Electrical Engineering (EE) Exam  >  Electrical Engineering (EE) Notes  >  Control Systems  >  State and Output Feedback

State and Output Feedback | Control Systems - Electrical Engineering (EE) PDF Download

Introduction

This chapter explains how to control systems using feedback in a simple way, focusing on systems that follow straight-line rules and have one control knob. Feedback lets us tweak the system’s behavior by setting certain key values (eigenvalues) wherever we want. The “state” is just a set of clues that helps us guess what the system will do next. If we can’t directly see the state, we can build a tool called an observer to figure it out using what we know about the system and its inputs and outputs. The controller we end up with matches the system’s complexity and has a built-in version of the system itself. Even though we focus on basic systems here, the same ideas work for more complicated ones with lots of controls and results.

State and Output Feedback | Control Systems - Electrical Engineering (EE)

Reachability

We begin by disregarding the output measurements and focus on the evolution of the state which is given by

State and Output Feedback | Control Systems - Electrical Engineering (EE)(5.1)

where x ∈ R.^n , u ∈ R, A is an n × n matrix and B an n × 1 matrix. A fundamental question is if it is possible to find control signals so that any point in the state space can be reached.

First observe that possible equilibria for constant controls are given by

State and Output Feedback | Control Systems - Electrical Engineering (EE)This means that possible equilibria lies in a one (or possibly higher) dimensional subspace. If the matrix A is invertible this subspace is spanned by A^−1B.

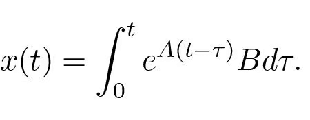
Even if possible equilibria lie in a one dimensional subspace it may still be possible to reach all points in the state space transiently. To explore this we will first give a heuristic argument based on formal calculations with impulse functions. When the initial state is zero the response of the state to a unit step in the input is given by

State and Output Feedback | Control Systems - Electrical Engineering (EE)(5.2)

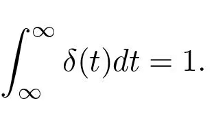
The derivative of a unit step function is the impulse function δ(t), which may be regarded as a function which is zero everywhere except at the origin and with the property that

State and Output Feedback | Control Systems - Electrical Engineering (EE)The response of the system to a impulse function is thus the derivative of (5.2)

State and Output Feedback | Control Systems - Electrical Engineering (EE)

Similarly we find that the response to the derivative of a impulse function is

State and Output Feedback | Control Systems - Electrical Engineering (EE)The input

State and Output Feedback | Control Systems - Electrical Engineering (EE)thus gives the state

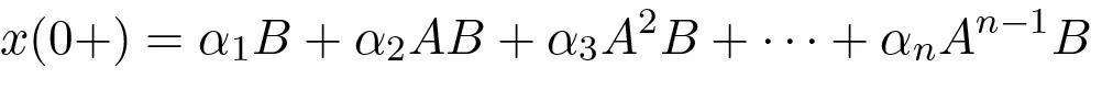
State and Output Feedback | Control Systems - Electrical Engineering (EE)Hence, right after the initial time t = 0, denoted t = 0+, we have

State and Output Feedback | Control Systems - Electrical Engineering (EE)The right hand is a linear combination of the columns of the matrix

State and Output Feedback | Control Systems - Electrical Engineering (EE)(5.3)To reach an arbitrary point in the state space we thus require that there are n linear independent columns of the matrix Wc. The matrix is called the reachability matrix.

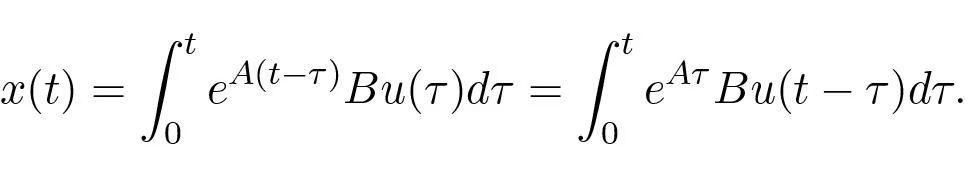
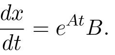
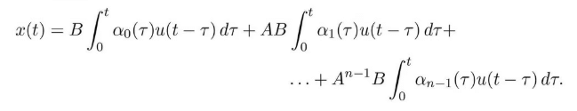
An input consisting of a sum of impulse functions and their derivatives is a very violent signal. To see that an arbitrary point can be reached with smoother signals we can also argue as follow. Assuming that the initial condition is zero, the state of a linear system is given by

