This EduRev document offers 20 Multiple Choice Questions (MCQs) from the topic Speed, Time & Distance (Level - 1). These questions are of Level - 1 difficulty and will assist you in the preparation of CAT & other MBA exams. You can practice/attempt these CAT Multiple Choice Questions (MCQs) and check the explanations for a better understanding of the topic.
Question for Practice Questions Level 1: Speed, Time & Distance - 2
Try yourself:What is the time taken by Chandu to cover a distance of 360 km by a motorcycle moving at a speed of 10m/s?
Explanation
Since Chandu is moving at a speed of 10 m/s and he has to cover 360 km or 360000 meters,
the time taken would be given by 360000/10 seconds = 36000 seconds = 36000/60 minutes = 600 minutes = 10 hours.
Report a problem
Question for Practice Questions Level 1: Speed, Time & Distance - 2
Try yourself:Rajdhani Express travels 650 km in 5 h and another 940 km in 10 h. What is the average speed of train?
Explanation
Total distance/Total time = 1590/15 = 106 kmph.
Report a problem
Question for Practice Questions Level 1: Speed, Time & Distance - 2
Try yourself:Rishikant, during his journey, travels for 20 minutes at a speed of 30 km/h, another 30 minutes at a speed of 50 km/h, and 1 hour at a speed of 50 km/h and 1 hour at a speed of 60 km/h. What is the average velocity?
Explanation
The distance covered in the various phases of his travel would be: 10 km + 25 km + 50 km + 60 km.
Thus the total distance covered = 145 km in 2 hours 50 minutes → 145 km in 2.8333 hours → 51.18 kmph
Report a problem
Question for Practice Questions Level 1: Speed, Time & Distance - 2
Try yourself:Narayan Murthy walking at a speed of 20 km/h reaches his college 10 minutes late. Next time he increases his speed by 5 km/h, but finds that he is still late by 4 minutes. What is the distance of his college from his house?
Explanation
By increasing his speed by 25%, he will reduce his time by 20%.
(This corresponds to a 6 minute drop in his time for travel—since he goes from being 10 minutes late to only 4 minutes late.)
Hence, his time originally must have been 30 minutes.
Hence, the required distance is 20 kmph × 0.5 hours = 10 km.
Report a problem
Question for Practice Questions Level 1: Speed, Time & Distance - 2
Try yourself:A motor car does a journey in 17.5 hours, covering the first half at 30 km/h and the second half at 40 km/h. Find the distance of the journey.
Explanation
If the car does half the journey @ 30 kmph and the other half at 40 kmph it’s average speed can be estimated using weighted averages.
Since, the distance traveled in each part of the journey is equal, the ratio of time for which the car would travel would be inverse to the ratio of speeds.
Since, the speed ratio is 3:4, the time ratio for the two halves of the journey would be 4:3.
The average speed of the car would be: (30 × 4 + 40 × 3)/7 = 240/7 kmph. It is further known that the car traveled for 17.5 hours (which is also equal to 35/2 hours).
Thus, total distance = average speed × total time = (240 × 35)/(2 × 7) = 120 × 5 = 600 km
Report a problem
Question for Practice Questions Level 1: Speed, Time & Distance - 2
Try yourself:Manish travels a certain distance by car at the rate of 12 km/h and walks back at the rate of 3 km/h. The whole journey took 5 hours. What is the distance he covered on the car?
Explanation
You can solve this question using the options. Option (a) fits the given situation best as if we take the distance as 12 km he would have taken 1 hour to go by car and 4 hours to come back walking—a total of 5 hours as given in the problem.
Report a problem
Question for Practice Questions Level 1: Speed, Time & Distance - 2
Try yourself:A car driver, driving in a fog, passes a pedestrian who was walking at the rate of 2 km/h in the same direction. The pedestrian could see the car for 6 minutes and it was visible to him up to a distance of 0.6 km. What was the speed of the car?
Explanation
In 6 minutes, the car goes ahead by 0.6 km.
Hence, the relative speed of the car with respect to the pedestrian is equal to 6 kmph, since, the pedestrian is walking at 2 kmph, hence, the net speed is 8 kmph.
Report a problem
Question for Practice Questions Level 1: Speed, Time & Distance - 2
Try yourself:Harsh and Vijay move towards Hosur starting from IIM, Bangalore, at a speed of 40 km/h and 60 km/h respectively. If Vijay reaches Hosur 200 minutes earlier then Harsh, what is the distance between IIM, Bangalore, and Hosur?
Explanation
At 40 kmph, Harsh would cover (200/60) × 40 km. = 400/3 km. = 133.33 km.
This represents the distance by which Vijay would be ahead of Harsh, when Vijay reaches the endpoint means in essence that Vijay must have travelled for 133.33/20 hours → 6.66 hours Hence, the distance is 60 × 6.66 = 400 km.
Report a problem
Question for Practice Questions Level 1: Speed, Time & Distance - 2
Try yourself:A passenger train takes 2 h less for a journey of 300 kilometres if its speed is increased by 5 kmph over its usual speed. Find the usual speed.
Explanation
The required speed s would be satisfying the equation:
300/s – 300/(s + 5) = 2
Solving for s from the options it is clear that s = 25.
