JEE Exam  >  JEE Notes  >  Question Bank for JEE Main & Advanced (350+ Tests)  >  Single Correct MCQs: Units & Measurement

Single Correct MCQs: Units & Measurement | Question Bank for JEE Main & Advanced (350+ Tests) PDF Download

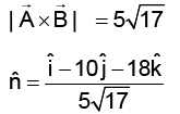
Q.1. What is the unit vector perpendicular to the following vectors Single Correct MCQs: Units & Measurement | Question Bank for JEE Main & Advanced (350+ Tests)and Single Correct MCQs: Units & Measurement | Question Bank for JEE Main & Advanced (350+ Tests).
(a)
Single Correct MCQs: Units & Measurement | Question Bank for JEE Main & Advanced (350+ Tests)
(b) Single Correct MCQs: Units & Measurement | Question Bank for JEE Main & Advanced (350+ Tests)
(c) Single Correct MCQs: Units & Measurement | Question Bank for JEE Main & Advanced (350+ Tests)
(d) Single Correct MCQs: Units & Measurement | Question Bank for JEE Main & Advanced (350+ Tests)

Correct Answer is option (c)

Single Correct MCQs: Units & Measurement | Question Bank for JEE Main & Advanced (350+ Tests)
Single Correct MCQs: Units & Measurement | Question Bank for JEE Main & Advanced (350+ Tests)
Single Correct MCQs: Units & Measurement | Question Bank for JEE Main & Advanced (350+ Tests)


Q.2. Figure shows ABCDEF as a regular hexagon. What is the value of Single Correct MCQs: Units & Measurement | Question Bank for JEE Main & Advanced (350+ Tests).

Single Correct MCQs: Units & Measurement | Question Bank for JEE Main & Advanced (350+ Tests)

(a) Single Correct MCQs: Units & Measurement | Question Bank for JEE Main & Advanced (350+ Tests)

(b) Single Correct MCQs: Units & Measurement | Question Bank for JEE Main & Advanced (350+ Tests)
(c) Single Correct MCQs: Units & Measurement | Question Bank for JEE Main & Advanced (350+ Tests)
(d) Single Correct MCQs: Units & Measurement | Question Bank for JEE Main & Advanced (350+ Tests)

Correct Answer is option (d)

Single Correct MCQs: Units & Measurement | Question Bank for JEE Main & Advanced (350+ Tests)

Single Correct MCQs: Units & Measurement | Question Bank for JEE Main & Advanced (350+ Tests)


Q.3. The sum of the magnitudes of two forces acting at point is 18 and the magnitude of their resultant is 12. If the resultant is at 90° with the force of smaller magnitude, what are the, magnitudes of forces.
(a) 12, 5
(b) 14, 4
(c) 5, 13
(d) 10, 8

Correct Answer is option (c)
Let magnitude of force Single Correct MCQs: Units & Measurement | Question Bank for JEE Main & Advanced (350+ Tests) is smaller than magnitude of force Single Correct MCQs: Units & Measurement | Question Bank for JEE Main & Advanced (350+ Tests)
Single Correct MCQs: Units & Measurement | Question Bank for JEE Main & Advanced (350+ Tests)
We get, A = 5,  B = 13


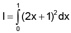
Q.4. Value ofSingle Correct MCQs: Units & Measurement | Question Bank for JEE Main & Advanced (350+ Tests)is
(a) 26
(b) 13
(c) 13/2
(d) 13/3

Correct Answer is option (d)

Single Correct MCQs: Units & Measurement | Question Bank for JEE Main & Advanced (350+ Tests)


Q.5. If y = sin3(3x3), dy/dx will be
(a) cos3 (3 x)3
(b) sin3 (9x2)
(c) 27x2 sin2 (3x3) cos(3x3)
(d) 3 sin2 (3x3) cos(3x3)

Correct Answer is option (c)

y = sin3(3x3)
Single Correct MCQs: Units & Measurement | Question Bank for JEE Main & Advanced (350+ Tests)
= 3 sin2 (3x3) x cos3x3 x 9 x2 
= 27 x2 sin2 (3x3) cos(3x3)