State and Output Feedback | Control Systems - Electrical Engineering (EE)It follows from the theory of matrix functions that


State and Output Feedback | Control Systems - Electrical Engineering (EE)

and we find that 

State and Output Feedback | Control Systems - Electrical Engineering (EE)

Again we observe that the right hand side is a linear combination of the columns of the reachability matrix Wr given by (5.3).

We illustrate by two examples.

Example 5.1 (Reachability of the Inverted Pendulum). Consider the inverted pendulum example introduced in Example 3.5. The nonlinear equations of motion are given in equation (3.5)

State and Output Feedback | Control Systems - Electrical Engineering (EE)Linearizing this system about x = 0, the linearized model becomes

State and Output Feedback | Control Systems - Electrical Engineering (EE)(5.4)

The dynamics matrix and the control matrix are


State and Output Feedback | Control Systems - Electrical Engineering (EE)The reachability matrix is
State and Output Feedback | Control Systems - Electrical Engineering (EE)(5.5)This matrix has full rank and we can conclude that the system is reachable. This implies that we can move the system from any initial state to any final state and, in particular, that we can always find an input to bring the system from an initial state to the equilibrium.

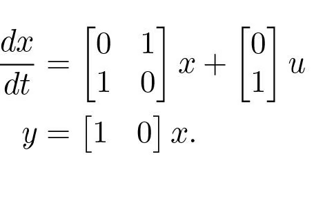
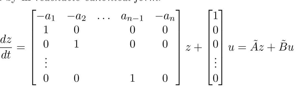
Example 5.2 (System in Reachable Canonical Form). Next we will consider a system by in reachable canonical form:

State and Output Feedback | Control Systems - Electrical Engineering (EE)To show that Wr is full rank, we show that the inverse of the reachability matrix exists and is given by

State and Output Feedback | Control Systems - Electrical Engineering (EE)(5.6)To show this we consider the product

State and Output Feedback | Control Systems - Electrical Engineering (EE)where

State and Output Feedback | Control Systems - Electrical Engineering (EE)

State and Output Feedback | Control Systems - Electrical Engineering (EE)The vectors wk satisfy the relation

State and Output Feedback | Control Systems - Electrical Engineering (EE)

and iterating this relation we find that
State and Output Feedback | Control Systems - Electrical Engineering (EE)which shows that the matrix (5.6) is indeed the inverse of W˜ r.

Question for State and Output Feedback
Try yourself:
What is the purpose of the reachability matrix in control systems?
View Solution

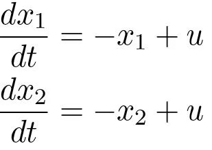
Systems That Are Not Reachable

It is useful of have an intuitive understanding of the mechanisms that make a system unreachable. An example of such a system is given in Figure 5.1. The system consists of two identical systems with the same input. The intuition can also be demonstrated analytically. We demonstrate this by a simple example.


State and Output Feedback | Control Systems - Electrical Engineering (EE)Figure 5.1: A non-reachable system.Example 5.3 (Non-reachable System). Assume that the systems in Figure 5.1 are of first order. The complete system is then described by


State and Output Feedback | Control Systems - Electrical Engineering (EE)The reachability matrix is

State and Output Feedback | Control Systems - Electrical Engineering (EE)

This matrix is singular and the system is not reachable. One implication of this is that if x1 and x2 start with the same value, it is never possible to find an input which causes them to have different values. Similarly, if they start with different values, no input will be able to drive them both to zero.

