Civil Engineering (CE) Exam  >  Civil Engineering (CE) Notes  >  Techniques to Solve Boundary Value Problems

Techniques to Solve Boundary Value Problems - Civil Engineering (CE) PDF Download

Techniques to solve boundary value problems 

Depending on the boundary condition specified the solution can be found using one of the following two techniques. Outline of these methods is presented next.

Displacement method 

Here we take the displacement field as the basic unknown that need to be determined. Then using this displacement field we find the strain using the strain displacement relation (7.1). The so computed strain is substituted in the constitutive relation written using Lam`e constants (7.2) to obtain

σ = λdiv(u)1 + µ [grad(u) + grad(u)t ],                             (7.14)

where we have used the definition of divergence operator, (2.208) and the property of the trace operator (2.67). Substituting (7.14) in the reduced property of the trace operator (2.67). Substituting (7.14) in the reduced and the body is in static equilibrium, (7.5) we obtain

Techniques to Solve Boundary Value Problems - Civil Engineering (CE)

where we have used equation (3.31) to write the acceleration in terms of the displacement and Techniques to Solve Boundary Value Problems - Civil Engineering (CE) denotes the total time derivative. In addition, to obtain the equation (7.15), we have used the following identities:

1. Since divergence is a linear operator

Techniques to Solve Boundary Value Problems - Civil Engineering (CE)

2. It follows from equation (2.218) that

Techniques to Solve Boundary Value Problems - Civil Engineering (CE)

where we have used the fact that div is a linear operator and 1m = m when m is any vector and 1 is the second order identity tensor.

3. From the identity (2.222) it follows that,

Techniques to Solve Boundary Value Problems - Civil Engineering (CE)

4. Using definition of the Laplace operator (2.212)

                             Techniques to Solve Boundary Value Problems - Civil Engineering (CE)

5. Using the identity (2.211) we note that

                  Techniques to Solve Boundary Value Problems - Civil Engineering (CE)

Thus, we obtain (7.15) by substituting successive substitution of equations (7.17) through (7.21) in (7.16).
In order to simplify equation (7.15), we make the following assumptions:

1. The body is homogeneous.Hence λ and μ are constants
2. Body forces can be ignored
3. Body is in static equilibrium under the applied traction In lieu of these assumptions, equation (7.15) reduces to 

In lieu of these assumptions, equation (7.15) reduces to

(λ + µ)grad(div(u)) + µ∆u = o.                                                      (7.22)

If body forces cannot be ignored but the other two assumptions hold, then (7.15) reduces to

(λ + µ)grad(div(u)) + µ∆u + ρb = o.                                              (7.23)

In this course, we attempt to find the displacement field that satisfies (7.22) along with the prescribed boundary conditions. We compute the stress field corresponding to the determined displacement field, using equation (7.2) where the strain is related to the displacement field through equation (7.1). We illustrate this method in section 7.4.1.

Stress method 

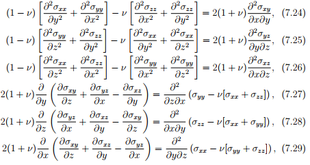
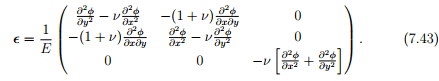
Here we use stress as the basic unknown that needs to be determined. This method is applicable only for cases when the inertial forces (ρa) can be neglected. Since, we have assumed stress as the basic unknown, we want to express the compatibility conditions (7.7) through (7.12) in terms of the stresses. For this we compute the strains in terms of the stresses using the constitutive relation (7.4) and substitute in the compatibility conditions to obtain the following 6 equations:

 

Techniques to Solve Boundary Value Problems - Civil Engineering (CE)
 

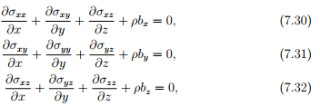
where we have assumed that the body is homogeneous and hence Young’s modulus, E and Poisson’s ratio, ν do not vary spatially. Now, we have to find the 6 components of the stress such that the 6 equations (7.24) through (7.29) holds along with the three equilibrium equations

