Class 9 Exam  >  Class 9 Notes  >  Science Olympiad Class 9  >  Science Olympiad Previous Year Paper - 1

Science Olympiad Previous Year Paper - 1 | Science Olympiad Class 9 PDF Download

Note: The questions provided in this document are similar to the questions that were asked in the actual Olympiad exam. So, we recommend you study these for your Olympiad preparation.

Logical Reasoning

Q1: Examine the information provided and respond to the question below. ‘P + Q’ indicates that ‘P is the mother of Q’. ‘P × Q’ signifies that ‘P is the father of Q’. ‘P ÷ Q’ denotes that ‘P is the son of Q’. ‘P – Q’ implies that ‘P is the daughter of Q’. What is the relationship of N to J in L × N + M – K ÷ J?
(a) Daughter
(b) Sister
(c) Daughter-in-law
(d) Grandmother

Science Olympiad Previous Year Paper - 1 | Science Olympiad Class 9View Answer  Science Olympiad Previous Year Paper - 1 | Science Olympiad Class 9

Ans: (c)

  • From the expression L × N + M – K ÷ J, we can break it down step by step.
  • L × N means L is the father of N.
  • N + M means N is the mother of M.
  • M – K means M is the daughter of K.
  • K ÷ J means K is the son of J.
  • Putting this together, N is the mother of M, making her the daughter-in-law of J.

Q2: Select a figure from amongst the Answer Figures which will continue the same series as established by the five Problem Figures.
Science Olympiad Previous Year Paper - 1 | Science Olympiad Class 9
(a) 4
(b) 3
(c) 2
(d) 1

Science Olympiad Previous Year Paper - 1 | Science Olympiad Class 9View Answer  Science Olympiad Previous Year Paper - 1 | Science Olympiad Class 9

Ans: (a)
In one step, a half-leaf is added to the figure at the anti-clockwise end. In the next step, two half-leaves are added to the figure - one at the anti-clockwise-end and the other at the anti-clockwise-end. Also, in each step, the figure rotates 45o anti-clockwise.

Q3: Arrange the following words in the sequence they appear in the dictionary and choose the right option. 1. Prevent 2. Prepare 3. Protection 4. Previous 5. Prefer
(a) 2, 1, 5, 4, 3
(b) 5, 2, 1, 4, 3
(c) 5, 1, 2, 3, 4
(d) 5, 1, 2, 4, 3

Science Olympiad Previous Year Paper - 1 | Science Olympiad Class 9View Answer  Science Olympiad Previous Year Paper - 1 | Science Olympiad Class 9

Ans: (b)

  • To find the correct order, we look at the first letters of each word: P for Prefer, P for Prepare, P for Prevent, P for Protection, and P for Previous.
  • Next, we compare the subsequent letters: "Prefer" comes first, followed by "Prepare," then "Prevent," "Previous," and finally "Protection."
  • The correct sequence is 5, 2, 1, 4, 3, which corresponds to option (b).
  • This method of arranging words is based on alphabetical order, which is how dictionaries are organized.

Q4: Find out the alternative figure which contains figure (X) as its part.
Science Olympiad Previous Year Paper - 1 | Science Olympiad Class 9(a) 2
(b) 3
(c) 4
(d) 1

Science Olympiad Previous Year Paper - 1 | Science Olympiad Class 9View Answer  Science Olympiad Previous Year Paper - 1 | Science Olympiad Class 9

Ans: (c)
Figure 4, contains figure (X).

Q5: Choose the figure which is different from the rest.
Science Olympiad Previous Year Paper - 1 | Science Olympiad Class 9(a) 2
(b) 5
(c) 4
(d) 1

Science Olympiad Previous Year Paper - 1 | Science Olympiad Class 9View Answer  Science Olympiad Previous Year Paper - 1 | Science Olympiad Class 9

Ans: (c)
In all other figures, the arrow and the V sign lie towards the black end of the main figure.

Q6: Select a suitable figure from the answer figures that would replace the question mark (?).
Science Olympiad Previous Year Paper - 1 | Science Olympiad Class 9(a) 2
(b) 1
(c) 4
(d) 3

Science Olympiad Previous Year Paper - 1 | Science Olympiad Class 9View Answer  Science Olympiad Previous Year Paper - 1 | Science Olympiad Class 9

Ans: (b)
The figure gets divided into eight equal parts.

Q7: Prerna rides her bicycle 40 m to the South. After that, she makes a left turn and goes 40 m, then turns right and travels 50 m. She turns left again and moves 50 m. Finally, she turns left once more and covers 60 m. What is her distance from the starting point now?
(a) 30 √10 m
(b) 10 √35 m
(c) 10 √30 m
(d) 9 √30 m

Science Olympiad Previous Year Paper - 1 | Science Olympiad Class 9View Answer  Science Olympiad Previous Year Paper - 1 | Science Olympiad Class 9

Ans: (a)

  • Prerna starts by going 40 m South.
  • She then turns left (now facing East) and travels 40 m.
  • Next, she turns right (now facing South) and goes 50 m.
  • After that, she turns left (now facing East) and travels 50 m.
  • Finally, she turns left again (now facing North) and moves 60 m.
  • To find her distance from the starting point, we can visualize her path and calculate the final position, which results in a distance of 30 √10 m from the start.