Q.6. The forces acting on a block placed on a smooth inclined plane of angle q is as shown. Net force acting on the block down the incline is
Single Correct MCQs: Units & Measurement | Question Bank for JEE Main & Advanced (350+ Tests) 
(a) m g sin θ + F cos θ
(b) m g sin θ- F cos θ
(c) m g cos θ - F sin θ
(d) m g cos θ + F sin θ

Correct Answer is option (b)

Single Correct MCQs: Units & Measurement | Question Bank for JEE Main & Advanced (350+ Tests)

Net force down the incline 

= m g sin θ - F cos θ


Q.7. Position time curve of a particle moving along x-axis is as shown in x-t curve. The position of particle at t = 4s will be, 

Single Correct MCQs: Units & Measurement | Question Bank for JEE Main & Advanced (350+ Tests)

(a) 4√3m
(b) 2√3m
(c) 2 m
(d) 1 m

Correct Answer is option (a)

tan 60° = x/t

x = 4 x √3  m


Q.8. LetSingle Correct MCQs: Units & Measurement | Question Bank for JEE Main & Advanced (350+ Tests)be any vector another vector Single Correct MCQs: Units & Measurement | Question Bank for JEE Main & Advanced (350+ Tests)which is perpendicular to Ar can be expressed as
(a)Single Correct MCQs: Units & Measurement | Question Bank for JEE Main & Advanced (350+ Tests)
(b) Single Correct MCQs: Units & Measurement | Question Bank for JEE Main & Advanced (350+ Tests)
(c) Single Correct MCQs: Units & Measurement | Question Bank for JEE Main & Advanced (350+ Tests)
(d) Single Correct MCQs: Units & Measurement | Question Bank for JEE Main & Advanced (350+ Tests)

Correct Answer is option (a)
LetSingle Correct MCQs: Units & Measurement | Question Bank for JEE Main & Advanced (350+ Tests)is perpendicular toSingle Correct MCQs: Units & Measurement | Question Bank for JEE Main & Advanced (350+ Tests)

Single Correct MCQs: Units & Measurement | Question Bank for JEE Main & Advanced (350+ Tests)
⇒ AxBx + AyBy + AzBz = 0


Q.9. Of the following quantities, which one has dimensions different from the remaining three
(a) energy per unit volume
(b) force per unit area
(c) product of voltage and charge per unit volume
(d) angular momentum per unit mass

Correct Answer is option (d)

[energy per unit volume] = ML2T-2/L3 = ML-1T-2
[force per unit area] = MLT-2/L2 = ML-1T-2
 [product of voltage and charge per unit volume] = ML–1T–2 
[angular momentum per unit mass]= ML2 T–1 L. M–1 = L2T–1


Q.10. When 2.0347 is added to 15.7, the sum is 
(a) 17.7347
(b) 17.734
(c) 17.73
(d) 17.7

Correct Answer is option (d)

Since, the least number of places after decimal is 1, the final result will have same. On rounding off 17.7347 to one place after decimal it becomes 17.7


Q.11. A body travels uniformly a distance of (13.8 ± 0.2) m in a time (4.0 ± 0.3) s. The velocity of the body within error limits is
(a) (3.45 ± 0.2) ms-1
(b) (3.45 ± 0.3 ) ms-1
(c) (3.45 ± 0.4 ) ms-1
(d) (3.45 ± 0.5 ) ms
-1

Correct Answer is option (b)

Here  S = (13.8 ± 0.2) cm ;  t = ( 4.0 ± 0.3) s
∴ v = 13.8 /4.0 = 3.45ms-1
Also, Single Correct MCQs: Units & Measurement | Question Bank for JEE Main & Advanced (350+ Tests)
ΔV = ±0.3 (rounding off to one place of decimal)

V = 3.45 ± 0.3 ms-1


Q.12. The length and breadth of a metal sheet are 3.124 m and 3.002 m respectively. The area of this sheet up to four correct significant figures is
(a) 9.376 m2
(b) 9.378 m2
(c) 9.379 m2
(d) 9.388 m
2

Correct Answer is option  (b)
Given length (l) = 3.124 m and breadth (b) = 3.002 m.
We know that area of the sheet
(A) = l x b = 3.124 x 3.002 = 9.378248 m2.
Since both length and breadth have four significant figures, therefore area of the sheet after rounding off to four significant figures is 9.378 m2.


