Electrical Engineering (EE) Exam  >  Electrical Engineering (EE) Notes  >  Basic Electrical Technology  >  Study of DC Transients in R-L-C Circuits

Study of DC Transients in R-L-C Circuits | Basic Electrical Technology - Electrical Engineering (EE) PDF Download

Objectives

  • Be able to write differential equation for a dc circuits containing two storage elements in presence of a resistance.
  • To develop a thorough understanding how to find the complete solution of second order differential equation that arises from a simple RLC − − circuit.
  • To understand the meaning of the terms (i) overdamped (ii) criticallydamped, and (iii) underdamped in context with a second order dynamic system.
  • Be able to understand some terminologies that are highly linked with the performance of a second order system.

Introduction

In the preceding lesson, our discussion focused extensively on dc circuits having resistances with either inductor (L) or capacitor (C) (i.e., single storage element) but not both. Dynamic response of such first order system has been studied and discussed in detail. The presence of resistance, inductance, and capacitance in the dc circuit introduces at least a second order differential equation or by two simultaneous coupled linear first order differential equations. We shall see in next section that the complexity of analysis of second order circuits increases significantly when compared with that encountered with first order circuits. Initial conditions for the circuit variables and their derivatives play an important role and this is very crucial to analyze a second order dynamic system.

Response of a series R-L-C circuit due to a dc voltage source

Consider a series R - L - C  circuit as shown in fig.11.1, and it is excited with a dc  voltage source Vs . Applying KVL around the closed path for t > 0,

Study of DC Transients in R-L-C Circuits | Basic Electrical Technology - Electrical Engineering (EE)

Study of DC Transients in R-L-C Circuits | Basic Electrical Technology - Electrical Engineering (EE)

The current through the capacitor can be written as  

Study of DC Transients in R-L-C Circuits | Basic Electrical Technology - Electrical Engineering (EE)

Substituting the current ‘i (t)’expression in eq.(11.1) and rearranging the terms,

Study of DC Transients in R-L-C Circuits | Basic Electrical Technology - Electrical Engineering (EE)

The above equation is a 2nd-order linear differential equation and the parameters associated with the differential equation are constant with time. The complete solution of the above differential equation has two components; the transient response vcn (t) and the steady state response vcf (t). Mathematically, one can write the complete solution as

Study of DC Transients in R-L-C Circuits | Basic Electrical Technology - Electrical Engineering (EE)

Since the system is linear, the nature of steady state response is same as that of forcing function (input voltage) and it is given by a constant value A. Now, the first part vcn (t) of the total response is completely dies out with time while R > 0 and it is defined as a transient or natural response of the system. The natural or transient response (see Appendix in Lesson-10) of second order differential equation can be obtained from the homogeneous equation (i.e., from force free system) that is expressed by

Study of DC Transients in R-L-C Circuits | Basic Electrical Technology - Electrical Engineering (EE)
Study of DC Transients in R-L-C Circuits | Basic Electrical Technology - Electrical Engineering (EE)

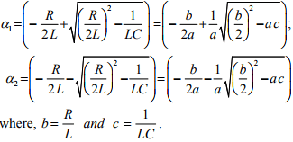
The characteristic equation of the above homogeneous differential equation (using the operator  Study of DC Transients in R-L-C Circuits | Basic Electrical Technology - Electrical Engineering (EE)

Study of DC Transients in R-L-C Circuits | Basic Electrical Technology - Electrical Engineering (EE)

and solving the roots of this equation (11.5) one can find the constants α1 and α of the exponential terms that associated with transient part of the complete solution (eq.11.3) and they are given below.

Study of DC Transients in R-L-C Circuits | Basic Electrical Technology - Electrical Engineering (EE)

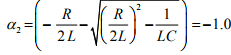
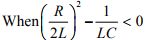
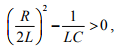
The roots of the characteristic equation (11.5) are classified in three groups depending upon the values of the parameters R, L and C of the circuit.