Q8: In a certain code, 13 means stop smoking and 59 means injurious habit. What do 9 and 5 mean respectively in that code?
Statement I: 157 means stop bad habit.
Statement II: 839 means smoking is injurious.

(a) I alone is sufficient while II alone is not sufficient
(b) Either I or II is sufficient
(c) Neither I nor II is sufficient
(d) II alone is sufficient while I alone is not sufficient

Science Olympiad Previous Year Paper - 1 | Science Olympiad Class 9View Answer  Science Olympiad Previous Year Paper - 1 | Science Olympiad Class 9

Ans: (b)
'59' means 'injurious habit' and '157' means 'stop bad habit' (from I). Thus, the common code number '5' stands for common word 'habit'. So, '9' represents 'injurious'. Hence, I is sufficient.
Also, '59' means 'injurious habit' and '839' means 'smoking is injurious'. Thus, the common code number '9' stands for common word 'injurious'. So, '5' represents 'habit'. Thus, II is also sufficient.,

Q9: Seven friends P, Q, R, S, T, U, and V are seated around a circular table facing inward. T is positioned third to the left of Q. P is a direct neighbor of both U and R. U is seated third to the left of T. S is not adjacent to Q. Who are the immediate neighbors of V?
(a) Q and P
(b) R and S
(c) Q and S
(d) T and P

Science Olympiad Previous Year Paper - 1 | Science Olympiad Class 9View Answer  Science Olympiad Previous Year Paper - 1 | Science Olympiad Class 9

Ans: (c)

  • To solve this, we first place Q and then find T, who is third to the left of Q.
  • Next, we position U, who is third to the left of T.
  • P must be next to both U and R, and since S cannot be next to Q, we can deduce the arrangement.
  • After arranging everyone, we find that V's immediate neighbors are indeed Q and S.

Q10: Choose the box that is similar to the box formed from the given sheet of paper (X).
Science Olympiad Previous Year Paper - 1 | Science Olympiad Class 9(a) 2 only
(b) 1 and 3 only
(c) 1, 2, 3 and 4 only
(d) 1 only

Science Olympiad Previous Year Paper - 1 | Science Olympiad Class 9View Answer  Science Olympiad Previous Year Paper - 1 | Science Olympiad Class 9

Ans: (a) 
The fig. (X) is similar to Form III. So, when the sheet in fig. (X) is folded to form a cube, then 'F' appears opposite 'B', 'E' appears opposite 'C' and 'A' appears opposite 'D' Therefore, the cube in fig. (1) which shows 'F' adjacent to 'B' the cube in fig. (3) which shows 'E' adjacent to 'C' and the cube in fig. (4) which shows 'A' adjacent to 'D' cannot be formed. Hence, only the cube in fig.(2) can be formed.

Science

Q11: Which of the following statements are correct?
I. The components of suspension can be separated by filtration.
II. The components of a colloidal solution can be separated by filtration.
III. The solid solute particles settle down when a suspension is left undisturbed.
IV. The particles of a colloidal solution do not settle down when left undisturbed.
(a) Only I 
(b) Only II 
(c) I, III and IV 
(d) I, II, III and IV 

Science Olympiad Previous Year Paper - 1 | Science Olympiad Class 9View Answer  Science Olympiad Previous Year Paper - 1 | Science Olympiad Class 9

Ans: (c)
The components of a colloidal solution cannot be separated by filtration.

Q12: Consider the following statements and choose the correct option:
Statement 1: Diffusion becomes slower on heating.
Statement 2: The kinetic energy of particles increases on heating.
Answer choices:
(a) Statement 1 is correct but statement 2 is incorrect. 
(b) Statement 1 is incorrect but statement 2 is correct. 
(c) Both the statements are correct. 
(d) Both the statements are incorrect. 

Science Olympiad Previous Year Paper - 1 | Science Olympiad Class 9View Answer  Science Olympiad Previous Year Paper - 1 | Science Olympiad Class 9

Ans: (b)
Diffusion becomes faster on heating.

