Civil Engineering (CE) Exam  >  Civil Engineering (CE) Notes  >  Scalar, Vector, Tensor Functions

Scalar, Vector, Tensor Functions - Civil Engineering (CE) PDF Download

Scalar, vector, tensor functions
Having got an introduction to algebra of tensors we next focus on tensor calculus. Here we shall understand the meaning of a function and define what we mean by continuity and derivative of a function.
A function is a mathematical correspondence that assigns exactly one element of one set to each element of the same or another set. Thus, if we consider scalar functions of one scalar variable, then for each element (value) in the subset of the real line one associates an element in the real line or in the space of vectors or in the space of second order tensors. For example, Φ = Φ( t), u = û(t) = ui(t)ei , A = Â(t) = Aij (t)ei ⊗ ej are scalar valued, vector valued, second order tensor valued scalar functions with a set of Cartesian basis vectors assumed to be fixed. The components ui(t) and Aij(t) are assumed to be real valued smooth functions of t varying over a certain interval.

The first derivative of the scalar function Φ is simply Φ = dΦ/dt. Recollecting from a first course in calculus, dΦ/dt stands for that unique value of the limit

Scalar, Vector, Tensor Functions - Civil Engineering (CE)

The first derivative of u and A with respect to t (rate of change) denoted by ù = du/dt and À = dA/dt, is given by the first derivative of their associated components.
Since, dei/dt = o, i = 1, 2, 3, we have

Scalar, Vector, Tensor Functions - Civil Engineering (CE)

In general, the nth derivative of u and A (for any desired n) denoted by dnu/dtn and dnA/dtn , is a vector-valued and tensor-valued function whose components are dnui/dtn and dnAij/dtn , respectively. Again we have assumed that dei/dt = o.

By applying the rules of differentiation, we obtain the identities:

Scalar, Vector, Tensor Functions - Civil Engineering (CE)

where Φ is a scalar valued scalar function, u and v are vector valued scalar function, A and B are second order tensor valued scalar function. Here and elsewhere in this notes, the overbars cover the quantities to which the dot operations are applied.

Scalar, Vector, Tensor Functions - Civil Engineering (CE)

A tensor function is a function whose arguments are one or more tensor variables and whose values are scalars, vectors or tensors. The functions Φ(B), u(B), and A(B) are examples of so-called scalar-valued, vector-valued and second order tensor-valued functions of one second order tensor variable B, respectively. In an analogous manner, Φ(v), u(v), and A(v) are scalarvalued, vector-valued and second order tensor-valued functions of one vector variable v, respectively.

Let Scalar, Vector, Tensor Functions - Civil Engineering (CE) denote the region of the vector space that is of interest. Then a scalar field Φ, defined on a domain Scalar, Vector, Tensor Functions - Civil Engineering (CE), is said to be continuous if

Scalar, Vector, Tensor Functions - Civil Engineering (CE)

where Scalar, Vector, Tensor Functions - Civil Engineering (CE) denote the set of all vectors in the vector space. The properties of continuity are attributed to a vector field u and a tensor field A defined on Scalar, Vector, Tensor Functions - Civil Engineering (CE)  if they apply to the scalar field u · a and a · Ab ∀ a and b Scalar, Vector, Tensor Functions - Civil Engineering (CE)

Consider a scalar valued function of one second order tensor variable A, Φ(A). Assuming the function Φ is continuous in A, the derivative of Φ with respect to A, denoted by Scalar, Vector, Tensor Functions - Civil Engineering (CE) , is the second order tensor that satisfies 

Scalar, Vector, Tensor Functions - Civil Engineering (CE)

for any second order tensor U.

