Mathematics Exam  >  Mathematics Notes  >  Additional Topics for IIT JAM Mathematics  >  Right Triangles and Trigonometry

Right Triangles and Trigonometry | Additional Topics for IIT JAM Mathematics PDF Download

Mean and geometry
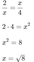
The geometric mean is the positive square root of the product of two numbers.
Example
The geometric mean between 2 and 4 is x. The proportion 2:x = x:4 must be true hence
Right Triangles and Trigonometry | Additional Topics for IIT JAM Mathematics
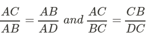
If we in the following triangle draw the altitude from the vertex of the right angle then the two triangles that are formed are similar to the triangle we had from the beginning. The two triangles formed are also similar to each other.
Right Triangles and Trigonometry | Additional Topics for IIT JAM Mathematics
△ABC ∼ △BCD ∼ △ABD
The measure of the altitude drawn from the vertex of the right angle to the hypotenuse is the geometric mean between the measures of the two segments of the hypotenuse. Hence BD is the geometric mean of AD and DC.
Also in our figure the measure of a leg of the triangle is the geometric mean between the measures of the hypotenuse and the segment of the hypotenuse adjacent to that leg.
Right Triangles and Trigonometry | Additional Topics for IIT JAM Mathematics

The converse of the Pythagorean theorem and special triangles
If we know the sides of a triangle - we can always use the Pythagorean Theorem backwards in order to determine if we have a right triangle, this is called the converse of the Pythagorean Theorem.
If a2 + b2 = c2 then △ABC is a right triangle.
When working with the Pythagorean theorem we will sometimes encounter whole specific numbers that always satisfy our equation - these are called a Pythagorean triple. One common Pythagorean triple is the 3-4-5 triangle where the sides are 3, 4 and 5 units long.
There are some special right triangles that are good to know, the 45°-45°-90° triangle has always a hypotenuse √2 times the length of a leg. In a 30°-60°-90° triangle the length of the hypotenuse is always twice the length of the shorter leg and the length of the longer leg is always √3 times the length of the shorter leg.
Right Triangles and Trigonometry | Additional Topics for IIT JAM Mathematics

The document Right Triangles and Trigonometry | Additional Topics for IIT JAM Mathematics is a part of the Mathematics Course Additional Topics for IIT JAM Mathematics.
All you need of Mathematics at this link: Mathematics
2 videos|45 docs|4 tests

FAQs on Right Triangles and Trigonometry - Additional Topics for IIT JAM Mathematics

1. What is a right triangle?
Ans. A right triangle is a triangle that has one angle measuring 90 degrees. The other two angles are acute, meaning they are less than 90 degrees.
2. How do you find the length of the hypotenuse in a right triangle?
Ans. In a right triangle, the hypotenuse is the side opposite the right angle. If you know the lengths of the other two sides, you can use the Pythagorean theorem to find the length of the hypotenuse. The Pythagorean theorem states that the square of the hypotenuse is equal to the sum of the squares of the other two sides.
3. What is trigonometry?
Ans. Trigonometry is a branch of mathematics that deals with the relationships between the angles and sides of triangles. It involves the study of trigonometric functions such as sine, cosine, and tangent, which are used to calculate the unknown angles or sides of a triangle.
4. How do you calculate the sine of an angle in a right triangle?
Ans. To calculate the sine of an angle in a right triangle, you divide the length of the side opposite the angle by the length of the hypotenuse. The sine function is defined as the ratio of the length of the opposite side to the length of the hypotenuse.
5. What is the Pythagorean theorem?
Ans. The Pythagorean theorem is a fundamental theorem in mathematics that relates the lengths of the sides of a right triangle. It states that the square of the length of the hypotenuse is equal to the sum of the squares of the lengths of the other two sides. This theorem is named after the ancient Greek mathematician Pythagoras.
Related Searches

Free

,

Objective type Questions

,

Right Triangles and Trigonometry | Additional Topics for IIT JAM Mathematics

,

practice quizzes

,

pdf

,

video lectures

,

Sample Paper

,

Important questions

,

past year papers

,

mock tests for examination

,

Viva Questions

,

MCQs

,

Extra Questions

,

Semester Notes

,

Summary

,

Right Triangles and Trigonometry | Additional Topics for IIT JAM Mathematics

,

study material

,

Right Triangles and Trigonometry | Additional Topics for IIT JAM Mathematics

,

Exam

,

ppt

,

shortcuts and tricks

,

Previous Year Questions with Solutions

;