Q13: When carbon and sulphur combine, they form a compound with the formula CS2. This compound is known by the name carbon disulphide. In carbon disulphide, what is the mass of the sulphur in combination with 6 g of carbon?
(a) 16 g 
(b) 32 g 
(c) 8 g 
(d) 9 g 

Q14: An element X has atomic number 92 and mass number 235. Calculate the ratio of neutron to proton in this element:
(a) 1.43 
(b) 1.55 
(c) 1.80 
(d) 0.64 

Science Olympiad Previous Year Paper - 1 | Science Olympiad Class 9View Answer  Science Olympiad Previous Year Paper - 1 | Science Olympiad Class 9

Ans: (b)
Number of neutrons = 235 – 92 = 143
n/p = 143/92 = 1.55

Q15: Identify the correct terminology that is used to refer to the following phenomenon: “Ingestion of liquid and solid food particles by the plasma membrane in unicellular organisms”.
(a) Phagocytosis 
(b) Pinocytosis 
(c) Endocytosis 
(d) All of the above 

Science Olympiad Previous Year Paper - 1 | Science Olympiad Class 9View Answer  Science Olympiad Previous Year Paper - 1 | Science Olympiad Class 9

Ans: (c)
Phagocytosis refers to the injection of food particles that can be both liquid or solid. Pinocytosis only includes ingestion of liquids and endocytosis includes ingestion of solid food particles.

Q16: Peter mixed two substances A and B to form a substance C. Heat was evolved in this process and the properties of C were different from both A and B. What could be the substance C?
(a) A compound 
(b) An element 
(c) A mixture 
(d) A metal 

Science Olympiad Previous Year Paper - 1 | Science Olympiad Class 9View Answer  Science Olympiad Previous Year Paper - 1 | Science Olympiad Class 9

Ans: (a)
A and B are elements. They combine to form compound C. The properties of a elements A and B are not retained by C during its formation

Q17: A body of mass 2 kg is thrown vertically upwards with a kinetic energy of 490 J. Given that the acceleration due to gravity is 9.8 m/s², what is the height at which the kinetic energy of the body reduces to half of its initial value?
(a) 50 m
(b) 25 m
(c) 12.5 m
(d) 15 m

Science Olympiad Previous Year Paper - 1 | Science Olympiad Class 9View Answer  Science Olympiad Previous Year Paper - 1 | Science Olympiad Class 9

Ans: (c)

  • The initial kinetic energy is 490 J. Half of this value is 245 J.
  • Using the formula for gravitational potential energy (PE = mgh), we can set up the equation: 245 J = 2 kg * 9.8 m/s² * h.
  • Solving for h gives us h = 245 J / (2 kg * 9.8 m/s²) = 12.5 m.
  • Thus, the height at which the kinetic energy becomes half is 12.5 m.

Q18: Earthquakes produce sound waves within the Earth, which include both transverse (S) and longitudinal (P) waves. The S wave travels at approximately 5.0 km/s, while the P wave moves at 10.0 km/s. A seismograph captures the P and S waves, with the initial P wave arriving 4 minutes prior to the first S wave. Given that the waves travel in a straight line, what is the distance from the earthquake's origin?
(a) 1750 km
(b) 2250 km
(c) 2400 km
(d) 1920 km

Science Olympiad Previous Year Paper - 1 | Science Olympiad Class 9View Answer  Science Olympiad Previous Year Paper - 1 | Science Olympiad Class 9

Ans: (c)

  • To find the distance of the earthquake, we can use the time difference between the arrival of the P and S waves.
  • The P wave arrives 4 minutes (or 240 seconds) before the S wave.
  • In that time, the P wave travels a distance of 10 km/s * 240 s = 2400 km.
  • Since the S wave travels slower, we can confirm that the distance is indeed 2400 km, as it takes longer to reach the seismograph.

Q19: An aeroplane is flying towards the East at a speed of 450 km/h at an altitude of 1,000 m. At a specific moment, the sound of the plane is perceived by a ground observer as coming from a point directly above him. Where is the plane located at this moment? [Speed of sound in air is 340 m/s.]
(a) 833 m ahead of the observer
(b) 833 m behind the observer
(c) 368 m ahead of observer
(d) 368 m vertically above the observer

Science Olympiad Previous Year Paper - 1 | Science Olympiad Class 9View Answer  Science Olympiad Previous Year Paper - 1 | Science Olympiad Class 9

Ans: (c)

  • The speed of sound in air is 340 m/s, which is approximately 1,224 km/h.
  • The time it takes for the sound to reach the observer can be calculated using the formula: time = distance/speed.
  • Since the plane is at a height of 1,000 m, the sound takes time to travel this vertical distance, which is about 2.94 seconds.
  • During this time, the plane travels horizontally at 450 km/h, covering approximately 368 m ahead of the observer.

Q20: Two plane mirrors are positioned at an angle to each other. A ray of light strikes the first mirror M1, which is parallel to the second mirror M2, and is then reflected off the second mirror M2, becoming parallel to the first mirror M1. What is the angle between the two mirrors?
(a) 60°
(b) 45°
(c) 80°
(d) 90°

Science Olympiad Previous Year Paper - 1 | Science Olympiad Class 9View Answer  Science Olympiad Previous Year Paper - 1 | Science Olympiad Class 9

Ans: (a)

  • The angle between the two mirrors is crucial for determining the path of the light ray.
  • When a ray of light reflects off a mirror, the angle of incidence equals the angle of reflection.
  • In this scenario, the light ray reflects in such a way that it remains parallel to the original direction after reflecting off both mirrors.
  • For this to happen, the angle between the mirrors must be 60°, allowing the light to follow the described path.

