Shear Center - Civil Engineering (CE) PDF Download

Shear center

Having found the solution to symmetrical and asymmetrical bending, in this section we find where the load has to be applied so that it produces no torsion. Shear center is defined as the point about which the external load has to be applied so that it produces no twisting moment. Recall from equation (8.7) the torsional moment due to the shear force σxy and σxz about the origin is,

Shear Center - Civil Engineering (CE)

Since, Shear Center - Civil Engineering (CE)the moment about some other point (ysc, zsc) would be,

Shear Center - Civil Engineering (CE)

If this point (ysc, zsc) is the shear center, then Shear Center - Civil Engineering (CE) = 0. Thus, we have to find ysc and zsc such that,

Shear Center - Civil Engineering (CE)

holds. We have two unknowns but only one equation. Hence, we cannot find ysc and zsc uniquely, in general. If the loading is such that only shear force Vy is present, then

Shear Center - Civil Engineering (CE)

Similarly, if Vy = 0,

Shear Center - Civil Engineering (CE)

Equations (8.213) and (8.214) are used to find the coordinates of the shear center with respect to the chosen origin of the coordinate system, which for homogeneous sections is usually taken as the centroid of the cross section. Thus, the point that (ysc, zsc) are the coordinates of the shear center from the origin of the chosen coordinate system which in many cases would be the centroid of the section cannot be overemphasized. In the case of thin walled sections which develop shear stresses tangential to the cross section, σxy = −τ sin(θ) and σxz = τ cos(θ), where τ is the magnitude of the shear stress and θ is the angle the tangent to the cross section makes with the z direction. By virtue of the shear stress depending linearly on the shear force (see equations (8.43) and (8.207)), it can be seen that the coordinates of the shear center is a geometric property of the section.

 

Illustrative examples

Next, to illustrate the use of equations (8.213) and (8.214) we find the shear center for some shapes.

Example 1: Rectangular section 

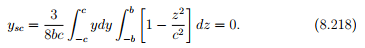
The first section that we consider is a thick walled rectangular section as shown in figure 8.17 having a depth 2c and width 2b. The chosen coordinate basis coincides with the two axis of symmetry that this section has and the origin is at the centroid of the cross section. First, we shall compute the z coordinate of the shear center zsc. For this only shear force Vy should act on the cross section. Shear force Vy would be caused due to loading along the xy plane, a plane of symmetry for the cross section. Therefore the shear stress, σxy is computed using (8.43) as

Shear Center - Civil Engineering (CE)

where we have used the fact that yo = 0, since the origin is located at the centroid of the cross section. Further, for this loading σxz = 0. Substituting (8.215) and σxz = 0 in (8.213) we obtain

Shear Center - Civil Engineering (CE)

 

Shear Center - Civil Engineering (CE)

Figure 8.17: Schematic of a rectangular cross section subjected to a shear force along one direction

Next, we shall compute the y coordinate of the shear center ysc. Now, only shear force Vz should act. This shear force would be produced by loading along the xz plane, also a plane of symmetry for the cross section. This loading produces a shear stress as shown in figure 8.17b whose magnitude is again computed using (8.43) as

Shear Center - Civil Engineering (CE)

and σxy = 0. Substituting (8.217) in (8.214) we obtain

Shear Center - Civil Engineering (CE)

Thus, for the rectangular cross section, the shear center is located at the origin of the coordinate system, which in turn is the centroid of the cross section. Hence, the shear center coincides with the centroid of the cross section.

