Electrical Engineering (EE) Exam  >  Electrical Engineering (EE) Notes  >  Basic Electrical Technology  >  Resonance in Series & Parallel Circuits

Resonance in Series & Parallel Circuits | Basic Electrical Technology - Electrical Engineering (EE) PDF Download

Resonance in Series and Parallel Circuits 

Series circuit

Resonance in Series & Parallel Circuits | Basic Electrical Technology - Electrical Engineering (EE)

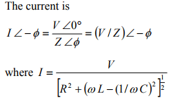
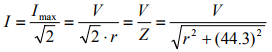
The circuit, with resistance R, inductance L, and a capacitor, C in series (Fig. 17.1a) is connected to a single phase variable frequency (f) supply.

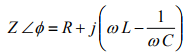
The total impedance of the circuit is Resonance in Series & Parallel Circuits | Basic Electrical Technology - Electrical Engineering (EE)

Resonance in Series & Parallel Circuits | Basic Electrical Technology - Electrical Engineering (EE)

Resonance in Series & Parallel Circuits | Basic Electrical Technology - Electrical Engineering (EE)
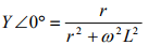
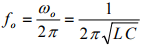
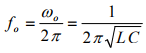
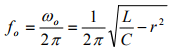
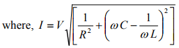
The current in the circuit is maximum, if Resonance in Series & Parallel Circuits | Basic Electrical Technology - Electrical Engineering (EE) The frequency under the above condition is  Resonance in Series & Parallel Circuits | Basic Electrical Technology - Electrical Engineering (EE)

This condition under the magnitude of the current is maximum, or the magnitude of the impedance is minimum, is called resonance. The frequency under this condition with the constant values of inductance L, and capacitance C, is called resonant frequency. If the capacitance is variable, and the frequency, f is kept constant, the value of the capacitance needed to produce this condition is

Resonance in Series & Parallel Circuits | Basic Electrical Technology - Electrical Engineering (EE)
The magnitude of the impedance under the above condition is  Resonance in Series & Parallel Circuits | Basic Electrical Technology - Electrical Engineering (EE) with the reactance Resonance in Series & Parallel Circuits | Basic Electrical Technology - Electrical Engineering (EE) as the inductive reactance Resonance in Series & Parallel Circuits | Basic Electrical Technology - Electrical Engineering (EE) is equal to capacitive reactance   Resonance in Series & Parallel Circuits | Basic Electrical Technology - Electrical Engineering (EE) The phase angle is Resonance in Series & Parallel Circuits | Basic Electrical Technology - Electrical Engineering (EE) , and the power factor is unity  Resonance in Series & Parallel Circuits | Basic Electrical Technology - Electrical Engineering (EE) which means that the current is in phase with the input (supply) voltage.. So, the magnitude of the current Resonance in Series & Parallel Circuits | Basic Electrical Technology - Electrical Engineering (EE) in the circuit is only limited by resistance, R. The phasor diagram is shown in Fig. 17.1b.

The magnitude of the voltage drop in the inductance L/capacitance C (both are equal, as the reactance are equal) is Resonance in Series & Parallel Circuits | Basic Electrical Technology - Electrical Engineering (EE)

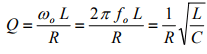
The magnification of the voltage drop as a ratio of the input (supply) voltage is 

Resonance in Series & Parallel Circuits | Basic Electrical Technology - Electrical Engineering (EE)

Resonance in Series & Parallel Circuits | Basic Electrical Technology - Electrical Engineering (EE)

It is termed as Quality (Q) factor of the coil. The impedance of the circuit with the constant values of inductance L, and capacitance C is minimum at resonant frequency Resonance in Series & Parallel Circuits | Basic Electrical Technology - Electrical Engineering (EE)and increases as the frequency is changed, i.e. increased or decreased, from the above frequency. The current is maximum at Resonance in Series & Parallel Circuits | Basic Electrical Technology - Electrical Engineering (EE) and decreases as frequency is changed Resonance in Series & Parallel Circuits | Basic Electrical Technology - Electrical Engineering (EE)  The variation of current in the circuit having a known value of capacitance with a variable frequency supply is shown in Fig. 17.2.