Q21: Which of the following statement(s) is/are accurate?
(i) A body is said to be neutral if the number of protons exceeds the number of electrons.
(ii) Electric charges can occur between two clouds with like charges when they come near each other causing lightning and thunder.
(iii) An electroscope is used to detect the presence of electric charge. 

(a) (ii) only
(b) (i) and (iii) only
(c) (iii) only
(d) (i), (ii) and (iii)

Science Olympiad Previous Year Paper - 1 | Science Olympiad Class 9View Answer  Science Olympiad Previous Year Paper - 1 | Science Olympiad Class 9

Ans: (c)

  • The correct answer is (c) because an electroscope is indeed used to detect the presence of electric charge. This is a fundamental function of an electroscope.
  • Statement (i) is incorrect; a body is neutral when the number of protons equals the number of electrons, not when protons exceed electrons.
  • Statement (ii) is also incorrect; lightning occurs between clouds with opposite charges, not like charges.
  • Thus, only statement (iii) is correct, making (c) the right choice.

Q22: Which of the following sets of phenomena would increase on raising the temperature?
(a) Diffusion, evaporation, compression of gases 
(b) Evaporation, compression of gases, solubility 
(c) Evaporation, solubility, diffusion, expansion of gases 
(d) Evaporation, solubility, diffusion, compression of gases 

Science Olympiad Previous Year Paper - 1 | Science Olympiad Class 9View Answer  Science Olympiad Previous Year Paper - 1 | Science Olympiad Class 9

Ans: (b)
Evaporation, solubility, diffusion, expansion of gases increases on raising the temperature.

Q23: Aristotle’s classification was based on their living environments. Which among the following group of animals cannot be accounted for under Aristotle’s classification?
(a) Snakes 
(b) Crocodile 
(c) Crabs 
(d) All of the these

Science Olympiad Previous Year Paper - 1 | Science Olympiad Class 9View Answer  Science Olympiad Previous Year Paper - 1 | Science Olympiad Class 9

Ans: (d)
They are amphibians and can live in both land and water. Aristotle’s classification was based on the living environment of the organism such as land, air and water. All the organisms mentioned in the question can survive both on land and water which contradicts Aristotle’s classification.

Q24: Sneha and Dinesh were conducting an experiment where they needed to heat water in a beaker. Sneha placed the beaker near the wick in the yellow section of the candle flame, while Dinesh positioned his beaker in the outermost part of the flame. What is the correct observation from this experiment?
(a) Water boiled faster in case of Sneha.
(b) Same time was taken to get the water boiled in both the cases.
(c) Water boiled in a shorter time in case of Dinesh.
(d) None of the given observations is correct.

Science Olympiad Previous Year Paper - 1 | Science Olympiad Class 9View Answer  Science Olympiad Previous Year Paper - 1 | Science Olympiad Class 9

Ans: (c)

  • Heat distribution: The outermost part of the flame is the hottest, which means Dinesh's beaker received more heat.
  • Efficiency: Water in Dinesh's beaker boiled faster because it was exposed to the highest temperature.
  • Flame characteristics: The yellow part of the flame is cooler and less efficient for heating.
  • Conclusion: Therefore, Dinesh's method was more effective for boiling water quickly.

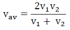
Q25: Peter drove his car from city A to city B at a speed of 50 km/h and came back from city B to city A at a speed of 60 km/h. What is his average speed for entire journey?
(a) 54.54 km/h
(b) 55 km/h
(c) 53.83 km/h
(d) 52.95 km/h

Science Olympiad Previous Year Paper - 1 | Science Olympiad Class 9View Answer  Science Olympiad Previous Year Paper - 1 | Science Olympiad Class 9

Ans: (a)
Science Olympiad Previous Year Paper - 1 | Science Olympiad Class 9

Where:
v1 = 50 km/h (from city A to city B)
v2 = 60 km/h (from city B to city A)
Substitute the given values into the formula:

Science Olympiad Previous Year Paper - 1 | Science Olympiad Class 9Thus, the average speed for the entire journey is 54.54 km/h.

Q26: What do chlorine atom and chloride ion have in common?
(a) Same size 
(b) Same number of electrons 
(c) Same electronic configuration 
(d) Same number of protons

Science Olympiad Previous Year Paper - 1 | Science Olympiad Class 9View Answer  Science Olympiad Previous Year Paper - 1 | Science Olympiad Class 9

Ans: (d)
Chloride ion is formed when chlorine gains electron. Gain or loss of electron does not change the proton number. Hence, the number of protons remain the same for an atom and an ion.