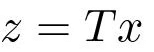
Coordinate Changes

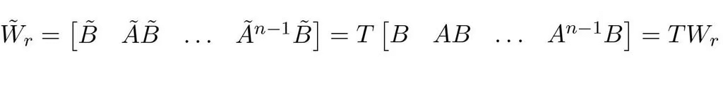
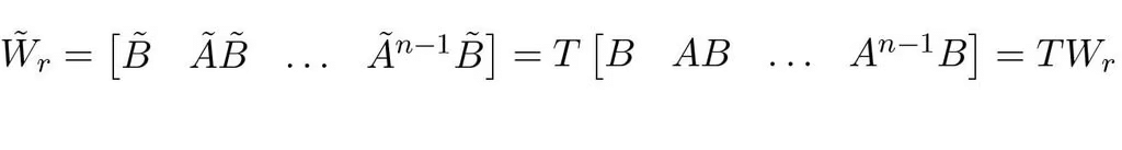
It is interesting to investigate how the reachability matrix transforms when the coordinates are changed. Consider the system in (5.1). Assume that the coordinates are changed to z = T x. As shown in the last chapter, that the dynamics matrix and the control matrix for the transformed system are

State and Output Feedback | Control Systems - Electrical Engineering (EE)

The reachability matrix for the transformed system then becomes

State and Output Feedback | Control Systems - Electrical Engineering (EE)We have

State and Output Feedback | Control Systems - Electrical Engineering (EE)State and Output Feedback | Control Systems - Electrical Engineering (EE)

The reachability matrix for the transformed system is thus

State and Output Feedback | Control Systems - Electrical Engineering (EE)(5.7)This formula is useful for finding the transformation matrix T that converts a system into reachable canonical form (using W˜ r from Example 5.2).

State Feedback

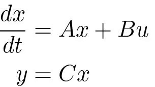
Consider a system described by the linear differential equation

State and Output Feedback | Control Systems - Electrical Engineering (EE)(5.8)The output is the variable that we are interested in controlling. To begin with it is assumed that all components of the state vector are measured. Since the state at time t contains all information necessary to predict the future behavior of the system, the most general time invariant control law is function of the state, i.e.

State and Output Feedback | Control Systems - Electrical Engineering (EE)

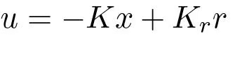
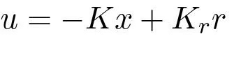
If the feedback is restricted to be a linear, it can be written as

State and Output Feedback | Control Systems - Electrical Engineering (EE)(5.9)where r is the reference value. The negative sign is simply a convention to indicate that negative feedback is the normal situation. The closed loop system obtained when the feedback (5.8) is applied to the system (5.9) is given by

State and Output Feedback | Control Systems - Electrical Engineering (EE)(5.10)

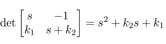
It will be attempted to determine the feedback gain K so that the closed loop system has the characteristic polynomial

State and Output Feedback | Control Systems - Electrical Engineering (EE)(5.11)This control problem is called the eigenvalue assignment problem or the pole placement problem (we will define “poles” more formally in a later chapter).

Question for State and Output Feedback
Try yourself:
What is an implication of a singular reachability matrix in a system?
View Solution

Examples

We will start by considering a few examples that give insight into the nature of the problem.

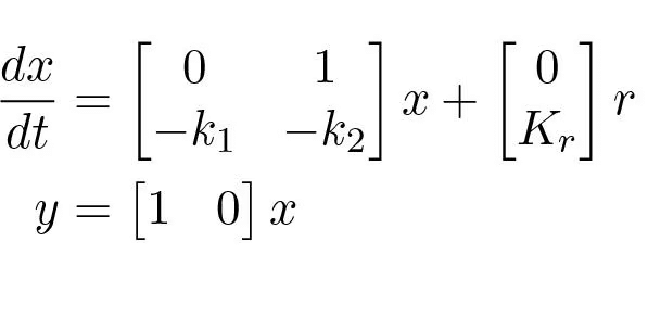
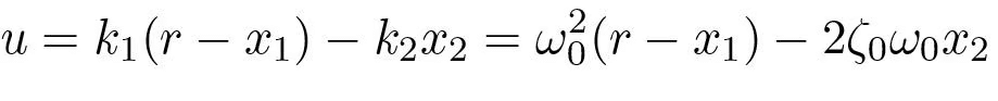
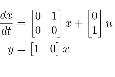
Example 5.4 (The Double Integrator). 