Case-A (overdamped response): When Study of DC Transients in R-L-C Circuits | Basic Electrical Technology - Electrical Engineering (EE) this implies that the roots are distinct with negative real parts. Under this situation, the natural or transient part of the complete solution is written as 

Study of DC Transients in R-L-C Circuits | Basic Electrical Technology - Electrical Engineering (EE)

and each term of the above expression decays exponentially and ultimately reduces to zero as t → ∞ and it is termed as overdamped response of input free system. A system that is overdamped responds slowly to any change in excitation. It may be noted that the exponential term Study of DC Transients in R-L-C Circuits | Basic Electrical Technology - Electrical Engineering (EE) takes longer time to decay its value to zero than the term Study of DC Transients in R-L-C Circuits | Basic Electrical Technology - Electrical Engineering (EE). One can introduce a factor Study of DC Transients in R-L-C Circuits | Basic Electrical Technology - Electrical Engineering (EE) that provides an information about the speed of system response and it is defined by damping ratio

Study of DC Transients in R-L-C Circuits | Basic Electrical Technology - Electrical Engineering (EE)
Case-B (critically damped response): When Study of DC Transients in R-L-C Circuits | Basic Electrical Technology - Electrical Engineering (EE) this implies that the roots of eq.(11.5) are same with negative real parts. Under this situation, the form of the natural or transient part of the complete solution is written as 

Study of DC Transients in R-L-C Circuits | Basic Electrical Technology - Electrical Engineering (EE)

where the natural or transient response is a sum of two terms: a negative exponential and a negative exponential multiplied by a linear term. The expression (11.9) that arises from the natural solution of second order differential equation having the roots of characteristic equation are same value can be verified following the procedure given below.

The roots of this characteristic equation (11.5) are same Study of DC Transients in R-L-C Circuits | Basic Electrical Technology - Electrical Engineering (EE)  when  Study of DC Transients in R-L-C Circuits | Basic Electrical Technology - Electrical Engineering (EE) and the corresponding homogeneous equation (11.4) can be rewritten as

Study of DC Transients in R-L-C Circuits | Basic Electrical Technology - Electrical Engineering (EE)

The solution of the above first order differential equation is well known and it is given by

Study of DC Transients in R-L-C Circuits | Basic Electrical Technology - Electrical Engineering (EE)
Using the value of f in the expression Study of DC Transients in R-L-C Circuits | Basic Electrical Technology - Electrical Engineering (EE) we can get,
Study of DC Transients in R-L-C Circuits | Basic Electrical Technology - Electrical Engineering (EE)Study of DC Transients in R-L-C Circuits | Basic Electrical Technology - Electrical Engineering (EE)

Integrating the above equation in both sides yields, 

Study of DC Transients in R-L-C Circuits | Basic Electrical Technology - Electrical Engineering (EE)

In fact, the term Study of DC Transients in R-L-C Circuits | Basic Electrical Technology - Electrical Engineering (EE) decays exponentially with the time and tends to zero as t →∞ . On the other hand, the value of the term  Study of DC Transients in R-L-C Circuits | Basic Electrical Technology - Electrical Engineering (EE) equation (11.9) first increases from its zero value to a maximum value Study of DC Transients in R-L-C Circuits | Basic Electrical Technology - Electrical Engineering (EE) at a time Study of DC Transients in R-L-C Circuits | Basic Electrical Technology - Electrical Engineering (EE) and then decays with time, finally reaches to zero. One can easily verify above statements by adopting the concept of maximization problem of a single valued function. The second order system results the speediest response possible without any overshoot while the roots of characteristic equation (11.5) of system having the same negative real parts. The response of such a second order system is defined as a critically damped system’s response. In this case damping ratio

Study of DC Transients in R-L-C Circuits | Basic Electrical Technology - Electrical Engineering (EE)

Case-C (underdamped response):  Study of DC Transients in R-L-C Circuits | Basic Electrical Technology - Electrical Engineering (EE) this implies that the roots of eq.(11.5) are complex conjugates and they are expressed as  Study of DC Transients in R-L-C Circuits | Basic Electrical Technology - Electrical Engineering (EE) The form of the natural or transient part of the complete solution is written as

Study of DC Transients in R-L-C Circuits | Basic Electrical Technology - Electrical Engineering (EE)

For real system, the response vcn(t) must also be real. This is possible only if A1 and A2 conjugates. The equation (11.11) further can be simplified in the following form:

Study of DC Transients in R-L-C Circuits | Basic Electrical Technology - Electrical Engineering (EE)

where β = real part of the root , γ = complex part of the root, Study of DC Transients in R-L-C Circuits | Basic Electrical Technology - Electrical Engineering (EE) Truly speaking the value of K and θ can be calculated using the initial conditions of the circuit. The system response exhibits oscillation around the steady state value when the roots of characteristic equation are complex and results an under-damped system’s response. This oscillation will die down with time if the roots are with negative real parts. In this case the damping ratio

Study of DC Transients in R-L-C Circuits | Basic Electrical Technology - Electrical Engineering (EE)

Finally, the response of a second order system when excited with a dc voltage source is presented in fig.L.11.2 for different cases, i.e., (i) under-damped (ii) over-damped (iii) critically damped system response.

Study of DC Transients in R-L-C Circuits | Basic Electrical Technology - Electrical Engineering (EE)

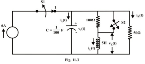
Example: The switch was closed for a long time as shown in fig.11.3. Simultaneously at , the switch  is opened and  is closed  Find 

Study of DC Transients in R-L-C Circuits | Basic Electrical Technology - Electrical Engineering (EE)Study of DC Transients in R-L-C Circuits | Basic Electrical Technology - Electrical Engineering (EE)

Solution: When the switch S1 is kept in position ‘1’ for a sufficiently long time, the circuit reaches to its steady state condition. At time t = 0- , the capacitor is completely charged and it acts as a open circuit. On other hand,

Study of DC Transients in R-L-C Circuits | Basic Electrical Technology - Electrical Engineering (EE)

the inductor acts as a short circuit under steady state condition, the current in inductor can be found as 

Study of DC Transients in R-L-C Circuits | Basic Electrical Technology - Electrical Engineering (EE)

Using the KCL, one can find the current through the resistor  Study of DC Transients in R-L-C Circuits | Basic Electrical Technology - Electrical Engineering (EE) subsequently the voltage across the capacitor Study of DC Transients in R-L-C Circuits | Basic Electrical Technology - Electrical Engineering (EE)

Note at t = 0+ not only the current source is removed, but 100Ω resistor is shorted or removed as well. The continuity properties of inductor and capacitor do not permit the current through an inductor or the voltage across the capacitor to change instantaneously. Therefore, at t=0+ the current in inductor, voltage across the capacitor, and the values of other variables at t = 0+ can be computed as

iL (0+) = iL (0-) = 2 A; vc (0+) = vc (0-) = 200 volt.

Since the voltage across the capacitor at t = 0+ is 200 volt, the same voltage will appear across the inductor and the 50Ω resistor. That is, vL (0+)=vR (0+)=200volt. and hence, the current  Study of DC Transients in R-L-C Circuits | Basic Electrical Technology - Electrical Engineering (EE) . Applying KCL at the bottom terminal of the capacitor we obtain  Study of DC Transients in R-L-C Circuits | Basic Electrical Technology - Electrical Engineering (EE) and subsequently,  Study of DC Transients in R-L-C Circuits | Basic Electrical Technology - Electrical Engineering (EE)
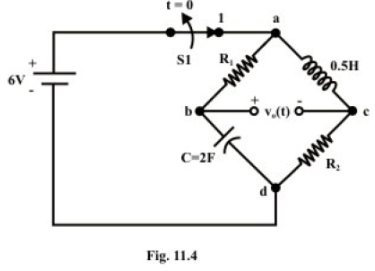
Example:  The switch ‘S’ is closed sufficiently long time and then it is opened at time ‘t = 0’  as shown in fig. 11.4. DetermineStudy of DC Transients in R-L-C Circuits | Basic Electrical Technology - Electrical Engineering (EE) when
R1 =R2= 3Ω . 