Q27: If 4.4 g of NaHCO3 is added to 12 g of CH3COOH solution, the residue is found to weigh 9 g. What is the mass of CO2 released in this reaction?
(a) 5.4 g 
(b) 2.3 g 
(c) 12.5 g 
(d) 7.4 g 

Science Olympiad Previous Year Paper - 1 | Science Olympiad Class 9View Answer  Science Olympiad Previous Year Paper - 1 | Science Olympiad Class 9

Ans: (d)
According to law of conservation of mass,
Mass of reactants = Mass of Products
4.4+ 12 = 9 + xX = 7.4 g

Q28: Read the given statements carefully.
 I. Biogas is a better fuel than petrol. 
II. Kerosene oil does not vapourise while burning and hence produces flame. 
III. Oxides of sulphur and nitrogen cause acid rain. 
IV. Burning of phosphorus in air at room temperature is an example of spontaneous combustion. 
Select the correct statement(s).
(a) II only
(b) I, III and IV only
(c) III and IV only
(d) I, II, III and IV

Science Olympiad Previous Year Paper - 1 | Science Olympiad Class 9View Answer  Science Olympiad Previous Year Paper - 1 | Science Olympiad Class 9

Ans: (b)

  • Statement I is correct because biogas is often considered a cleaner and more sustainable fuel compared to petrol.
  • Statement II is incorrect; kerosene does vaporize when burned, which is essential for its combustion.
  • Statement III is true as oxides of sulphur and nitrogen are known contributors to acid rain.
  • Statement IV is also correct; phosphorus can ignite spontaneously in air at room temperature.
  • Thus, the correct statements are I, III, and IV, making option (b) the right choice.

Q29: Which among the following is a part of a connective tissue that ejects its nucleus and cell organelles?
(a) White Blood Cells 
(b) Red Blood Cells 
(c) Adipocytes 
(d) Plasma 

Science Olympiad Previous Year Paper - 1 | Science Olympiad Class 9View Answer  Science Olympiad Previous Year Paper - 1 | Science Olympiad Class 9

Ans: (b)
RBCs reject their nucleus and cell organelles to carry more haemoglobin. This helps to increase the amount of oxygen carried by RBCs.

Q30: Which of the following are heterogeneous in nature?
I. A mixture of alcohol and water
II. A mixture of sodium chloride and sand
III. A mixture of oil and water
IV. Air
V. Muddy water
Answer choices:
(a) I, II and III 
(b) II, III and IV 
(c) I, II, III and V 
(d) II, III and V 

Science Olympiad Previous Year Paper - 1 | Science Olympiad Class 9View Answer  Science Olympiad Previous Year Paper - 1 | Science Olympiad Class 9

Ans: (d)
A homogeneous mixture is a mixture throughout the solution in which the composition is uniform. Example: A mixture of alcohol and water, Air
A heterogeneous mixture is a mixture where throughout the solution the composition is not uniform. Example: A mixture of sodium chloride and sand, a mixture of oil and water, muddy water

Q31: Four distinct experiments were carried out as follows: I. 3 g of carbon was burned in 8 g of oxygen to produce 11 g of CO2. II. 1.2 g of carbon was burned in air resulting in 4.2 g of CO2. III. 4.5 g of carbon was burned in sufficient air to yield 11 g of CO2. IV. 4 g of carbon was burned in oxygen to generate 30.3 g of CO2. In which experiment(s) is the law of constant proportions not demonstrated?
(a) I and III only
(b) II, III and IV only
(c) IV only
(d) I only

Science Olympiad Previous Year Paper - 1 | Science Olympiad Class 9View Answer  Science Olympiad Previous Year Paper - 1 | Science Olympiad Class 9

Ans: (b)

  • The law of constant proportions states that a chemical compound always contains its component elements in fixed ratio by mass.
  • In experiment I, the ratio of carbon to oxygen is consistent with the formation of CO2.
  • In experiment II, the ratio also aligns with the law, as does experiment III.
  • However, in experiment IV, the mass of CO2 produced does not reflect a consistent ratio, thus violating the law.
  • Therefore, the law is not illustrated in experiments II, III, and IV.

Q32: The membrane biogenesis process is assisted by which among the following cell organelle?
(a) Plasma membrane 
(b) Smooth endoplasmic reticulum 
(c) Golgi bodies 
(d) Nucleoplasm 

Science Olympiad Previous Year Paper - 1 | Science Olympiad Class 9View Answer  Science Olympiad Previous Year Paper - 1 | Science Olympiad Class 9

Ans: (b)
Smooth endoplasmic reticulum helps to synthesis lipids that are packaged by the Golgi bodies and transported to various locations in the cell. One main function of the lipids created by the SER is membrane biogenesis, where the formation of plasma membrane occurs.