Example: If Φ(A) = det(A), find Scalar, Vector, Tensor Functions - Civil Engineering (CE) , both when A is invertible and when it is not.
Taking trace of the Cayley-Hamilton equation (2.142) and rearranging we get

Scalar, Vector, Tensor Functions - Civil Engineering (CE)

Hence,

Scalar, Vector, Tensor Functions - Civil Engineering (CE)

Using the properties of trace and dot product we find that

Scalar, Vector, Tensor Functions - Civil Engineering (CE)

from which, we deduce that

Scalar, Vector, Tensor Functions - Civil Engineering (CE)

using equation (2.178). Substituting equations (2.184) through (2.186) in (2.180) we get

Scalar, Vector, Tensor Functions - Civil Engineering (CE)

If A is invertible, then multiplying (2.142) by A−t and rearranging we get

Scalar, Vector, Tensor Functions - Civil Engineering (CE)

In light of the above equation, (2.187) reduces to

Scalar, Vector, Tensor Functions - Civil Engineering (CE)

Next, we consider a smooth tensor valued function of one second order tensor variable A, f(A). As before, the derivative of f with respect to A, denoted by Scalar, Vector, Tensor Functions - Civil Engineering (CE) , is the fourth order tensor that satisfies

Scalar, Vector, Tensor Functions - Civil Engineering (CE) 

for any second order tensor U.

It is straight forward to see that when f(A) = A, where A is any second order tensor, then (2.190) reduces to

Scalar, Vector, Tensor Functions - Civil Engineering (CE)

hence, Scalar, Vector, Tensor Functions - Civil Engineering (CE) = II, the fourth order unit tensor where we have used equation (2.128a).
If f(A) = At where A is any second order tensor, then using (2.190) it can be shown that Scalar, Vector, Tensor Functions - Civil Engineering (CE) obtained using equation (2.128b).

Now, say the tensor valued function f is defined only for symmetric tensors, and that f(S) = S, where S is a symmetric second order tensor. Compute the derivative of f with respect to S, i.e., Scalar, Vector, Tensor Functions - Civil Engineering (CE) .

First, since the function f is defined only for symmetric tensors, we have to generalize the function for any tensor. This is required because U is any second order tensor. Hence, Scalar, Vector, Tensor Functions - Civil Engineering (CE) where A is any second order tensor. Now, find the derivative Scalar, Vector, Tensor Functions - Civil Engineering (CE)  with respect to A and then rewrite the result in terms of S. The resulting expression is the derivative of f with respect to S. Hence,

Scalar, Vector, Tensor Functions - Civil Engineering (CE)

Substituting the above in equation (2.190) we get

Scalar, Vector, Tensor Functions - Civil Engineering (CE)

Thus,

Scalar, Vector, Tensor Functions - Civil Engineering (CE)

Consequently,

Scalar, Vector, Tensor Functions - Civil Engineering (CE)


Example - 1: Assume that A is an invertible tensor and f(A) = A−1 .
Then show that

Scalar, Vector, Tensor Functions - Civil Engineering (CE)

Recalling that all invertible tensors satisfy the relation AA−1 = 1, we obtain

Scalar, Vector, Tensor Functions - Civil Engineering (CE)

Differentiating the above equation with respect to s

Scalar, Vector, Tensor Functions - Civil Engineering (CE)

Evaluating the above equation at s = 0, and rearranging

Scalar, Vector, Tensor Functions - Civil Engineering (CE)

Hence proved.

Example - 2: Assume that S is an invertible symmetrical tensor and f(S) = S−1 . Find Scalar, Vector, Tensor Functions - Civil Engineering (CE) .
As before generalizing the given function, we have Scalar, Vector, Tensor Functions - Civil Engineering (CE)  
Following the same steps as in the previous example we obtain:

Scalar, Vector, Tensor Functions - Civil Engineering (CE)

Differentiating the above equation with respect to s and evaluating at s = 0 and rearranging we get

Scalar, Vector, Tensor Functions - Civil Engineering (CE)

Therefore,

Scalar, Vector, Tensor Functions - Civil Engineering (CE)