Q.13. The value of universal gravitation constant G = 6.67 x 10-11 N m2 kg-2. The value of G in units of g-1 cm3 s-2 is
(a) 6.67 x 10-8
(b) 6.67 x 10-7
(c) 6.67 x 10-9
(d) 6.67 x 10
-10

Correct Answer is option (a)

G = 6.67 x 10-11 Nm2 kg-2 
= 6.67 x 10-11 x (kg ms-2) x (m2) x (kg)-2
= 6.67 x 10-11 x  [ (1000 g ) x (100 cm) x s-2] x (100 cm)2 x (1000 g)-2
= 6.67 x 10-11 x 105 x 104 x 10-6 g-1 cm3 s-2
= 6.67 x 10-8 g-1 cm3 s-2


Q.14. If energy (E), momentum (P) and force (F) are chosen as fundamental units. The dimensions of mass in new system is
(a) E -1 P3
(b) E -1 P2
(c) E-2 P2
(d) none of these

Correct Answer is option  (a)

The dimensions of E, P and F in terms of M, L and T are
[E] = ML2T-2
[P] = MLT-1
[F] = MLT-2
Let  [M]= EaPFC 
or  [M] = (ML2T-2)a (MLT-1)b (MLT-2)C
Equating the powers of M, L and T, we have a = -1, b = 2 and c = 0
Hence  [M] = E-1 P2 


Q.15. Number of particles is given by Single Correct MCQs: Units & Measurement | Question Bank for JEE Main & Advanced (350+ Tests)crossing a unit area perpendicular to X-axis in unit time, where n1 and n2 are number of particles per unit volume for the value of x meant to x2 and x1. Find dimensions of D called as diffusion constant 
(a) M0LT
(b) M0L2 T-4 
(b) M0L T-3 
(d) M0L2 T-1

Correct Answer is option (d)

[n] = Number of particles crossing a unit area in unit time   = [L-2T-1]

[n2] = [n1 ] = number of particles per unit volume = [L–3]
[x2] = [x1] = positions

Single Correct MCQs: Units & Measurement | Question Bank for JEE Main & Advanced (350+ Tests) 


Q.16. If the dimensions of length are expressed as Gxcyhz ; where G, c and h  are the universal gravitational constant, speed of light and Planck's constant respectively, then
(a) x = 1/2 , y = 1/2
(b) x = 1/2 , z = 1/2
(c) y = 1/2 , z = 3/2
(d) None of these 

Correct Answer is option (b)
Length ∝Gxcyhz 
L= [M-1L3T-2]x [LT-1]y [ML2T-1]z
By comparing the power of M, L and T  in both sides we get
-x +  z = 0, 3x +  y + 2 z  = 1 and -2x -y-z = 0
By solving above three equations we get
x = 1/2, y = -3/2, z = 1/2


Q.17. A highly rigid cubical block A of small mass M and side L is fixed rigidly onto another cubical block B of the same dimensions and of low modulus of rigidity η such that the lower face of A completely covers the upper face of B. The lower face of Bis rigidly held on a horizontal surface. A small force F is applied perpendicular to one of the side faces of A. After the force is withdrawn block A executes small oscillations. The time period of which is given by
(a) Single Correct MCQs: Units & Measurement | Question Bank for JEE Main & Advanced (350+ Tests)
(b) Single Correct MCQs: Units & Measurement | Question Bank for JEE Main & Advanced (350+ Tests) 
(c) Single Correct MCQs: Units & Measurement | Question Bank for JEE Main & Advanced (350+ Tests)
(d) Single Correct MCQs: Units & Measurement | Question Bank for JEE Main & Advanced (350+ Tests)

Correct Answer is option (d)

By substituting the dimensions of mass [M], length [L] and coefficient of rigidity [ML-1T-2] we get Single Correct MCQs: Units & Measurement | Question Bank for JEE Main & Advanced (350+ Tests)is the right formula for time period of oscillations.