Q33: Which tissue forms the lining of the following organs?
 I. Intestine 

II. Gut
(a) Cuboidal Epithelium 
(b) Skin 
(c) Columnar Epithelium 
(d) Squamous Epithelium 

Science Olympiad Previous Year Paper - 1 | Science Olympiad Class 9View Answer  Science Olympiad Previous Year Paper - 1 | Science Olympiad Class 9

Ans: (c)
Columnar epithelium forms the lining of our intestine and gut.

Q34: Which of the following statements is false about peroxisomes?
(a) They are present in both plant and animal cells.
(b) They are responsible for removing toxic substances from the cell.
(c) They are involved in photorespiration in plants.
(d) They are surrounded by a single membrane and contain oxidative enzymes.

Science Olympiad Previous Year Paper - 1 | Science Olympiad Class 9View Answer  Science Olympiad Previous Year Paper - 1 | Science Olympiad Class 9

Ans: (d)

  • Peroxisomes are small organelles found in both plant and animal cells, which makes option (a) true.
  • They play a crucial role in detoxifying harmful substances, confirming that option (b) is correct.
  • In plants, peroxisomes are involved in photorespiration, supporting option (c).
  • However, option (d) is incorrect because peroxisomes are actually surrounded by a single membrane, not a double membrane.

Q35: Identify the character that is not considered for the classification of an organism in the modern era.
I. Prokaryotic or eukaryotic
II. Unicellular or multicellular
III. Habitat
IV. Mode of nutrition
V. Level of organisation in the body
VI. Phylogenetic relationship
(a) I and II 
(b) III only 
(c) IV and VI 
(d) V and III 

Science Olympiad Previous Year Paper - 1 | Science Olympiad Class 9View Answer  Science Olympiad Previous Year Paper - 1 | Science Olympiad Class 9

Ans: (b)
The classification of an organism in the modern era takes into account, the phylogenetic relationships, anatomy, morphology, cell type, level or organization etc. But habitat is not considered during the classification of an organism.

Q36: Consider the following table: The value of A, B, C and D, respectively are:

Science Olympiad Previous Year Paper - 1 | Science Olympiad Class 9(a) 4, 4, 8, 2
(b) 8, 4, 4, 2 
(c) 4, 2, 8, 4 
(d) 4, 4, 8, 4 

Science Olympiad Previous Year Paper - 1 | Science Olympiad Class 9View Answer  Science Olympiad Previous Year Paper - 1 | Science Olympiad Class 9

Ans: (a)
Electronic configuration of atomic number 6: K-2, L-4, M-0, N-0 and number of valence electrons is 4.
Electronic configuration of atomic number 20: K-2, L-8, M-8, N-2 and number of valence electrons is 2.

Q37: Which of the following are the benefits of using manure? I. It enriches the soil with nutrients. II. It is rapidly absorbed by the plant roots. III. It enhances the water retention capacity of the soil. IV. It improves the soil's texture. V. It is eco-friendly.
(a) I, II and III only
(b) II, IV and V only
(c) I, III, IV and V only
(d) I, II, III, IV and V

Science Olympiad Previous Year Paper - 1 | Science Olympiad Class 9View Answer  Science Olympiad Previous Year Paper - 1 | Science Olympiad Class 9

Ans: (c)

  • Manure is beneficial for soil health in several ways.
  • It enriches the soil with essential nutrients, which are vital for plant growth.
  • While it is not absorbed as quickly as some fertilizers, it still improves water retention and soil texture.
  • Additionally, manure is considered environmentally friendly, making it a sustainable choice for agriculture.
  • Thus, options I, III, IV, and V are correct, leading to the answer (c).

Q38: Select the correct pairing.
(a) Apis indica – Dwarf bee
(b) Apis dorsata – Rock bee
(c) Apis florea – Italian bee
(d) Apis mellifera – Indian bee

Science Olympiad Previous Year Paper - 1 | Science Olympiad Class 9View Answer  Science Olympiad Previous Year Paper - 1 | Science Olympiad Class 9

Ans: (b)

  • The question asks for the correct match of bee species with their common names.
  • Apis dorsata is known as the Rock bee, which is a large species found in Asia.
  • Other options incorrectly match species with names that do not correspond to them.
  • For example, Apis mellifera is actually the Western honey bee, not the Indian bee.

Q39: A tree has many branches that are formed by the action of the intercalary meristem. But which cell or tissue from the following helps in the sidewise conduction of water in branches is ______.
(a) xylem parenchyma 
(b) tracheid 
(c) phloem parenchyma 
(d) vessels 

Science Olympiad Previous Year Paper - 1 | Science Olympiad Class 9View Answer  Science Olympiad Previous Year Paper - 1 | Science Olympiad Class 9

Ans: (a)
Xylem parenchyma is responsible for storing food and sidewise conduction of water.