Study of DC Transients in R-L-C Circuits | Basic Electrical Technology - Electrical Engineering (EE)

Solution: At t=0- (just before opening the switch), the capacitor is fully charged and current flowing through it totally blocked i.e., capacitor acts as an open circuit). The voltage across the capacitor is vc(0-) = 6V=vc(0+) = vbd(0+) and terminal ‘b’ is higher potential than terminal ‘d’. On the other branch, the inductor acts as a short circuit (i.e., voltage across the inductor is zero) and the source voltage 6V will appear across the resistance R2 . Therefore, the current through inductor  Study of DC Transients in R-L-C Circuits | Basic Electrical Technology - Electrical Engineering (EE) Note at Study of DC Transients in R-L-C Circuits | Basic Electrical Technology - Electrical Engineering (EE) (since the voltage drop across the resistance Study of DC Transients in R-L-C Circuits | Basic Electrical Technology - Electrical Engineering (EE) and vcd (0+)=6V and this implies that vca(0+) = 6V = voltage across the inductor (note, terminal ‘ c ’ is + ve terminal and inductor acts as a source of energy).
Now, the voltage across the terminals ‘b’ and ‘c’ (v0(0+)) = vbd (0+) -vcd (0+)= 0 V .
The following expressions are valid at t = 0+
Study of DC Transients in R-L-C Circuits | Basic Electrical Technology - Electrical Engineering (EE) (note, voltage across the capacitor will decrease with time i.e.,  Study of DC Transients in R-L-C Circuits | Basic Electrical Technology - Electrical Engineering (EE) (We have just calculated the voltage across the inductor at t=0+ as

Study of DC Transients in R-L-C Circuits | Basic Electrical Technology - Electrical Engineering (EE)

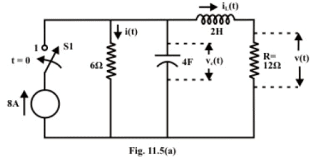
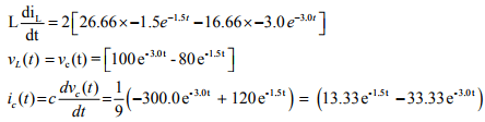
Example: Refer to the circuit in fig.11.5(a). Determine, 

Study of DC Transients in R-L-C Circuits | Basic Electrical Technology - Electrical Engineering (EE)

Study of DC Transients in R-L-C Circuits | Basic Electrical Technology - Electrical Engineering (EE)Study of DC Transients in R-L-C Circuits | Basic Electrical Technology - Electrical Engineering (EE)Study of DC Transients in R-L-C Circuits | Basic Electrical Technology - Electrical Engineering (EE)

Solution: When the switch was in ‘off’ position i.e., t < 0

i(0-) = iL(0-) = 0, v(0-) = 0 and vC(0-) = 0
The switch ‘S1’ was closed in position ‘1’ at time t = 0 and the corresponding circuit is shown in fig 11.5 (b).

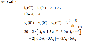
(i) From continuity property of inductor and capacitor, we can write the following expression for t = 0+

Study of DC Transients in R-L-C Circuits | Basic Electrical Technology - Electrical Engineering (EE)

Study of DC Transients in R-L-C Circuits | Basic Electrical Technology - Electrical Engineering (EE)

(ii) KCL at point ‘a’

Study of DC Transients in R-L-C Circuits | Basic Electrical Technology - Electrical Engineering (EE)

At t = 0+ , the above expression is written as

Study of DC Transients in R-L-C Circuits | Basic Electrical Technology - Electrical Engineering (EE)

We know the current through the capacitor ic(t) can be expressed as  

Study of DC Transients in R-L-C Circuits | Basic Electrical Technology - Electrical Engineering (EE)

Note the relations 

Study of DC Transients in R-L-C Circuits | Basic Electrical Technology - Electrical Engineering (EE) change in voltage drop in 6Ω resistor = change in current through 6 Ω Study of DC Transients in R-L-C Circuits | Basic Electrical Technology - Electrical Engineering (EE)

Applying KVL around the closed path ‘b-c-d-b’, we get the following expression. 

Study of DC Transients in R-L-C Circuits | Basic Electrical Technology - Electrical Engineering (EE)

At, t = 0+ the following expression

Study of DC Transients in R-L-C Circuits | Basic Electrical Technology - Electrical Engineering (EE)

Study of DC Transients in R-L-C Circuits | Basic Electrical Technology - Electrical Engineering (EE)

Study of DC Transients in R-L-C Circuits | Basic Electrical Technology - Electrical Engineering (EE)

(iii) At t = α , the circuit reached its steady state value, the capacitor will block the flow of dc current and the inductor will act as a short circuit. The current through 6 Ω and 12 Ω resistors can be formed as
Study of DC Transients in R-L-C Circuits | Basic Electrical Technology - Electrical Engineering (EE)