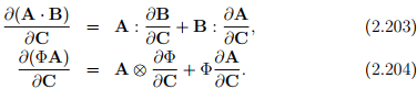
Let Φ be a smooth scalar-valued function and A, B smooth tensor-valued functions of a tensor variable C. Then, it can be shown that
Scalar, Vector, Tensor Functions - Civil Engineering (CE)

The document Scalar, Vector, Tensor Functions - Civil Engineering (CE) is a part of Civil Engineering (CE) category.
All you need of Civil Engineering (CE) at this link: Civil Engineering (CE)

FAQs on Scalar, Vector, Tensor Functions - Civil Engineering (CE)

1. What is the difference between scalar, vector, and tensor functions?
Ans. A scalar function is a mathematical function that takes a single value as input and produces a single value as output. Examples of scalar functions include simple arithmetic operations like addition, subtraction, multiplication, and division. A vector function, on the other hand, takes one or more values as input and produces a vector as output. Each component of the vector function is a scalar function. Examples of vector functions include position, velocity, and acceleration functions in physics. A tensor function is a mathematical function that takes one or more vectors as input and produces a tensor as output. Tensors are multidimensional arrays of numbers that have specific transformation properties. Tensor functions are commonly used in fields like physics and engineering to describe the behavior of physical systems in multiple dimensions.
2. What are some examples of scalar functions?
Ans. Some examples of scalar functions include: - The square function, which takes a number as input and returns its square. - The absolute value function, which takes a number as input and returns its distance from zero. - The sine function, which takes an angle as input and returns the ratio of the length of the side opposite the angle to the length of the hypotenuse in a right triangle.
3. Can you provide examples of vector functions?
Ans. Yes, here are some examples of vector functions: - The position function, which takes time as input and returns a vector representing the position of an object in space. - The velocity function, which takes time as input and returns a vector representing the rate of change of position with respect to time. - The force function, which takes position as input and returns a vector representing the force acting on an object at that position.
4. How are tensor functions used in physics and engineering?
Ans. Tensor functions are used in physics and engineering to describe the behavior of physical systems in multiple dimensions. They are particularly useful in fields such as fluid dynamics, electromagnetism, and general relativity. For example, in fluid dynamics, tensor functions are used to describe the stress and strain distributions in a fluid. These tensor functions help engineers understand how forces are distributed within the fluid and how it responds to external forces. In electromagnetism, tensor functions are used to describe the electromagnetic field, which includes both electric and magnetic fields. These tensor functions help physicists and engineers analyze and predict the behavior of electromagnetic waves, such as light. In general relativity, tensor functions are used to describe the curvature of spacetime and the gravitational field. These tensor functions help physicists understand how matter and energy affect the geometry of the universe.
5. What are the practical applications of scalar, vector, and tensor functions?
Ans. Scalar, vector, and tensor functions have various practical applications in different fields. Here are some examples: - Scalar functions are commonly used in finance and economics to model and analyze data, such as interest rates, prices, and economic indicators. - Vector functions find applications in physics, engineering, and computer graphics. They are used to represent physical quantities that have both magnitude and direction, such as velocity, force, and displacement. - Tensor functions are extensively used in physics and engineering fields like fluid dynamics, electromagnetism, and general relativity. They help describe the behavior of physical systems in multiple dimensions and are crucial for understanding complex phenomena like fluid flow, electromagnetic fields, and the curvature of spacetime.
Download as PDF

Top Courses for Civil Engineering (CE)

Related Searches

Free

,

Exam

,

past year papers

,

Previous Year Questions with Solutions

,

mock tests for examination

,

study material

,

Scalar

,

Summary

,

Vector

,

Tensor Functions - Civil Engineering (CE)

,

Tensor Functions - Civil Engineering (CE)

,

practice quizzes

,

Sample Paper

,

Scalar

,

video lectures

,

Tensor Functions - Civil Engineering (CE)

,

Objective type Questions

,

shortcuts and tricks

,

Extra Questions

,

Scalar

,

Vector

,

Semester Notes

,

MCQs

,

pdf

,

Viva Questions

,

Important questions

,

ppt

,

Vector

;