The double integrator is described by

State and Output Feedback | Control Systems - Electrical Engineering (EE)

Introducing the feedback

State and Output Feedback | Control Systems - Electrical Engineering (EE)

the closed loop system becomes

State and Output Feedback | Control Systems - Electrical Engineering (EE)

The closed loop system has the characteristic polynomial

State and Output Feedback | Control Systems - Electrical Engineering (EE)(5.12)

Assume it is desired to have a feedback that gives a closed loop system with the characteristic polynomial

State and Output Feedback | Control Systems - Electrical Engineering (EE)

Comparing this with the characteristic polynomial of the closed loop system we find find that the feedback gains should be chosen as

State and Output Feedback | Control Systems - Electrical Engineering (EE)

To have unit steady state gain the parameter Kr must be equal to k1 = ω02 . The control law can thus be written as

State and Output Feedback | Control Systems - Electrical Engineering (EE)

The General Case

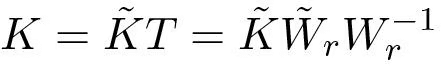
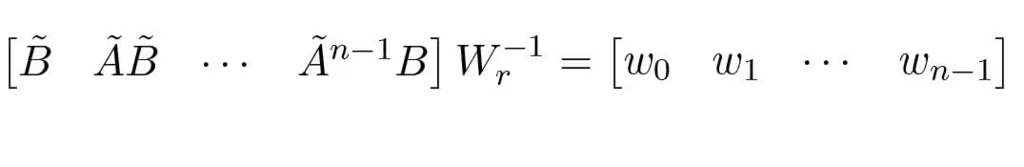
To solve the problem in the general case, we simply change coordinates so that the system is in reachable canonical form. Consider the system (5.8). Change the coordinates by a linear transformation
State and Output Feedback | Control Systems - Electrical Engineering (EE)so that the transformed system is in reachable canonical form (5.13). For such a system the feedback is given by (5.14) where the coefficients are given by (5.16). Transforming back to the original coordinates gives the feedback

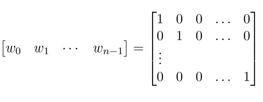
State and Output Feedback | Control Systems - Electrical Engineering (EE)It now remains to find the transformation. To do this we observe that the reachability matrices have the property

State and Output Feedback | Control Systems - Electrical Engineering (EE)

The transformation matrix is thus given by

State and Output Feedback | Control Systems - Electrical Engineering (EE)(5.18)

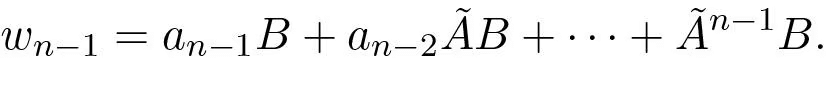
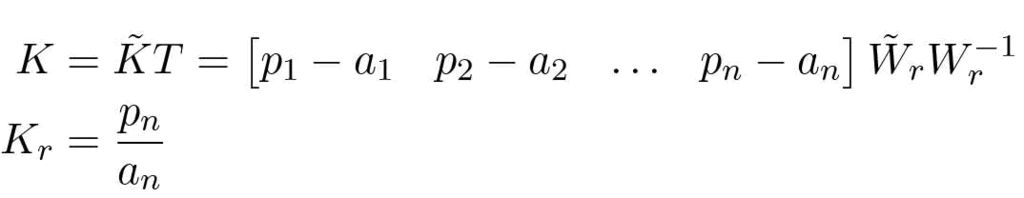
and the feedback gain can be written as

State and Output Feedback | Control Systems - Electrical Engineering (EE)(5.19)

Notice that the matrix W˜ r is given by (5.6). The feedforward gain Kr is given by equation (5.17).

The results obtained can be summarized as follows.