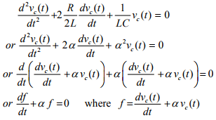
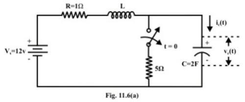
Example: he switch  has been closed for a sufficiently long time and then it is opened at (see fig.11.6(a)). Find the expression for  Study of DC Transients in R-L-C Circuits | Basic Electrical Technology - Electrical Engineering (EE) for inductor values of Study of DC Transients in R-L-C Circuits | Basic Electrical Technology - Electrical Engineering (EE) and  Study of DC Transients in R-L-C Circuits | Basic Electrical Technology - Electrical Engineering (EE) and  Study of DC Transients in R-L-C Circuits | Basic Electrical Technology - Electrical Engineering (EE) for each case.

Study of DC Transients in R-L-C Circuits | Basic Electrical Technology - Electrical Engineering (EE)

Solution: At t = 0- (before the switch is opened) the capacitor acts as an open circuit or block the current through it but the inductor acts as short circuit. Using the properties of inductor and capacitor, one can find the current in inductor at time t = 0+ as 

Study of DC Transients in R-L-C Circuits | Basic Electrical Technology - Electrical Engineering (EE) (note inductor acts as a short circuit) and voltage across the Study of DC Transients in R-L-C Circuits | Basic Electrical Technology - Electrical Engineering (EE) The capacitor is fully charged with the voltage across the 5Ω resistor and the capacitor voltage at t = 0+ is given by

Study of DC Transients in R-L-C Circuits | Basic Electrical Technology - Electrical Engineering (EE) The circuit is opened at time t =0 and the corresponding circuit diagram is shown in fig. 11.6(b).

Study of DC Transients in R-L-C Circuits | Basic Electrical Technology - Electrical Engineering (EE)

Let us assume the current flowing through the circuit i(t) is and apply KVL equation around the closed path is

Study of DC Transients in R-L-C Circuits | Basic Electrical Technology - Electrical Engineering (EE)Study of DC Transients in R-L-C Circuits | Basic Electrical Technology - Electrical Engineering (EE)

Study of DC Transients in R-L-C Circuits | Basic Electrical Technology - Electrical Engineering (EE)

The solution of the above differential equation is given by

Study of DC Transients in R-L-C Circuits | Basic Electrical Technology - Electrical Engineering (EE)

Study of DC Transients in R-L-C Circuits | Basic Electrical Technology - Electrical Engineering (EE)

The solution of natural or transient response vcn (t) is obtained from the force free equation or homogeneous equation which is 

Study of DC Transients in R-L-C Circuits | Basic Electrical Technology - Electrical Engineering (EE)

The characteristic equation of the above homogeneous equation is written as

Study of DC Transients in R-L-C Circuits | Basic Electrical Technology - Electrical Engineering (EE)

The roots of the characteristic equation are given as

Study of DC Transients in R-L-C Circuits | Basic Electrical Technology - Electrical Engineering (EE)Study of DC Transients in R-L-C Circuits | Basic Electrical Technology - Electrical Engineering (EE) and the roots are equal with negative real sign. The expression for natural response is given by

Study of DC Transients in R-L-C Circuits | Basic Electrical Technology - Electrical Engineering (EE)

The forced or the steady state response Study of DC Transients in R-L-C Circuits | Basic Electrical Technology - Electrical Engineering (EE) is the form of applied input voltage and it is constant ‘A’. Now the final expression for  Study of DC Transients in R-L-C Circuits | Basic Electrical Technology - Electrical Engineering (EE)

Study of DC Transients in R-L-C Circuits | Basic Electrical Technology - Electrical Engineering (EE)

The initial and final conditions needed to evaluate the constants are based on Study of DC Transients in R-L-C Circuits | Basic Electrical Technology - Electrical Engineering (EE)(Continuity property).