Resonance in Series & Parallel Circuits | Basic Electrical Technology - Electrical Engineering (EE)Resonance in Series & Parallel Circuits | Basic Electrical Technology - Electrical Engineering (EE)

Fig. 17.2 Variation of current under variable frequency supply 

The maximum value of the current is (V/R). If the magnitude of the current is reduced to  Resonance in Series & Parallel Circuits | Basic Electrical Technology - Electrical Engineering (EE) of its maximum value, the power consumed in R will be half of that with the maximum current, as power is I2 R . So, these points are termed as half power points. If the two frequencies are taken as Resonance in Series & Parallel Circuits | Basic Electrical Technology - Electrical Engineering (EE) where Resonance in Series & Parallel Circuits | Basic Electrical Technology - Electrical Engineering (EE) and Resonance in Series & Parallel Circuits | Basic Electrical Technology - Electrical Engineering (EE) , the band width being given by Resonance in Series & Parallel Circuits | Basic Electrical Technology - Electrical Engineering (EE)
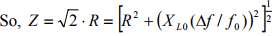
The magnitude of the impedance with the two frequencies is 

Resonance in Series & Parallel Circuits | Basic Electrical Technology - Electrical Engineering (EE)

Resonance in Series & Parallel Circuits | Basic Electrical Technology - Electrical Engineering (EE) and the ratio Resonance in Series & Parallel Circuits | Basic Electrical Technology - Electrical Engineering (EE) is small, the magnitude of the reactance of the circuit at these frequencies is  Resonance in Series & Parallel Circuits | Basic Electrical Technology - Electrical Engineering (EE) As the current is Resonance in Series & Parallel Circuits | Basic Electrical Technology - Electrical Engineering (EE) of its maximum value, the magnitude of the impedance is  Resonance in Series & Parallel Circuits | Basic Electrical Technology - Electrical Engineering (EE)  of its minimum value (R) at resonant frequency.

Resonance in Series & Parallel Circuits | Basic Electrical Technology - Electrical Engineering (EE)
From the above, it can be obtained that Resonance in Series & Parallel Circuits | Basic Electrical Technology - Electrical Engineering (EE)
Resonance in Series & Parallel Circuits | Basic Electrical Technology - Electrical Engineering (EE)
The band width is given by  Resonance in Series & Parallel Circuits | Basic Electrical Technology - Electrical Engineering (EE)

It can be observed that, to improve the quality factor (Q) of a coil, it must be designed to have its resistance, R as low as possible. This also results in reduction of band width and losses (for same value of current). But if the resistance, R cannot be decreased, then Q will decrease, and also both band width and losses will increase.

Example 17.1 

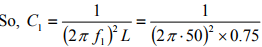
A constant voltage of frequency, 1 MHz is applied to a lossy inductor (r in series with L), in series with a variable capacitor, C (Fig. 17.3). The current drawn is maximum, when C = 400 pF; while current is reduced to  Resonance in Series & Parallel Circuits | Basic Electrical Technology - Electrical Engineering (EE) of the above value, when C = 450 pF. Find the values of r and L. Calculate also the quality factor of the coil, and the bandwidth.

Resonance in Series & Parallel Circuits | Basic Electrical Technology - Electrical Engineering (EE)

Solution 

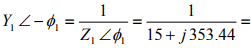
Resonance in Series & Parallel Circuits | Basic Electrical Technology - Electrical Engineering (EE)Resonance in Series & Parallel Circuits | Basic Electrical Technology - Electrical Engineering (EE)Resonance in Series & Parallel Circuits | Basic Electrical Technology - Electrical Engineering (EE)

Resonance in Series & Parallel Circuits | Basic Electrical Technology - Electrical Engineering (EE)Resonance in Series & Parallel Circuits | Basic Electrical Technology - Electrical Engineering (EE)
Resonance in Series & Parallel Circuits | Basic Electrical Technology - Electrical Engineering (EE)Resonance in Series & Parallel Circuits | Basic Electrical Technology - Electrical Engineering (EE)
Resonance in Series & Parallel Circuits | Basic Electrical Technology - Electrical Engineering (EE)Resonance in Series & Parallel Circuits | Basic Electrical Technology - Electrical Engineering (EE)
Resonance in Series & Parallel Circuits | Basic Electrical Technology - Electrical Engineering (EE)Resonance in Series & Parallel Circuits | Basic Electrical Technology - Electrical Engineering (EE)
Resonance in Series & Parallel Circuits | Basic Electrical Technology - Electrical Engineering (EE)
Resonance in Series & Parallel Circuits | Basic Electrical Technology - Electrical Engineering (EE)

The quality factor of the coil is  Resonance in Series & Parallel Circuits | Basic Electrical Technology - Electrical Engineering (EE)