 

Shear Center - Civil Engineering (CE)
Figure 8.18: Schematic of a channel cross section subjected to a shear force along one direction

 

Example 2: Channel section

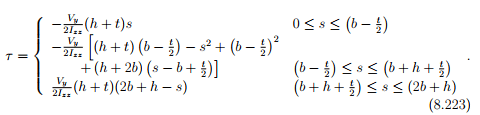
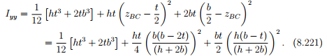
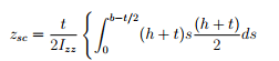
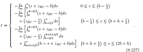
The next section that we study is the channel section with orientation and dimensions as shown in figure 8.18. The flange and web thickness of the channel is the same. Before proceeding to compute the shear center the other geometric properties, the centroid and the moment of inertia’s for the cross section is computed. The origin of the coordinate system being used is at the centroid of the cross section. Then, the distance from the centroid of the cross section to the top most fiber of the cross section AB is yAB = c = h/2 + t. Similarly, the distance of the left most fiber in the web of the cross section, BC is zBC = (ht + 2b2 )/(2(h + 2b)). Now,

 

Shear Center - Civil Engineering (CE)


Shear Center - Civil Engineering (CE)

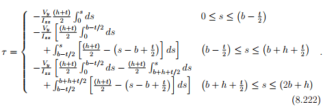
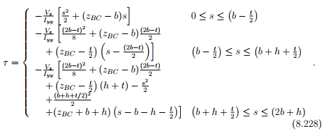
Towards computing the location of the shear center along the z direction, we first compute the shear stress acting on the cross section due to a shear force Vy alone. The magnitude of the shear stress, τ is found using (8.209) as

 

Shear Center - Civil Engineering (CE)

Evaluating the integrals and simplification yields,

Shear Center - Civil Engineering (CE)
Since this shear stress has to be tangential to the cross section, it would be σxz component in the flanges and σxy component in the web. Rewriting equation (8.213) in terms of integration over the perimeter length,

Shear Center - Civil Engineering (CE)
 

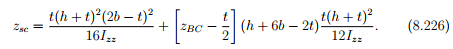
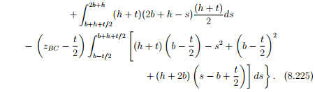
where So is the total length of the perimeter of the cross section. Evaluating the above equation, (8.224) for the channel section yields,

Shear Center - Civil Engineering (CE)

              Shear Center - Civil Engineering (CE)

Evaluating the integrals in (8.225) and simplifying we obtain,

Shear Center - Civil Engineering (CE)

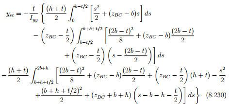
For computing the location of the shear center along the y direction, we For computing the location of the shear center along the y direction, we Valone. The magnitude of the shear stress, τ is found using (8.209) as

Shear Center - Civil Engineering (CE)

Integrating the above equation we obtain,

Shear Center - Civil Engineering (CE)

Since this shear stress has to be tangential to the cross section, as before, it would be σxz component in the flanges and σxy component in the web. Rewriting equation (8.214) in terms of integration over the perimeter length,

Shear Center - Civil Engineering (CE)

where So is the total length of perimeter of the cross section .Evaluation the above equation, (8.229) for the channel section yields,

Shear Center - Civil Engineering (CE)

 

Example 3: Circular arc

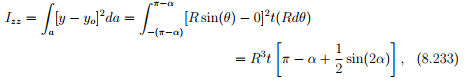
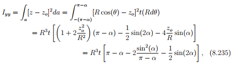
The final section that we use to illustrate the procedure to find the shear center is an arc of a circular section with radius R and a uniform thickness t. The arc is assumed to span from −(π − α) ≤ θ ≤ (π − α). Thus, it is symmetrical about the z direction. For convenience, we assume the origin of the coordinate system to be located at the center of the circle. First, we compute the centroid of the cross section

 

Shear Center - Civil Engineering (CE)

Here we have identified yo and zo with the coordinates of the centroid of the cross section, since it is homogeneous. Next, we compute the moment of inertias about the centroid,

Shear Center - Civil Engineering (CE)

 

Shear Center - Civil Engineering (CE)
Figure 8.19: Schematic of a circular arc section subjected to a shear force along one direction

 

Shear Center - Civil Engineering (CE)

 

Shear Center - Civil Engineering (CE)

