P and Q) and the angle (θ) between them.
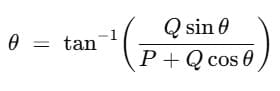
  • The direction of the resulting vector, relative to vector P, is given by: 
    Resolution, Addition & Subtraction of Vectors | Physics for JEE Main & Advanced

Question for Resolution, Addition & Subtraction of Vectors
Try yourself:What is the formula for finding the magnitude of the resulting vector when two vectors are added using the parallelogram method?
View Solution

Special Cases in Vector Addition

(a) When θ = 0°, cos θ = 1, sin θ = 0°

Substituting for cos θ in equation R = √(P2+ Q2 )+ 2PQcos θ, we get,

R = √(P2+ Q2 )+ 2PQcos θ

   = (P+ Q)2

or R = P+Q (maximum)

Substituting for sin θ  and cos θ  in equation Resolution, Addition & Subtraction of Vectors | Physics for JEE Main & Advanced, we get,

Resolution, Addition & Subtraction of Vectors | Physics for JEE Main & Advanced

 = 0°

The resultant of two vectors acting in the same direction is equal to the sum of the two. The direction of the resultant coincides with those of the two vectors.

(b) When θ = 180°, cos θ = -1, sin θ = 0°

Substituting for cos θ in equation R = √(P2+ Q2 )+ 2PQcos θ, we get,

R = √(P2+ Q2 )+ 2PQ(-1)

  =√P2+ Q22PQ

   = (P –  Q)(minimum)

or R = P – Q (minimum)

Substituting for sin θ  and cos θ  in equation Resolution, Addition & Subtraction of Vectors | Physics for JEE Main & Advanced, we get,

Resolution, Addition & Subtraction of Vectors | Physics for JEE Main & Advanced

 = 0°

This magnitude of the resultant of two vectors acting in opposite directions is equal to the difference in magnitudes of the two and represents the minimum value. The direction of the resultant is in the direction of the bigger one.

 (c) When  θ = 90°, cos θ = 0 , sin θ = 1

Substituting for cos θ in equation R = √(P2+ Q2 )+ 2PQcos θ, we get,

R = √(P2+ Q2 )+ (2PQ×0)

   = √P2+ Q2 
Substituting for sin θ and cos θ in equation Resolution, Addition & Subtraction of Vectors | Physics for JEE Main & Advanced, we get,

Resolution, Addition & Subtraction of Vectors | Physics for JEE Main & Advanced

The resultant of two vectors acting at right angles to each other is equal to the square root of the sum of the squares of the magnitudes of the two vectors. The direction of the resultant depends upon their relative magnitudes. 

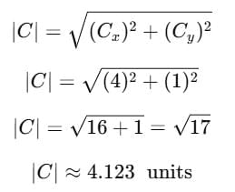
Ex 3. Two vectors are given along with their components: A = (2,3) and B = (2,-2). Calculate the magnitude and the angle of the sum C using their components.
Ans. Let us represent the components of the given vectors as: In the vector A, Ax = 2 and Ay= 3

In the vector B, B= 2 and By = -2

Now, adding the two vectors,
A + B = (2, 3) + (2, -2) = (4, 1)
It can also be written as:
C = (4, 1)
Here in C, C= 4 and Cy = 1
The magnitude of the resultant vector C can be calculated as:
Resolution, Addition & Subtraction of Vectors | Physics for JEE Main & AdvancedThe angle can be calculated as follows:
Resolution, Addition & Subtraction of Vectors | Physics for JEE Main & AdvancedResolution, Addition & Subtraction of Vectors | Physics for JEE Main & Advanced

Vector Subtraction

Vector subtraction is a process equivalent to adding the negative of the vector to be subtracted. For instance, if subtracting vector B from vector A, it is essentially the same as adding -B to A.

Resolution, Addition & Subtraction of Vectors | Physics for JEE Main & AdvancedVector Subtraction

Properties of Vector Addition

The properties of vector addition further enhance its utility:

  • Commutative: The order of vectors in addition does not influence the result, showcasing the commutative property.

