Civil Engineering (CE) Exam  >  Civil Engineering (CE) Notes  >  Solution to Boundary Value Problems

Solution to Boundary Value Problems - Civil Engineering (CE) PDF Download

Solution to Boundary Value Problems
A boundary value problem is one in which we specify the traction applied on the surface of a body and/or displacement of the boundary of a body and are interested in finding the displacement and/or the stress at any interior point in the body or on part of the boundary where they were not specified. This specification of the boundary traction and/or displacement is called as boundary condition. The boundary condition is in a sense constitutive relation for the boundary. It tells how the body and its surroundings interact. Thus, in a boundary value problem one needs to prescribe the geometry of the body, the constitutive relation for the material that the body is made up of for the process it is going to be subjected to and the boundary condition. Using this information one needs to find the displacement and stress that the body is subjected to. The so found displacement and stress field should satisfy the equilibrium equations, constitutive relations, compatibility conditions and boundary conditions.
The purpose of formulating and solving a boundary value problem is to:
1. To ensure the stresses are within prescribed limits
2. To ensure that the displacements are within prescribed limits
3. To find the distribution of forces and moments on part of the boundary where displacements are specified

There are four type of boundary conditions. They are
1. Displacement boundary condition: Here the displacement of the entire boundary of the body alone is specified. This is also called as Dirichlet boundary condition
2. Traction boundary condition: Here the traction on the entire boundary of the body alone is specified. This is also called as Neumann boundary condition
3. Mixed boundary condition: Here the displacement is specified on part of the boundary and traction is specified on the remaining part of the boundary. Both traction as well as displacement are not specified over any part of boundary
4. Robin boundary condition: Here both the displacement and the traction are specified on the same part of the boundary.

There are three methods by which the displacement and stress field in the body can be found, satisfying all the required governing equations and the boundary conditions. Outline of these methods are presented next. The choice of a method depends on the type of boundary condition.

Displacement method 
Here displacement field is taken as the basic unknown. Then, using the strain displacement relation, (1.14) the strain is computed. This strain in substituted in the constitutive relation, (1.17) to obtain the stress. The stress is then substituted in the equilibrium equation (1.6) to obtain 3 second order partial differential equations in terms of the components of the displacement field as,

Solution to Boundary Value Problems - Civil Engineering (CE)                    (1.22)
where ∆(�) stands for the Laplace operator and t denotes time. Equation (1.22) is called the Navier-Lam`e equations. Thus, in the displacement method equation (1.22) is solved along with the prescribed boundary condition.
If three dimensional solid elements are used for modeling the body in finite element programs, then the weakened form of equation (1.22) is solved for the specified boundary conditions.

Stress method 
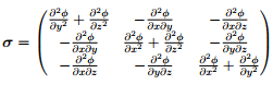
In this method, the stress field is assumed such that it satisfies the equilibrium equations as well as the prescribed traction boundary conditions. For example, in the absence of body forces and static equilibrium, it can be easily seen that if the Cartesian components of the stress are derived from a potential, Solution to Boundary Value Problems - Civil Engineering (CE)  called as the Airy’s stress potential as,

Solution to Boundary Value Problems - Civil Engineering (CE)                                                                            (1.23)

then the equilibrium equations are satisfied. Having arrived at the stress, the strain is computed using

Solution to Boundary Value Problems - Civil Engineering (CE)                                                                                                 (1.24)

obtained by inverting the constitutive relation, (1.17). In order to be able to find a smooth displacement field from this strain, it has to satisfy compatibility condition (1.15). This procedure is formulated in chapter 7 and is followed to solve some boundary value problems in chapters 8 and 9.

Semi-inverse method 
This method is used to solve problems when the constitutive relation is not given by Hooke’s law (1.17). When the constitutive relation is not given by Hooke’s law, displacement method results in three coupled nonlinear partial differential equations for the displacement components which are difficult to solve. Hence, simplifying assumptions are made for the displacement field, wherein a the displacement field is prescribed but for some constants and/or some functions. Except in cases where the constitutive relation is of the form (1.16), one has to make an assumption on the components of the stress which would be nonzero for this prescribed displacement field. Then, these nonzero components of the stress field is found in terms of the constants and unknown functions in the displacement field. On substituting these stress components in the equilibrium equations and boundary conditions, one obtains differential equations for the unknown functions and algebraic equations to find the unknown constants. The prescription of the displacement field is made in such a way that it results in ordinary differential equations governing the form of the unknown functions. Since part displacement and part stress are prescribed it is called semi-inverse method. This method of solving equations would not be illustrated in this course.

Finally, we say that the boundary value problem is well posed if (1) There exist a displacement and stress field that satisfies the boundary conditions and the governing equations (2) There exist only one such displacement and stress field (3) Small changes in the boundary conditions causes only small changes in the displacement and stress fields. The boundary value problem obtained when Hooke’s law (1.17) is used for the constitutive relation is known to be well posed.

The document Solution to Boundary Value Problems - Civil Engineering (CE) is a part of Civil Engineering (CE) category.
All you need of Civil Engineering (CE) at this link: Civil Engineering (CE)

FAQs on Solution to Boundary Value Problems - Civil Engineering (CE)

1. What are boundary value problems in mathematics?
Ans. Boundary value problems in mathematics involve finding a solution to a differential equation that satisfies certain conditions at the boundaries of the domain. These conditions are typically specified as values or functions that the solution must satisfy at the endpoints of the domain.
2. How are boundary value problems different from initial value problems?
Ans. Boundary value problems differ from initial value problems in that the conditions for a boundary value problem are specified at the boundaries of the domain, while the conditions for an initial value problem are specified at a single point within the domain. In boundary value problems, the solution must satisfy the given conditions at multiple points, whereas in initial value problems, the solution is determined by the conditions at a single point.
3. What are some common methods used to solve boundary value problems?
Ans. Some common methods used to solve boundary value problems include the shooting method, finite difference method, finite element method, and the method of separation of variables. These methods vary in complexity and applicability depending on the specific characteristics of the boundary value problem.
4. Can boundary value problems have multiple solutions?
Ans. Yes, boundary value problems can have multiple solutions. This can occur when the given conditions at the boundaries of the domain allow for different solutions that satisfy the prescribed conditions. In such cases, additional criteria or constraints may be needed to uniquely determine the solution.
5. How are boundary value problems applied in real-world problems?
Ans. Boundary value problems find applications in various fields, including physics, engineering, and finance. For example, in heat transfer problems, boundary value problems are used to model temperature distribution within a system with specified temperature conditions at the boundaries. In structural analysis, boundary value problems are used to determine the deformation and stresses of a structure subject to certain constraints at its boundaries.
Download as PDF

Top Courses for Civil Engineering (CE)

Related Searches

study material

,

Objective type Questions

,

Sample Paper

,

Solution to Boundary Value Problems - Civil Engineering (CE)

,

Extra Questions

,

pdf

,

Exam

,

past year papers

,

Important questions

,

Semester Notes

,

MCQs

,

shortcuts and tricks

,

mock tests for examination

,

video lectures

,

Summary

,

ppt

,

Solution to Boundary Value Problems - Civil Engineering (CE)

,

Free

,

Solution to Boundary Value Problems - Civil Engineering (CE)

,

Viva Questions

,

practice quizzes

,

Previous Year Questions with Solutions

;