The band with is

Resonance in Series & Parallel Circuits | Basic Electrical Technology - Electrical Engineering (EE)Resonance in Series & Parallel Circuits | Basic Electrical Technology - Electrical Engineering (EE)
Resonance in Series & Parallel Circuits | Basic Electrical Technology - Electrical Engineering (EE)

Parallel circuit

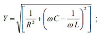
The circuit, with resistance R, inductance L, and a capacitor, C in parallel (Fig. 17.4a) is connected to a single phase variable frequency (f) supply. The total admittance of the circuit is

Resonance in Series & Parallel Circuits | Basic Electrical Technology - Electrical Engineering (EE)
Resonance in Series & Parallel Circuits | Basic Electrical Technology - Electrical Engineering (EE)
Resonance in Series & Parallel Circuits | Basic Electrical Technology - Electrical Engineering (EE)Resonance in Series & Parallel Circuits | Basic Electrical Technology - Electrical Engineering (EE)
Resonance in Series & Parallel Circuits | Basic Electrical Technology - Electrical Engineering (EE)

The current is

Resonance in Series & Parallel Circuits | Basic Electrical Technology - Electrical Engineering (EE)Resonance in Series & Parallel Circuits | Basic Electrical Technology - Electrical Engineering (EE)
Resonance in Series & Parallel Circuits | Basic Electrical Technology - Electrical Engineering (EE)

The current in the circuit is minimum, if  Resonance in Series & Parallel Circuits | Basic Electrical Technology - Electrical Engineering (EE)
Resonance in Series & Parallel Circuits | Basic Electrical Technology - Electrical Engineering (EE)
Resonance in Series & Parallel Circuits | Basic Electrical Technology - Electrical Engineering (EE)

This condition under which the magnitude of the total (supply) current is minimum, or the magnitude of the admittance is minimum (which means that the impedance is maximum), is called resonance. It may be noted that, for parallel circuit, the current or admittance is minimum (the impedance being maximum), while for series circuit, the current is maximum (the impedance being minimum). The frequency under this condition with the constant values of inductance L, and capacitance C, is called resonant frequency. If the capacitance is variable, and the frequency, f is kept constant, the value of the capacitance needed to produce this condition is 

Resonance in Series & Parallel Circuits | Basic Electrical Technology - Electrical Engineering (EE)

The magnitude of the impedance under the above condition is Resonance in Series & Parallel Circuits | Basic Electrical Technology - Electrical Engineering (EE) while the magnitude of the admittance is Resonance in Series & Parallel Circuits | Basic Electrical Technology - Electrical Engineering (EE) The reactive part of the admittance is B = 0 as the susceptance (inductive) Resonance in Series & Parallel Circuits | Basic Electrical Technology - Electrical Engineering (EE) is equal to the susceptance (capacitive) Resonance in Series & Parallel Circuits | Basic Electrical Technology - Electrical Engineering (EE) The phase angle is Resonance in Series & Parallel Circuits | Basic Electrical Technology - Electrical Engineering (EE) and the power factor is unity Resonance in Series & Parallel Circuits | Basic Electrical Technology - Electrical Engineering (EE) The total (supply) current is phase with the input voltage. So, the magnitude of the total current Resonance in Series & Parallel Circuits | Basic Electrical Technology - Electrical Engineering (EE) in the circuit is only limited by resistance R. The phasor diagram is shown in Fig. 17.4b.

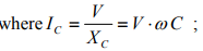
The magnitude of the current in the inductance, L / capacitance, C (both are equal, as the reactance are equal), is Resonance in Series & Parallel Circuits | Basic Electrical Technology - Electrical Engineering (EE) This may be termed as the circulating current in the circuit with only inductance and capacitance, the magnitude of which is

Resonance in Series & Parallel Circuits | Basic Electrical Technology - Electrical Engineering (EE)
substituting the value of  Resonance in Series & Parallel Circuits | Basic Electrical Technology - Electrical Engineering (EE) This circulating current is smaller in magnitude than the input current or the current in the resistance as Resonance in Series & Parallel Circuits | Basic Electrical Technology - Electrical Engineering (EE)

The input current increases as the frequency is changed, i.e. increased or decreased from the resonant frequency Resonance in Series & Parallel Circuits | Basic Electrical Technology - Electrical Engineering (EE)

In the two cases of series and parallel circuits described earlier, all components, including the inductance, are assumed to be ideal, which means that the inductance is lossless, having no resistance. But, in actual case, specially with an iron-cored choke coil, normally a resistance r is assumed to be in series with the inductance L, to take care of the winding resistance and also the iron loss in the core. In an air-cored coil, the winding resistance may be small and no loss occurs in the air core. An iron-cored choke coil is connected in parallel to capacitance, and the combination is fed to an ac supply (Fig. 17.5a).