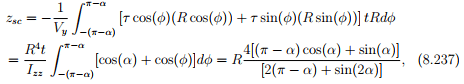
where the last equality is obtained on substituting for zo from (8.232). Towards computing the z coordinate of the shear center, we compute the shear stress distribution in the circular arc when only shear force Vy is acting on the cross section. The magnitude of the shear stress, τ is found using (8.208) as,

Shear Center - Civil Engineering (CE)

This shear stress would act tangential to the cross section at every location as indicated in figure 8.19a. Therefore, σxy = −τ cos(φ) and σxz = τ sin(φ), where φ is the angle the tangent makes with the y axis. Appealing to equation (8.213) we obtain,

Shear Center - Civil Engineering (CE)

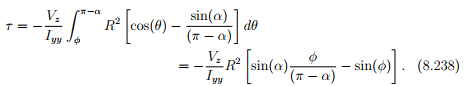
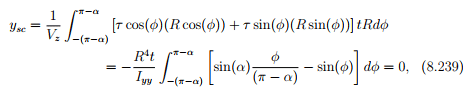
where we have used equations (8.236) and (8.233) respectively. It can be seen that when 0 < α ≤ π/2, zsc > 0 and in fact R < zsc ≤ 4R/π. Next, for computing the y coordinate of the shear center, we compute the shear stress distribution in the circular arc when only shear force Vz is acting on the cross section. The magnitude of the shear stress, τ is foundusing (8.208) as,

 

Shear Center - Civil Engineering (CE)
 

This shear stress would act tangential to the cross section at every location as indicated in figure 8.19b. Hence, as before, σxy = −τ cos(φ) and σxz = τ sin(φ), where φ is the angle the tangent makes with the y axis. Appealing to equation (8.214) we obtain,
 

Shear Center - Civil Engineering (CE)

 

where we have used equations (8.238) and (8.235) respectively. Thus, the shear center is located along the z axis.

By virtue of the zsc being greater than R, the shear center is located outside the cross section. Hence, for the loading to pass through the shear center similar issues as discussed in the channel section exist.

The document Shear Center - Civil Engineering (CE) is a part of Civil Engineering (CE) category.
All you need of Civil Engineering (CE) at this link: Civil Engineering (CE)

FAQs on Shear Center - Civil Engineering (CE)

1. What is the shear center?
Ans. The shear center is a point in a structure where the application of a shear force does not cause any twisting or bending.
2. Why is the shear center important in structural design?
Ans. The shear center is important in structural design because it helps determine the distribution of shear forces and moments throughout a structure, ensuring its stability and preventing undesirable effects such as excessive deflection or failure.
3. How is the shear center different from the centroid?
Ans. The shear center is different from the centroid because the centroid represents the geometric center of an object, while the shear center is a point that determines the distribution of shear forces in a structure. The shear center may not coincide with the centroid in irregular or asymmetrical structures.
4. How can the shear center be determined for a structure?
Ans. The shear center can be determined through various analytical and numerical methods, such as using the principle of virtual work, applying the Timoshenko beam theory, or employing finite element analysis. These methods involve solving equations to find the position of the shear center relative to the structure.
5. What are the consequences of not considering the shear center in structural design?
Ans. Not considering the shear center in structural design can lead to significant issues such as excessive deflection, stress concentrations, and even structural failure. Neglecting the shear center can result in unexpected twisting or bending behavior, compromising the safety and performance of the structure.
Download as PDF

Top Courses for Civil Engineering (CE)

Related Searches

mock tests for examination

,

Free

,

Shear Center - Civil Engineering (CE)

,

Extra Questions

,

shortcuts and tricks

,

Summary

,

Exam

,

video lectures

,

Viva Questions

,

Shear Center - Civil Engineering (CE)

,

past year papers

,

practice quizzes

,

Previous Year Questions with Solutions

,

Objective type Questions

,

study material

,

Important questions

,

Semester Notes

,

Shear Center - Civil Engineering (CE)

,

pdf

,

ppt

,

Sample Paper

,

MCQs

;