Study of DC Transients in R-L-C Circuits | Basic Electrical Technology - Electrical Engineering (EE)

Study of DC Transients in R-L-C Circuits | Basic Electrical Technology - Electrical Engineering (EE)

Study of DC Transients in R-L-C Circuits | Basic Electrical Technology - Electrical Engineering (EE)

It may be seen that the capacitor is fully charged with the applied voltage when t = ∞ and the capacitor blocks the current flowing through it. Using t =∞  in equation (11.19) we get,

Study of DC Transients in R-L-C Circuits | Basic Electrical Technology - Electrical Engineering (EE)

Using the value of A in equation (11.20) and then solving (11.20) and (11.21) we get,

Study of DC Transients in R-L-C Circuits | Basic Electrical Technology - Electrical Engineering (EE)

The total solution is

Study of DC Transients in R-L-C Circuits | Basic Electrical Technology - Electrical Engineering (EE)

The circuit responses (critically damped) for L =0.5H are shown fig.11.6 (c) and fig.11.6(d).

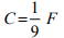
Case-2: L = 0.2H ,R = 1Ω and C = 2F

It can be noted that the initial and final conditions of the circuit are all same as in case-1 but the transient or natural response will differ. In this case the roots of characteristic equation are computed using equation (11.17), the values of roots are

Study of DC Transients in R-L-C Circuits | Basic Electrical Technology - Electrical Engineering (EE)

The total response becomes

Study of DC Transients in R-L-C Circuits | Basic Electrical Technology - Electrical Engineering (EE)

Using the initial conditions Study of DC Transients in R-L-C Circuits | Basic Electrical Technology - Electrical Engineering (EE) that obtained in case-1 are used in equations (11.23)-(11.24) with A=12 ( final steady state condition) and simultaneous solution gives

Study of DC Transients in R-L-C Circuits | Basic Electrical Technology - Electrical Engineering (EE)

The total response is

Study of DC Transients in R-L-C Circuits | Basic Electrical Technology - Electrical Engineering (EE)

The system responses (overdamped) for L =0.2 H are presented in fig.11.6(c) and fig.11.6 (d).

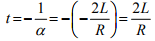
Case-3: L = 8.0H,R = 1Ω and C = 2F

Again the initial and final conditions will remain same and the natural response of the circuit will be decided by the roots of the characteristic equation and they are obtained from (11.17) as 

Study of DC Transients in R-L-C Circuits | Basic Electrical Technology - Electrical Engineering (EE)

The expression for the total response is

Study of DC Transients in R-L-C Circuits | Basic Electrical Technology - Electrical Engineering (EE)(note, the natural response Study of DC Transients in R-L-C Circuits | Basic Electrical Technology - Electrical Engineering (EE) is written from eq.(11.12) when roots are complex conjugates and detail derivation is given there.)

Study of DC Transients in R-L-C Circuits | Basic Electrical Technology - Electrical Engineering (EE)

Again the initial conditions  Study of DC Transients in R-L-C Circuits | Basic Electrical Technology - Electrical Engineering (EE) used in equations (11.26)-(11.27) with A=12 (final steady state condition) and simultaneous solution gives

Study of DC Transients in R-L-C Circuits | Basic Electrical Technology - Electrical Engineering (EE)

The total response is

Study of DC Transients in R-L-C Circuits | Basic Electrical Technology - Electrical Engineering (EE)

Study of DC Transients in R-L-C Circuits | Basic Electrical Technology - Electrical Engineering (EE)

Study of DC Transients in R-L-C Circuits | Basic Electrical Technology - Electrical Engineering (EE)

The system responses (under-damped) for L =8.0 H are presented in fig.11.6(c) and fig. 11.6(d).

Study of DC Transients in R-L-C Circuits | Basic Electrical Technology - Electrical Engineering (EE)

Study of DC Transients in R-L-C Circuits | Basic Electrical Technology - Electrical Engineering (EE)

Remark: One can use t = 0 and t = ∞ in eq. 11.22 or eq. 11.25 or eq. 11.28 to verify whether it satisfies the initial and final conditions ( i.e., initial capacitor voltage vc (0+)=10 volt., and the steady state capacitor voltage vc(∞)=12 volt.) of the circuit.