Q40: Which among the following is the main character that helps to differentiate between osmosis and simple diffusion?
(a) Osmosis is the movement of water from high to low concentrations of solute. 
(b) Osmosis is the movement of water from low to high concentrations of the solvent. 
(c) Osmosis is the movement of water from low to high concentrations of solute through a semi-permeable membrane. 
(d) Osmosis is the movement of water from low to high concentrations of the solvent through a semi-permeable membrane. 

Science Olympiad Previous Year Paper - 1 | Science Olympiad Class 9View Answer  Science Olympiad Previous Year Paper - 1 | Science Olympiad Class 9

Ans: (c)
Osmosis is the movement of water from a high concentration of water to a low concentration. Hence the high-water concentration means low solute concentration.

Q41: Refer to the given analogy and select the option that correctly identifies X. Mustard : Rabi crop :: X : Kharif crop
(a) Bajra
(b) Wheat
(c) Pea
(d) Gram

Science Olympiad Previous Year Paper - 1 | Science Olympiad Class 9View Answer  Science Olympiad Previous Year Paper - 1 | Science Olympiad Class 9

Ans: (a)

  • The analogy compares Mustard, which is a Rabi crop, to another crop that is a Kharif crop.
  • Bajra is a well-known Kharif crop, making it the correct choice for X.
  • Wheat, on the other hand, is also a Rabi crop, while Pea and Gram do not fit the Kharif category.
  • Thus, the correct answer is Bajra, as it aligns with the Kharif crop classification.

Q42: Refer to the provided traits of an organism and choose the option that accurately identifies it.

  • Unicellular
  • Devoid of chlorophyll
  • Saprophytic
  • Reproduces by budding 

(a) Chlamydomonas
(b) Rhizopus
(c) Yeast
(d) Trypanosoma

Science Olympiad Previous Year Paper - 1 | Science Olympiad Class 9View Answer  Science Olympiad Previous Year Paper - 1 | Science Olympiad Class 9

Ans: (c)

  • The organism is unicellular, meaning it consists of a single cell.
  • It is devoid of chlorophyll, indicating it does not perform photosynthesis.
  • Being saprophytic means it feeds on decaying organic matter.
  • It reproduces by budding, a common method for yeast.

Q43: Select the incorrect pairing of a National Park and its notable wildlife.
(a) Desert National Park – Chinkara
(b) Sundarbans National Park – Royal Bengal tiger
(c) Gir National Park – One-horned rhinoceros
(d) Jim Corbett National Park – Elephant

Science Olympiad Previous Year Paper - 1 | Science Olympiad Class 9View Answer  Science Olympiad Previous Year Paper - 1 | Science Olympiad Class 9

Ans: (c)

  • The correct answer is (c) because the Gir National Park is known for its Asiatic lions, not the One-horned rhinoceros.
  • The One-horned rhinoceros is primarily found in Kaziranga National Park in Assam, India.
  • Other options correctly match the parks with their famous fauna: Chinkara in Desert National Park, Royal Bengal tiger in Sundarbans, and Elephants in Jim Corbett National Park.
  • Understanding the specific wildlife associated with each park is crucial for wildlife conservation and education.

Q44: Consider the following statements and choose the correct option:
Statement 1: All samples of pure water contain hydrogen and oxygen in the mass ratio of 1: 8.
Statement 2: Law of conservation of mass states that mass can neither be created nor destroyed in a chemical reaction.
(a) Both the statements are correct and statement 2 is the correct explanation of statement 1. 
(b) Both the statements are correct but statement 2 is not the correct explanation of statement 1. 
(c) Statement 1 is correct but statement 2 is incorrect. 
(d) Both the statements are incorrect. 

Science Olympiad Previous Year Paper - 1 | Science Olympiad Class 9View Answer  Science Olympiad Previous Year Paper - 1 | Science Olympiad Class 9

Ans: (b)
Statement 1 is in agreement with the law of constant proportion.

Q45: A gas when transferred to a larger container from a smaller container occupies all the space available. What does this signify?
(a) Gas has definite shape 
(b) Gas has no definite shape 
(c) Gas has definite volume 
(d) Gas has no definite volume 

Science Olympiad Previous Year Paper - 1 | Science Olympiad Class 9View Answer  Science Olympiad Previous Year Paper - 1 | Science Olympiad Class 9

Ans: (d)
As the gases do not have definite volume, particles of a gas move freely and randomly in all direction and fills the container or space that they can occupy.

Achievers Section

Q46: Identify the phyla to which the following group of animals belongs.

Science Olympiad Previous Year Paper - 1 | Science Olympiad Class 9
(a) Arthropoda
(b) Cnidaria
(c) Mollusca
(d) Mammalia

Science Olympiad Previous Year Paper - 1 | Science Olympiad Class 9View Answer  Science Olympiad Previous Year Paper - 1 | Science Olympiad Class 9

Ans: (c)
The following group of animals are characterised by the little segmentation, external sells with a soft body and is bilaterally symmetrical. Such features are commonly found in Phylum Mollusca.