Q.18. If the constant of gravitation (G) , Planck's constant (h) and the velocity of light (c) be chosen as fundamental units. The dimension of the radius of gyration is
(a) h1/2c-3/2G1/2
(b) h1/2c3/2G1/2
(c) h1/2c-3/2G-1/2
(d) h-1/2c-3/2G
1/2

Correct Answer is option (a)
Let radius of gyration [k] ∝ [h]x [c ]y [G]z
By substituting the dimension of [k ] = [L]
[h] = [ML2T-1], [c ] = [LT-1], [G] = [M-1L3 T-2]
and by comparing the power of both sides
We can get x = 1/2, y = -3/2, z = 1/2
So, dimension of radius of gyration are[h]1/2[c]-3/2[G]1/2


Q.19. In the relation Single Correct MCQs: Units & Measurement | Question Bank for JEE Main & Advanced (350+ Tests) P is pressure, Z is the distance, k is Boltzmann constant and θ is the temperature. The dimensional formula of β will be
(a) [M0L2T0]
(b) [M1L2T1]
(c) [M1L0T-1]
(d) [M0L2T-1]

Correct Answer is option (a)

In given equation, αz/kθ should be dimensionless

Single Correct MCQs: Units & Measurement | Question Bank for JEE Main & Advanced (350+ Tests)


Q.20. The dimensions of h/e (h = Planck’s constant and  e = electronic charge) are same as that of:
(a) magnetic flux
(b) electric flux
(c) electric field
(d) magnetic field

Correct Answer is option (a)
Electric potential v ≡ dφ/dt    ...(1)
(Faraday’s law) and eV = hv (photo-electric effect)
or V = (h/e)v ...(2)
 From Eqs. (1) and (2) we can see that magnetic flux (ϕ) and h/e have the same dimensions.

The document Single Correct MCQs: Units & Measurement | Question Bank for JEE Main & Advanced (350+ Tests) is a part of the JEE Course Question Bank for JEE Main & Advanced (350+ Tests).
All you need of JEE at this link: JEE
376 docs

FAQs on Single Correct MCQs: Units & Measurement - Question Bank for JEE Main & Advanced (350+ Tests)

1. What are the fundamental units of measurement in physics?
Ans. The fundamental units of measurement in physics are length (meter), mass (kilogram), time (second), electric current (ampere), temperature (kelvin), amount of substance (mole), and luminous intensity (candela).
2. How is a derived unit different from a fundamental unit?
Ans. A derived unit is obtained by combining the fundamental units of measurement. It represents a physical quantity that is derived from the fundamental quantities. For example, the unit of velocity is meters per second (m/s), which is derived from the fundamental units of length and time.
3. What is the SI system of units?
Ans. The SI (International System of Units) is a globally accepted system of measurement. It is based on seven fundamental units and their combinations to derive other units. The SI system provides a standardized and uniform way of expressing physical quantities.
4. How are prefixes used in the SI system?
Ans. Prefixes are used in the SI system to represent decimal multiples or submultiples of the base units. For example, kilo is used to represent a thousand times, milli represents one-thousandth, and centi represents one-hundredth. This allows for easy conversion between different magnitudes of a quantity.
5. Why is standardization of units important in scientific measurements?
Ans. Standardization of units is important in scientific measurements to ensure consistency, accuracy, and comparability of results. It allows scientists and researchers from different countries and fields to communicate and share their findings effectively. Standard units also facilitate the formulation and testing of scientific theories and laws.
Related Searches

Previous Year Questions with Solutions

,

Semester Notes

,

Single Correct MCQs: Units & Measurement | Question Bank for JEE Main & Advanced (350+ Tests)

,

Single Correct MCQs: Units & Measurement | Question Bank for JEE Main & Advanced (350+ Tests)

,

ppt

,

Free

,

Viva Questions

,

shortcuts and tricks

,

video lectures

,

pdf

,

Important questions

,

practice quizzes

,

study material

,

Summary

,

past year papers

,

Objective type Questions

,

Exam

,

Sample Paper

,

Extra Questions

,

Single Correct MCQs: Units & Measurement | Question Bank for JEE Main & Advanced (350+ Tests)

,

MCQs

,

mock tests for examination

;