Theorem 5.1 (Pole-placement by State Feedback).
Consider the system given by equation (5.8)

State and Output Feedback | Control Systems - Electrical Engineering (EE)with one input and one output. If the system is reachable there exits a feedback


State and Output Feedback | Control Systems - Electrical Engineering (EE)that gives a closed loop system with the characteristic polynomial

State and Output Feedback | Control Systems - Electrical Engineering (EE)The feedback gain is given by

State and Output Feedback | Control Systems - Electrical Engineering (EE)

where ai are the coefficients of the characteristic polynomial of the matrix A and the matrices Wr and W˜ r are given by

State and Output Feedback | Control Systems - Electrical Engineering (EE)Remark 5.1 (A mathematical interpretation). Notice that the eigenvalue placement problem can be formulated abstractly as the following algebraic problem. Given an n × n matrix A and an n × 1 matrix B, find a 1 × n matrix K such that the matrix A − BK has prescribed eigenvalues.

Computing the Feedback Gain

We have thus obtained a solution to the problem and the feedback has been described by a closed form solution.

For simple problems it is easy to solve the problem by the following simple procedure: Introduce the elements ki of K as unknown variables. Compute the characteristic polynomial

State and Output Feedback | Control Systems - Electrical Engineering (EE)

Equate coefficients of equal powers of s to the coefficients of the desired characteristic polynomial

State and Output Feedback | Control Systems - Electrical Engineering (EE)

This gives a set of equations to figure out the values of ki k_i ki, which can always be solved if the system is observable, like in Example 5.4. For bigger systems, equation (5.19) is easier to use and works for calculations, but with really large systems, it’s not as reliable because it involves tricky math with polynomials and big matrix powers. There are better ways to do it numerically, such as using MATLAB’s acker or place tools.

Question for State and Output Feedback
Try yourself:
What does the feedback gain depend on in the context of the closed loop system?
View Solution

Output Feedback

In this section we will consider the same system as in the previous sections, i.e. the nth order system described by

State and Output Feedback | Control Systems - Electrical Engineering (EE)(5.28)where only the output is measured. As before it will be assumed that u and y are scalars. It is also assumed that the system is reachable and observable. In Section 5.3 we had found a feedback

State and Output Feedback | Control Systems - Electrical Engineering (EE)

When all states can be measured, Section 5.4 showed how to build an observer to estimate the state x^ \hat{x} x^ using inputs and outputs. Here, we’ll mix these ideas to create a feedback that sets the desired closed-loop eigenvalues for systems where only outputs can be used.

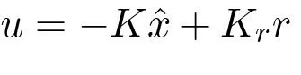
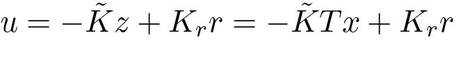
If all states are not measurable, it seems reasonable to try the feedback
State and Output Feedback | Control Systems - Electrical Engineering (EE)(5.29)where xˆ is the output of an observer of the state (5.26), i.e.

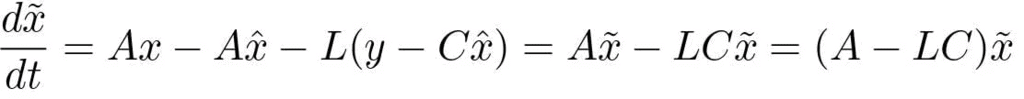
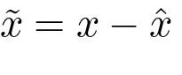
State and Output Feedback | Control Systems - Electrical Engineering (EE)(5.30)Since the system (5.28) and the observer (5.30) both are of order n, the closed loop system is thus of order 2n. The states of the system are x and xˆ. The evolution of the states is described by equations (5.28), (5.29)(5.30). To analyze the closed loop system, the state variable xˆ is replace by

State and Output Feedback | Control Systems - Electrical Engineering (EE)(5.31)

Subtraction of (5.28) from (5.28) gives
State and Output Feedback | Control Systems - Electrical Engineering (EE)Introducing u from (5.29) into this equation and using (5.31) to eliminate xˆ gives

State and Output Feedback | Control Systems - Electrical Engineering (EE)

The closed loop system is thus governed by

State and Output Feedback | Control Systems - Electrical Engineering (EE)(5.32)

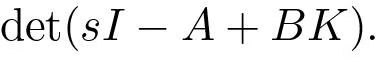
Since the matrix on the right-hand side is block diagonal, we find that the characteristic polynomial of the closed loop system is

State and Output Feedback | Control Systems - Electrical Engineering (EE)

This polynomial combines two parts: one from the closed-loop system with state feedback, and one from the observer error. The feedback in (5.29), based on a simple hunch, nicely solves the eigenvalue placement problem, as summarized below.

