Stress Concentration - 2 | Design of Machine Elements - Mechanical Engineering PDF Download

Theoretical basis of stress concentration 

Consider a plate with a hole acted upon by a stressσ . St. Verant’s principle states that if a system of forces is replaced by another statically equivalent system of forces then the stresses and displacements at points remote from the region concerned are unaffected. In figure-3.2.3.1 ‘a’ is the radius of the hole and at r=b, b>>a the stresses are not affected by the presence of the hole.

 

Stress Concentration - 2 | Design of Machine Elements - Mechanical Engineering
3.2.3.1F- A plate with a central hole subjected to a uni-axial stress

 

Here, σx = σy  , σ = 0, τxy = 0 For plane stress conditions:

 

Stress Concentration - 2 | Design of Machine Elements - Mechanical Engineering

This reduces to

Stress Concentration - 2 | Design of Machine Elements - Mechanical Engineering

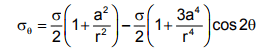
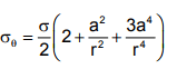
such that 1st component in σr and σθ is constant and the second component varies with θ . Similar argument holds for rτθ if we write rτθ = Stress Concentration - 2 | Design of Machine Elements - Mechanical Engineering The stress distribution within the ring with inner radius ri a = and outer radius or b = due to 1st component can be analyzed using the solutions of thick cylinders and the effect due to the 2nd component can be analyzed following the Stress-function approach. Using a stress function of the form φ = θ R (r) cos2θ the stress distribution due to the 2nd component can be found and it was noted that the dominant stress is the Hoop Stress, given by

Stress Concentration - 2 | Design of Machine Elements - Mechanical Engineering

This is maximum at θ= ±π 2 and the maximum value of Stress Concentration - 2 | Design of Machine Elements - Mechanical Engineering Therefore at points P and Q where r =a  σθ is maximum and is given by σθ = 3σ i.e. stress concentration factor is 3.

The document Stress Concentration - 2 | Design of Machine Elements - Mechanical Engineering is a part of the Mechanical Engineering Course Design of Machine Elements.
All you need of Mechanical Engineering at this link: Mechanical Engineering
49 videos|107 docs|77 tests

FAQs on Stress Concentration - 2 - Design of Machine Elements - Mechanical Engineering

1. What is stress concentration?
Ans. Stress concentration refers to the localized increase in stress within a material due to the presence of a geometric feature, such as a notch, hole, or change in cross-section. It occurs when there is a sudden change in the stress distribution, leading to higher stress levels than would be predicted by simple calculations.
2. How does stress concentration affect the mechanical properties of a material?
Ans. Stress concentration can significantly reduce the mechanical strength and fatigue life of a material. The increased stress levels at the localized regions can initiate cracks, which can propagate under repeated loading, ultimately leading to failure. Therefore, it is important to consider stress concentration effects when designing components to ensure their structural integrity.
3. What are the factors that influence stress concentration?
Ans. Several factors influence stress concentration, including the geometry of the feature (such as the shape and size of a notch or hole), the applied load, the material properties (such as yield strength and ductility), and the presence of any surface defects or discontinuities. These factors determine the magnitude and distribution of stress concentration, and thus, the potential for failure.
4. How can stress concentration be mitigated in engineering designs?
Ans. Stress concentration can be mitigated through various design strategies. These include the use of gradual transitions in shape, such as fillets or radii, to reduce sudden changes in stress distribution. Additionally, reinforcing the high-stress regions with additional material or strengthening techniques, such as heat treatment or surface coatings, can help to distribute the stress more evenly and reduce the risk of failure.
5. Are there any analytical methods to predict stress concentration?
Ans. Yes, there are analytical methods available to predict stress concentration in simple geometries. For example, the stress concentration factor (Kt) can be calculated using equations derived from theoretical and experimental studies. However, for complex geometries or materials with nonlinear behavior, numerical methods like finite element analysis (FEA) are often employed to accurately predict stress concentration and its effect on the mechanical properties of a component.
Related Searches

Sample Paper

,

Semester Notes

,

Important questions

,

video lectures

,

Exam

,

pdf

,

Free

,

Stress Concentration - 2 | Design of Machine Elements - Mechanical Engineering

,

MCQs

,

shortcuts and tricks

,

Extra Questions

,

Stress Concentration - 2 | Design of Machine Elements - Mechanical Engineering

,

practice quizzes

,

Stress Concentration - 2 | Design of Machine Elements - Mechanical Engineering

,

Summary

,

Previous Year Questions with Solutions

,

Objective type Questions

,

study material

,

past year papers

,

Viva Questions

,

ppt

,

mock tests for examination

;