Resolution, Addition & Subtraction of Vectors | Physics for JEE Main & Advanced

  • Associative: While adding three or more vectors, the grouping of vectors does not affect the result, demonstrating the associative property.

Resolution, Addition & Subtraction of Vectors | Physics for JEE Main & Advanced

  • Distributive: Scalar multiplication distributes over vector addition, offering a convenient mathematical feature.

These properties make vector addition a versatile and powerful operation, applicable in various mathematical and physical scenarios.

Question for Resolution, Addition & Subtraction of Vectors
Try yourself:
What is the magnitude and direction of the resultant vector when two vectors of equal magnitude act in the same direction?
View Solution

The document Resolution, Addition & Subtraction of Vectors | Physics for JEE Main & Advanced is a part of the JEE Course Physics for JEE Main & Advanced.
All you need of JEE at this link: JEE
268 videos|780 docs|209 tests

FAQs on Resolution, Addition & Subtraction of Vectors - Physics for JEE Main & Advanced

1. What is the graphical method of vector addition?
Ans.The graphical method of vector addition involves representing vectors as arrows on a graph. The length of the arrow represents the magnitude of the vector, and the direction of the arrow represents its direction. To add two vectors, you can place them tip to tail. The resultant vector is drawn from the tail of the first vector to the tip of the second vector. This method is particularly useful for visualizing the addition of two or more vectors.
2. How do you resolve a vector into its components?
Ans.To resolve a vector into its components, you can use trigonometric functions. For a vector \( \vec{A} \) with magnitude \( A \) at an angle \( \theta \) from the horizontal axis, the horizontal component \( A_x \) can be found using \( A_x = A \cos(\theta) \) and the vertical component \( A_y \) can be found using \( A_y = A \sin(\theta) \). This allows you to analyze the vector in two perpendicular directions, typically the x and y axes.
3. What are the special cases in vector addition?
Ans.Special cases in vector addition include the addition of two vectors in the same direction, which results in a vector equal to the sum of their magnitudes, and the addition of two vectors in opposite directions, which results in a vector equal to the difference of their magnitudes in the direction of the larger vector. When two vectors are perpendicular to each other, the resultant vector can be found using the Pythagorean theorem.
4. How is vector subtraction performed?
Ans.Vector subtraction is performed by adding the negative of the vector to be subtracted. Mathematically, if you want to subtract vector \( \vec{B} \) from vector \( \vec{A} \), you can express this as \( \vec{A} - \vec{B} = \vec{A} + (-\vec{B}) \). Graphically, this involves reversing the direction of vector \( \vec{B} \) and then using the tip-to-tail method to find the resultant vector.
5. What are the properties of vector addition?
Ans.The properties of vector addition include commutativity (i.e., \( \vec{A} + \vec{B} = \vec{B} + \vec{A} \)), associativity (i.e., \( \vec{A} + (\vec{B} + \vec{C}) = (\vec{A} + \vec{B}) + \vec{C} \)), and the existence of a zero vector (i.e., \( \vec{A} + \vec{0} = \vec{A} \)). Additionally, each vector has an inverse such that \( \vec{A} + (-\vec{A}) = \vec{0} \). These properties are fundamental in vector algebra.
Related Searches

Exam

,

Semester Notes

,

Resolution

,

Important questions

,

Resolution

,

Summary

,

MCQs

,

ppt

,

Addition & Subtraction of Vectors | Physics for JEE Main & Advanced

,

study material

,

Objective type Questions

,

Addition & Subtraction of Vectors | Physics for JEE Main & Advanced

,

Previous Year Questions with Solutions

,

Viva Questions

,

Extra Questions

,

pdf

,

Resolution

,

practice quizzes

,

Addition & Subtraction of Vectors | Physics for JEE Main & Advanced

,

Free

,

shortcuts and tricks

,

Sample Paper

,

video lectures

,

mock tests for examination

,

past year papers

;