Resonance in Series & Parallel Circuits | Basic Electrical Technology - Electrical Engineering (EE)

The total admittance of the circuit is

Resonance in Series & Parallel Circuits | Basic Electrical Technology - Electrical Engineering (EE)

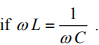
If the magnitude of the admittance is to be minimum, then

Resonance in Series & Parallel Circuits | Basic Electrical Technology - Electrical Engineering (EE)

The frequency is

Resonance in Series & Parallel Circuits | Basic Electrical Technology - Electrical Engineering (EE)

This is the resonant frequency. The total admittance is  Resonance in Series & Parallel Circuits | Basic Electrical Technology - Electrical Engineering (EE)
The total impedance is Resonance in Series & Parallel Circuits | Basic Electrical Technology - Electrical Engineering (EE)
Resonance in Series & Parallel Circuits | Basic Electrical Technology - Electrical Engineering (EE)Resonance in Series & Parallel Circuits | Basic Electrical Technology - Electrical Engineering (EE)
This current is at unity power factor with φ = 0°. The total current can be written as
Resonance in Series & Parallel Circuits | Basic Electrical Technology - Electrical Engineering (EE)Resonance in Series & Parallel Circuits | Basic Electrical Technology - Electrical Engineering (EE)
So, the condition is  Resonance in Series & Parallel Circuits | Basic Electrical Technology - Electrical Engineering (EE)
Resonance in Series & Parallel Circuits | Basic Electrical Technology - Electrical Engineering (EE)Resonance in Series & Parallel Circuits | Basic Electrical Technology - Electrical Engineering (EE)

From the above, the condition, as given earlier, can be obtained. The total current is  Resonance in Series & Parallel Circuits | Basic Electrical Technology - Electrical Engineering (EE)
The value, as given here, can be easily obtained. The phasor diagram is shown in Fig. 17.5b. It may also be noted that the magnitude of the total current is minimum, while the magnitude of the impedance is maximum.

Resonance in Series & Parallel Circuits | Basic Electrical Technology - Electrical Engineering (EE)

Example 17.2

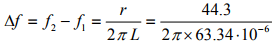
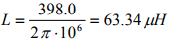
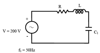
A coil, having a resistance of 15 Ω and an inductance of 0.75 H, is connected in series with a capacitor (Fig. 17.6a. The circuit draws maximum current, when a voltage of 200 V at 50 Hz is applied. A second capacitor is then connected in parallel to the circuit (Fig. 17.6b). What should be its value, such that the combination acts like a noninductive resistance, with the same voltage (200 V) at 100 Hz? Calculate also the current drawn by the two circuits.

Resonance in Series & Parallel Circuits | Basic Electrical Technology - Electrical Engineering (EE)Resonance in Series & Parallel Circuits | Basic Electrical Technology - Electrical Engineering (EE)

Solution f1 = 50 Hz V = 200 V     R = 15 Ω     L = 0.75 H

From the condition of resonance at 50 Hz in the series circuit,

Resonance in Series & Parallel Circuits | Basic Electrical Technology - Electrical Engineering (EE)
Resonance in Series & Parallel Circuits | Basic Electrical Technology - Electrical Engineering (EE)Resonance in Series & Parallel Circuits | Basic Electrical Technology - Electrical Engineering (EE)
The maximum current drawn from the supply is,  Resonance in Series & Parallel Circuits | Basic Electrical Technology - Electrical Engineering (EE)

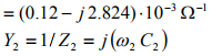
Resonance in Series & Parallel Circuits | Basic Electrical Technology - Electrical Engineering (EE)Resonance in Series & Parallel Circuits | Basic Electrical Technology - Electrical Engineering (EE)
Resonance in Series & Parallel Circuits | Basic Electrical Technology - Electrical Engineering (EE)

Resonance in Series & Parallel Circuits | Basic Electrical Technology - Electrical Engineering (EE)
Resonance in Series & Parallel Circuits | Basic Electrical Technology - Electrical Engineering (EE)Resonance in Series & Parallel Circuits | Basic Electrical Technology - Electrical Engineering (EE)
Resonance in Series & Parallel Circuits | Basic Electrical Technology - Electrical Engineering (EE)
Resonance in Series & Parallel Circuits | Basic Electrical Technology - Electrical Engineering (EE)Resonance in Series & Parallel Circuits | Basic Electrical Technology - Electrical Engineering (EE)
Resonance in Series & Parallel Circuits | Basic Electrical Technology - Electrical Engineering (EE)