Theorem 5.3 (Pole placement by output feedback). 

Consider the system:

State and Output Feedback | Control Systems - Electrical Engineering (EE)

The controller described by

State and Output Feedback | Control Systems - Electrical Engineering (EE)

gives a closed loop system with the characteristic polynomial

State and Output Feedback | Control Systems - Electrical Engineering (EE)This polynomial can be assigned arbitrary roots if the system is observable and reachable.

Remark 5.5:
It’s a 2n-order polynomial, splitting into two parts—one tied to state feedback (det(sI − A + BK)) and one to the observer (det(sI − A + LC)).

Remark 5.6:
The controller feels intuitive, blending state feedback and an observer, with the feedback gain K calculated as if all states are measurable.

The Internal Model Principle

A block diagram of the controller is shown in Figure 5.4. Notice that the controller contains a dynamical model of the plant. This is called the internal model principle. Notice that the dynamics of the controller is due to the observer. The controller can be viewed as a dynamical system with input y and output u.

State and Output Feedback | Control Systems - Electrical Engineering (EE)(5.33)

The controller has the transfer function

State and Output Feedback | Control Systems - Electrical Engineering (EE)(5.34)

State and Output Feedback | Control Systems - Electrical Engineering (EE)Figure 5.4: Block diagram of a controller which combines state feedback with an observer.

Conclusion

State and output feedback provide a powerful framework for controlling linear systems by shaping their dynamics through eigenvalue placement. State feedback directly uses the system’s state to achieve desired behavior when all variables are measurable, while output feedback, paired with an observer, extends this capability to systems where only outputs are available, ensuring effective control by estimating the state and embedding a model of the system within the controller.

The document State and Output Feedback | Control Systems - Electrical Engineering (EE) is a part of the Electrical Engineering (EE) Course Control Systems.
All you need of Electrical Engineering (EE) at this link: Electrical Engineering (EE)
53 videos|115 docs|40 tests

FAQs on State and Output Feedback - Control Systems - Electrical Engineering (EE)

1. What does it mean for a system to be not reachable in control theory?
Ans.A system is considered not reachable if it is impossible to drive the state of the system to any desired state in a finite amount of time using state feedback. This typically occurs when the controllability matrix is not full rank, indicating that there are states that cannot be influenced by the input.
2. How do coordinate changes affect the reachability of a system?
Ans.Coordinate changes can simplify the analysis of a system's reachability by transforming the state space into a more favorable form. However, if the system was not reachable in its original coordinates, it will still remain not reachable after transformation. The key is to identify whether the transformation preserves the system's controllability properties.
3. What is the significance of computing the feedback gain in control systems?
Ans.Computing the feedback gain is crucial for stabilizing the system and achieving desired performance specifications. The feedback gain determines how the control inputs will influence the state dynamics, allowing engineers to design controllers that meet stability and performance criteria.
4. Can you explain observability and its relation to control systems?
Ans.Observability refers to the ability to infer the internal state of a system based solely on its output measurements. A system is observable if, from the output information over time, one can determine the entire state vector. This property is critical for designing state observers and ensuring that the system can be controlled effectively.
5. What does it mean for a system to be non-observable, and how does this impact control design?
Ans.A non-observable system is one where the internal states cannot be reconstructed from the outputs. This lack of observability complicates control design, as it becomes difficult to implement state feedback or observers. In such cases, alternative strategies must be employed, such as output feedback control, which relies on available measurements rather than full state information.
Related Searches

MCQs

,

Exam

,

Important questions

,

Semester Notes

,

Summary

,

Viva Questions

,

Sample Paper

,

past year papers

,

Extra Questions

,

shortcuts and tricks

,

practice quizzes

,

pdf

,

study material

,

video lectures

,

Previous Year Questions with Solutions

,

Objective type Questions

,

State and Output Feedback | Control Systems - Electrical Engineering (EE)

,

ppt

,

State and Output Feedback | Control Systems - Electrical Engineering (EE)

,

mock tests for examination

,

State and Output Feedback | Control Systems - Electrical Engineering (EE)

,

Free

;