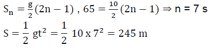
Q47: A stone is dropped from a tower. It was found that it covers a distance of 65 m. Calculate the height of the tower: (take g = 9.8 m/s2)
(a) 215 m
(b) 245 m
(c) 125 m
(d) 115 m

Q48: In which of the following changes chemical changes is involved?
(a) Tearing of paper
(b) Melting of wax
(c) Rusting of an iron nail
(d) Crystallisation

Science Olympiad Previous Year Paper - 1 | Science Olympiad Class 9View Answer  Science Olympiad Previous Year Paper - 1 | Science Olympiad Class 9

Ans: (a)

Cheese is an example of gel.

Q49: Name the disease in which the symptom includes the fear of water:
(a) Polio
(b) Ringworm
(c) Rabies
(d) Kala-azar

Science Olympiad Previous Year Paper - 1 | Science Olympiad Class 9View Answer  Science Olympiad Previous Year Paper - 1 | Science Olympiad Class 9

Ans: (c)
Patients with rabis often show hesitancy towards the drinking water.

Q50: Converging lenses A and B have the same focal length, but B is only half the aperture of A. Both lenses are used to form images of distant objects on a screen. Which of the following statements is correct?
(a) For both lenses, the distance from the lens to the screen is same.
(b) For both lenses, the images are of the same brightness.
(c) For both lenses, the images are of the same size as the object.
(d) Lens B gives a smaller image than A.

Science Olympiad Previous Year Paper - 1 | Science Olympiad Class 9View Answer  Science Olympiad Previous Year Paper - 1 | Science Olympiad Class 9

Ans: (a)
Both lenses A and B have the same focal length. The image formed by a converging lens for distant objects is located at the focal point. The distance from the lens to the screen where the image is formed is determined by the focal length of the lens.

Step 1: Understanding the focal length
Since both lenses have the same focal length, the distance from the lens to the screen (where the image is formed) will be the same for both lenses. Hence, statement A is correct.

Step 2: Image brightness
The brightness of the image depends on the amount of light entering the lens. Lens B has only half the aperture of lens A, which means it allows less light to pass through. Therefore, the image formed by lens B will be less bright than the image formed by lens A. Hence, statement B is incorrect.

Step 3: Image size
The size of the image for distant objects formed by converging lenses depends only on the focal length. Since both lenses have the same focal length, the image size will be the same for both lenses. Therefore, statement D is incorrect.

Hence, the correct answer is A. For both lenses, the distance from the lens to the screen is the same.

The document Science Olympiad Previous Year Paper - 1 | Science Olympiad Class 9 is a part of the Class 9 Course Science Olympiad Class 9.
All you need of Class 9 at this link: Class 9
31 videos|126 docs|52 tests

FAQs on Science Olympiad Previous Year Paper - 1 - Science Olympiad Class 9

1. What topics are typically covered in the Class 9 Science Olympiad?
Ans.The Class 9 Science Olympiad usually covers a range of topics including physics, chemistry, biology, and environmental science. Key areas may include the structure of atoms, the laws of motion, the properties of matter, cell biology, and ecosystem dynamics.
2. How can students prepare effectively for the Science Olympiad?
Ans.Students can prepare for the Science Olympiad by reviewing their class notes, studying relevant textbooks, and practicing previous years' papers. Additionally, they can join study groups, take mock tests, and utilize online resources for interactive learning.
3. What is the format of the Class 9 Science Olympiad exam?
Ans.The Class 9 Science Olympiad exam typically consists of multiple-choice questions (MCQs) that assess students' understanding of scientific concepts. The exam usually has a specific duration, and students should be familiar with the marking scheme.
4. Are there any recommended resources for studying for the Science Olympiad?
Ans.Yes, students are encouraged to use NCERT textbooks, reference books aligned with the syllabus, and online platforms that offer practice questions and quizzes. Olympiad-specific study guides and previous year question papers are also highly beneficial.
5. What is the importance of participating in the Science Olympiad for Class 9 students?
Ans.Participating in the Science Olympiad helps students enhance their scientific knowledge, improve problem-solving skills, and boost confidence. It also provides an opportunity to compete at a national level, which can be a valuable addition to their academic profile.
Related Searches

mock tests for examination

,

past year papers

,

Semester Notes

,

Science Olympiad Previous Year Paper - 1 | Science Olympiad Class 9

,

Previous Year Questions with Solutions

,

shortcuts and tricks

,

Sample Paper

,

Science Olympiad Previous Year Paper - 1 | Science Olympiad Class 9

,

Science Olympiad Previous Year Paper - 1 | Science Olympiad Class 9

,

MCQs

,

study material

,

pdf

,

video lectures

,

ppt

,

Exam

,

Extra Questions

,

Viva Questions

,

Free

,

Summary

,

Objective type Questions

,

Important questions

,

practice quizzes

;