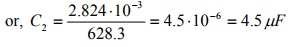
As the combination is resistive in nature, the total admittance is

Resonance in Series & Parallel Circuits | Basic Electrical Technology - Electrical Engineering (EE)Resonance in Series & Parallel Circuits | Basic Electrical Technology - Electrical Engineering (EE)
From the above expression,  Resonance in Series & Parallel Circuits | Basic Electrical Technology - Electrical Engineering (EE)

Resonance in Series & Parallel Circuits | Basic Electrical Technology - Electrical Engineering (EE)
The total admittance is  Resonance in Series & Parallel Circuits | Basic Electrical Technology - Electrical Engineering (EE)
The total impedance is  Resonance in Series & Parallel Circuits | Basic Electrical Technology - Electrical Engineering (EE)Resonance in Series & Parallel Circuits | Basic Electrical Technology - Electrical Engineering (EE)
The total current drawn from the supply is 

Resonance in Series & Parallel Circuits | Basic Electrical Technology - Electrical Engineering (EE)Resonance in Series & Parallel Circuits | Basic Electrical Technology - Electrical Engineering (EE)

Resonance in Series & Parallel Circuits | Basic Electrical Technology - Electrical Engineering (EE)

The condition for resonance in both series and parallel circuits fed from single phase ac supply is described. It is shown that the current drawn from the supply is at unity power factor (upf) in both cases. The value of the capacitor needed for resonant condition with a constant frequency supply, and the resonant frequency with constant value of capacitance, have been derived. Also taken up is the case of a lossy inductance coil in parallel with a capacitor under variable frequency supply, where the total current will be at upf. The quality factor of the coil and the bandwidth of the series circuit with known value of capacitance have been determined. This is the final lesson in this module of single phase ac circuits. In the next module, the circuits fed from three phase ac supply will be described.

 

 

The document Resonance in Series & Parallel Circuits | Basic Electrical Technology - Electrical Engineering (EE) is a part of the Electrical Engineering (EE) Course Basic Electrical Technology.
All you need of Electrical Engineering (EE) at this link: Electrical Engineering (EE)
74 docs|62 tests

FAQs on Resonance in Series & Parallel Circuits - Basic Electrical Technology - Electrical Engineering (EE)

1. What is resonance in a series circuit?
Resonance in a series circuit occurs when the inductive reactance and the capacitive reactance are equal, resulting in a minimum impedance. This causes the circuit to resonate at a certain frequency, leading to a maximum current flow.
2. How does resonance affect the current in a series circuit?
At resonance, the current in a series circuit is at its maximum. This is because the impedance of the circuit is at its minimum, allowing the maximum amount of current to flow through.
3. What happens to the voltage across the components in a series circuit at resonance?
At resonance in a series circuit, the voltage across the inductor and capacitor is at its maximum. This is because the impedance of the circuit is at its minimum, causing the voltage to be distributed primarily across the inductor and capacitor.
4. Can a series circuit have multiple resonant frequencies?
No, a series circuit can only have one resonant frequency. The resonant frequency is determined by the values of the inductance and capacitance in the circuit. If these values are fixed, then the resonant frequency will also be fixed.
5. How does resonance in a parallel circuit differ from resonance in a series circuit?
In a parallel circuit, resonance occurs when the inductive reactance and the capacitive reactance are equal, resulting in a maximum impedance. This causes the circuit to resonate at a certain frequency, leading to a minimum current flow. Unlike in a series circuit, the voltage across the components in a parallel circuit is at its minimum at resonance.
Related Searches

pdf

,

mock tests for examination

,

Important questions

,

past year papers

,

ppt

,

Sample Paper

,

Extra Questions

,

Viva Questions

,

shortcuts and tricks

,

video lectures

,

Resonance in Series & Parallel Circuits | Basic Electrical Technology - Electrical Engineering (EE)

,

Previous Year Questions with Solutions

,

Resonance in Series & Parallel Circuits | Basic Electrical Technology - Electrical Engineering (EE)

,

Resonance in Series & Parallel Circuits | Basic Electrical Technology - Electrical Engineering (EE)

,

Summary

,

practice quizzes

,

MCQs

,

study material

,

Semester Notes

,

Objective type Questions

,

Free

,

Exam

;