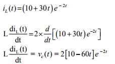
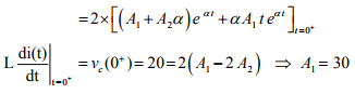
Example:  The switch ‘S1’ in the circuit of Fig. 11.7(a) was closed in position ‘1’ sufficiently long time and then kept in position  Study of DC Transients in R-L-C Circuits | Basic Electrical Technology - Electrical Engineering (EE)
Study of DC Transients in R-L-C Circuits | Basic Electrical Technology - Electrical Engineering (EE)

Study of DC Transients in R-L-C Circuits | Basic Electrical Technology - Electrical Engineering (EE)

Solution: When the switch was in position ‘1’, the steady state current in inductor is given by

Study of DC Transients in R-L-C Circuits | Basic Electrical Technology - Electrical Engineering (EE)

Using the continuity property of inductor and capacitor we get

Study of DC Transients in R-L-C Circuits | Basic Electrical Technology - Electrical Engineering (EE)

The switch ‘S1’ is kept in position ‘2’ and corresponding circuit diagram is shown in Fig.11.7 (b)

Study of DC Transients in R-L-C Circuits | Basic Electrical Technology - Electrical Engineering (EE)

Applying KCL at the top junction point we get,

Study of DC Transients in R-L-C Circuits | Basic Electrical Technology - Electrical Engineering (EE)

Study of DC Transients in R-L-C Circuits | Basic Electrical Technology - Electrical Engineering (EE)

Study of DC Transients in R-L-C Circuits | Basic Electrical Technology - Electrical Engineering (EE)

Study of DC Transients in R-L-C Circuits | Basic Electrical Technology - Electrical Engineering (EE)

The roots of the characteristics equation of the above homogeneous equation can obtained for  Study of DC Transients in R-L-C Circuits | Basic Electrical Technology - Electrical Engineering (EE)

Study of DC Transients in R-L-C Circuits | Basic Electrical Technology - Electrical Engineering (EE)

Study of DC Transients in R-L-C Circuits | Basic Electrical Technology - Electrical Engineering (EE)the values of roots of characteristic equation are given as
Study of DC Transients in R-L-C Circuits | Basic Electrical Technology - Electrical Engineering (EE)
The transient or neutral solution of the homogeneous equation is given by
Study of DC Transients in R-L-C Circuits | Basic Electrical Technology - Electrical Engineering (EE)

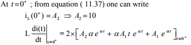
To determine A1 and A2 , the following initial conditions are used.

Study of DC Transients in R-L-C Circuits | Basic Electrical Technology - Electrical Engineering (EE)

Solving equations (11.31) and (11,32) we get , Study of DC Transients in R-L-C Circuits | Basic Electrical Technology - Electrical Engineering (EE)

The natural response of the circuit is

Study of DC Transients in R-L-C Circuits | Basic Electrical Technology - Electrical Engineering (EE)

Study of DC Transients in R-L-C Circuits | Basic Electrical Technology - Electrical Engineering (EE)

Study of DC Transients in R-L-C Circuits | Basic Electrical Technology - Electrical Engineering (EE) the roots of the characteristic equation are

Study of DC Transients in R-L-C Circuits | Basic Electrical Technology - Electrical Engineering (EE)

The natural response becomes 1

Study of DC Transients in R-L-C Circuits | Basic Electrical Technology - Electrical Engineering (EE)

Where k and θ are the constants to be evaluated from initial condition.

Study of DC Transients in R-L-C Circuits | Basic Electrical Technology - Electrical Engineering (EE)

Study of DC Transients in R-L-C Circuits | Basic Electrical Technology - Electrical Engineering (EE)Using equation (11.34) and the values of β and γ in equation (11.35) we get,  Study of DC Transients in R-L-C Circuits | Basic Electrical Technology - Electrical Engineering (EE)

From equation (11.34) and (11.36) we obtain the values of θ and k as

Study of DC Transients in R-L-C Circuits | Basic Electrical Technology - Electrical Engineering (EE)

∴ The natural or transient solution is

Study of DC Transients in R-L-C Circuits | Basic Electrical Technology - Electrical Engineering (EE)

Study of DC Transients in R-L-C Circuits | Basic Electrical Technology - Electrical Engineering (EE)

Study of DC Transients in R-L-C Circuits | Basic Electrical Technology - Electrical Engineering (EE) the roots of characteristic equation are Study of DC Transients in R-L-C Circuits | Basic Electrical Technology - Electrical Engineering (EE) respectively. The natural solution is given by

Study of DC Transients in R-L-C Circuits | Basic Electrical Technology - Electrical Engineering (EE) where constants are computed using initial conditions.