Report a problem
Question for Practice Questions Level 1: Speed, Time & Distance - 2
Try yourself:A plane left half an hour later than the scheduled time and in order to reach its destination 1500 kilometre away in time, it had to increase its speed by 33.33 per cent over its usual speed. Find its increased speed.
Explanation
Report a problem
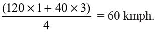
Question for Practice Questions Level 1: Speed, Time & Distance - 2
Try yourself:A train moves at a constant speed of 120 km/h for one kilometre and at 40 kmph for the next one kilometre. What is the average speed of the train?
Explanation
The average speed would be given by:

Report a problem
Question for Practice Questions Level 1: Speed, Time & Distance - 2
Try yourself:A person travelled a distance of 200 kilometre between two cities by a car covering the first quarter of the journey at a constant speed of 40 km/h and the remaining three quarters at a constant speed of x km/h. If the average speed of the person for the entire journey was 53.33 km/h what is the value of x?
Explanation
The total time taken by the motorist would be 200/53.333 = 200 × 3/160 = 3.75 hours = 3 hours 45 minutes.
In the first half of the journey the motorist covers 1/4th the distance @ 40kmph.
This means that he takes 50/40 = 1.25 hours = 1 hour 15 minutes in covering the first 50 kms.
This also means that he covers the remaining distance of 150 km in 2 hours 30 minutes → a speed of 60 kmph.
Hence, option (b) is correct.
Report a problem
Question for Practice Questions Level 1: Speed, Time & Distance - 2
Try yourself:Two cars started simultaneously toward each other from town A and B, that are 480 km apart. It took the first car travelling from A to B 8 hours to cover the distance and the second car travelling from B to A 12 hours. Determine at what distance from A the two cars meet.
Explanation
The speed of the first car would be 60 kmph while the speed of the second car would be 40 kmph.
The relative speed of the two cars would be 100 kmph.
To cover 480 km they would take 480/100 = 4.8 hours → In 4.8 hours, the car traveling from A to B would have traveled 4.8 → 60 = 288 kms.
Report a problem
Question for Practice Questions Level 1: Speed, Time & Distance - 2
Try yourself:X and Y are two stations 600 km apart. A train starts from X and moves towards Y at the rate of 25 km/h. Another train starts from Y at the rate of 35 km/h. How far from X they will cross each other?
Explanation
The distance would get divided in the ratio of speeds (since time is constant).
Thus, the distance ratio would be 5 : 7 and required distance = 5/12 × 600 = 250 km.
Report a problem
Question for Practice Questions Level 1: Speed, Time & Distance - 2
Try yourself:A starts from a point that is on the circumference of a circle, moves 600 metre in the North direction and then again moves 800 metre East and reaches a point diametrically opposite the starting point. Find the diameter of the circle?
Explanation
The diameter of the circle would be given by the hypotenuse of the right triangle with legs 600 and 800 respectively.
Hence, the required diameter = 1000 meters.
Report a problem
Question for Practice Questions Level 1: Speed, Time & Distance - 2
Try yourself:A motorboat went downstream for 28 km and immediately returned. It took the boat twice as long to make the return trip. If the speed of the river flow were twice as high, the trip downstream and back would take 672 minutes. Find the speed of the boat in still water and the speed of the river flow.
Explanation
From the situation described in the first condition itself we can see that the speed of coming back has to be double the speed of going downstream.
Checking the options, only option (a) fits this condition i.e. Downstream speed = 2 × Upstream speed.
Hence, option (a) is correct.
Report a problem
Question for Practice Questions Level 1: Speed, Time & Distance - 2
Try yourself:Walking at 3/4 of his normal speed, Abhishek is 16 minutes late in reaching his office. The usual time taken by him to cover the distance between his home and his office is
Explanation
When speed goes down to three fourth (i.e. 75%) time will go up to 4/3rd (or 133.33%) of the original time.
Since, the extra time required is 16 minutes, it should be equated to 1/3rd of the normal time.
Hence, the usual time required will be 48 minutes.
Report a problem
Question for Practice Questions Level 1: Speed, Time & Distance - 2
Try yourself:Two trains for Mumbai leave Delhi at 6 : 00 a.m. and 6 : 45 a.m. and travel at 100 kmph and 136 kmph respectively. How many kilometres from Delhi will the two trains be together?
Explanation
The train that leaves at 6 am would be 75 km ahead of the other train when it starts.
Also, the relative speed being 36 kmph, the distance from Mumbai would be:
(75/36) × 13 6 = 283.33 km
Report a problem
Question for Practice Questions Level 1: Speed, Time & Distance - 2
Try yourself:Shyam’s house, his office and his gym are all equidistant from each other. The distance between any 2 of them is 4 km. Shyam starts walking from his gym in a direction parallel to the road connecting his office and his house and stops when he reaches a point directly east of his office. He then reverses direction and walks till he reaches a point directly south of his office. The total distance walked by Shyam is
Explanation

From the figure above we see that Shyam would have walked a distance of 4 + 4 + 4 = 12 km. (G to P1, P1 to G and G to P2).
Report a problem
Question for Practice Questions Level 1: Speed, Time & Distance - 2
Try yourself:Walking at 3/4 of his normal speed, a man takes 2(1/2) hours more than the normal time. Find the normal time.
Explanation
When his speed becomes 3/4th, his time would increase by 1/3rd. Thus, the normal time = 7.5 hrs. (since increased time = 2.5 hrs).
Report a problem