Study of DC Transients in R-L-C Circuits | Basic Electrical Technology - Electrical Engineering (EE)

Study of DC Transients in R-L-C Circuits | Basic Electrical Technology - Electrical Engineering (EE)

The natural response is then

Study of DC Transients in R-L-C Circuits | Basic Electrical Technology - Electrical Engineering (EE)

Study of DC Transients in R-L-C Circuits | Basic Electrical Technology - Electrical Engineering (EE)  

Following the procedure as given in case-1 one can obtain the expressions for (i) current in inductor iL(t) (ii) voltage across the capacitor vc (t)

Study of DC Transients in R-L-C Circuits | Basic Electrical Technology - Electrical Engineering (EE)

The document Study of DC Transients in R-L-C Circuits | Basic Electrical Technology - Electrical Engineering (EE) is a part of the Electrical Engineering (EE) Course Basic Electrical Technology.
All you need of Electrical Engineering (EE) at this link: Electrical Engineering (EE)
74 docs|62 tests

FAQs on Study of DC Transients in R-L-C Circuits - Basic Electrical Technology - Electrical Engineering (EE)

1. What is a DC transient in an R-L-C circuit?
Ans. A DC transient in an R-L-C circuit refers to the behavior of the circuit when a sudden change in the applied DC voltage occurs. It is characterized by the temporary response of the circuit components, such as the inductor (L), resistor (R), and capacitor (C), as they adjust to the new voltage. This transient response typically lasts for a short period before the circuit reaches a steady-state.
2. How does an inductor affect the DC transient response in an R-L-C circuit?
Ans. An inductor in an R-L-C circuit resists a sudden change in current due to its property of self-inductance. During a DC transient, the inductor opposes the change in current flow by inducing a back EMF. This causes the current to rise or fall gradually, resulting in a slower response time compared to a purely resistive circuit. The inductor's behavior during the transient depends on its inductance value and the rate of change of the applied DC voltage.
3. What is the significance of the time constant in determining the DC transient response of an R-L-C circuit?
Ans. The time constant plays a crucial role in determining the DC transient response of an R-L-C circuit. It is calculated as the product of the resistance (R) and the total inductance (L) or capacitance (C) in the circuit. The time constant represents the time required for the transient response to reach approximately 63.2% of its final steady-state value. It helps in understanding the rate at which the circuit components adjust to the new DC voltage and the overall behavior of the transient response.
4. How does a capacitor affect the DC transient response in an R-L-C circuit?
Ans. A capacitor in an R-L-C circuit contributes to the DC transient response by storing and releasing energy in the form of an electric field. When a sudden change in the applied DC voltage occurs, the capacitor charges or discharges, depending on the polarity of the voltage. This charging or discharging process affects the voltage across the capacitor and influences the overall transient response of the circuit. The capacitance value and the time constant of the circuit determine the capacitor's impact on the transient behavior.
5. What are some practical applications of studying DC transients in R-L-C circuits?
Ans. The study of DC transients in R-L-C circuits has several practical applications. Some of these include: - Designing and analyzing power supply circuits to ensure stable and reliable operation during sudden changes in input voltage. - Understanding the behavior of electrical systems during power surges or faults, which helps in protecting sensitive electronic devices. - Designing filters and signal processing circuits for audio and communication systems to control the response time and stability. - Analyzing the behavior of motors and transformers during startup or sudden changes in load to avoid damage or instability. - Predicting the behavior of electrical circuits in automotive systems, aerospace technology, and renewable energy systems during various operating conditions.
Related Searches

Study of DC Transients in R-L-C Circuits | Basic Electrical Technology - Electrical Engineering (EE)

,

study material

,

Sample Paper

,

Study of DC Transients in R-L-C Circuits | Basic Electrical Technology - Electrical Engineering (EE)

,

Semester Notes

,

Viva Questions

,

pdf

,

practice quizzes

,

mock tests for examination

,

Objective type Questions

,

Summary

,

Free

,

Previous Year Questions with Solutions

,

ppt

,

Extra Questions

,

past year papers

,

Exam

,

shortcuts and tricks

,

MCQs

,

Study of DC Transients in R-L-C Circuits | Basic Electrical Technology - Electrical Engineering (EE)

,

video lectures

,

Important questions

;