Techniques to Solve Boundary Value Problems - Civil Engineering (CE)

where bi ’s are the Cartesian components of the body forces. The above equilibrium equations (7.30) through (7.32) are obtained from (7.5) by setting a = o.
If the body forces could be obtained from a potential, Techniques to Solve Boundary Value Problems - Civil Engineering (CE) called as the load potential, as

Techniques to Solve Boundary Value Problems - Civil Engineering (CE)

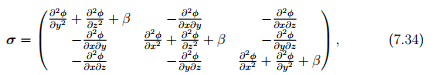
then the Cartesian components of the Cauchy stress could be obtained from a potential, φ = φ˜(x, y, z) called as the Airy’s stress potential and the load potential, β as,
 

Techniques to Solve Boundary Value Problems - Civil Engineering (CE)
 

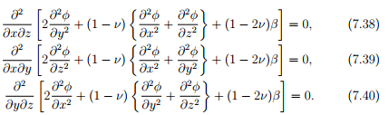
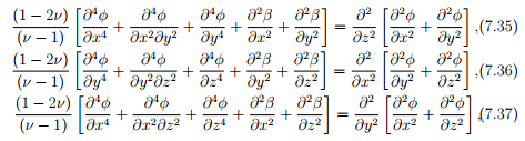
so that the equilibrium equations (7.30) through (7.32) is satisfied for any choice of φ. Substituting for the Cartesian components of the stress from equation (7.34) in the compatibility equations (7.24) through (7.29) and simplifying we obtain:

Techniques to Solve Boundary Value Problems - Civil Engineering (CE)
Techniques to Solve Boundary Value Problems - Civil Engineering (CE)

Thus, a potential that satisfies equations (7.35) through (7.40) and the prescribed boundary conditions is said to be the solution to the given boundary value problem. Once the Airy’s stress potential is obtained, the stress field could be computed using (7.34). Using this stress field the strain field is computed using the constitutive relation (7.4). From this strain field, the smooth displacement field is obtained by integrating the strain displacement relation (7.1).

 

Plane stress formulation 

Next, we specialize the above stress formulation for the plane stress case. Without loss of generality, let us assume that the Cartesian components of this plane stress state is

Techniques to Solve Boundary Value Problems - Civil Engineering (CE)

 Further, let us assume that body forces are absent and that the Airy’s stress function depends on only x and y. Thus, β = 0 and Techniques to Solve Boundary Value Problems - Civil Engineering (CE) Note that this assumption for the Airy’s stress function does not ensure σzz = 0, whenever Techniques to Solve Boundary Value Problems - Civil Engineering (CE) . Hence, plane stress formulation is not a specialization of the general 3D problem. Therefore, we have to derive the governing equations again following the same procedure.
Since, we assume that there are no body forces and the Airy’s stress function depends only on x and y, the Cartesian components of the stress are related to the Airy’s stress function as,

Techniques to Solve Boundary Value Problems - Civil Engineering (CE)

Substituting for stress from equation (7.42) in the constitutive relation (7.4) we obtain,

 

Techniques to Solve Boundary Value Problems - Civil Engineering (CE)

 

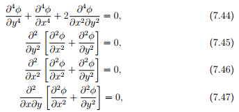
Substituting for strain from equation (7.43) in the compatibility condition (7.7) through (7.12), the non-trivial equations are

 

Techniques to Solve Boundary Value Problems - Civil Engineering (CE)

Now, for equations (7.45) through (7.47) to hold,

Techniques to Solve Boundary Value Problems - Civil Engineering (CE)

where αi ’s are constants. Differentiating equation (7.48) with respect to x twice and adding to this the result of differentiation of equation (7.48) with respect to y twice, we obtain equation (7.44). Thus, for equations (7.44) through (7.47) to hold it suffices that φ satisfy equation (7.48) along with the prescribed boundary conditions. Comparing the expression for €zz in equation (7.43) and the requirement (7.48) arising from compatibility equations (7.8), (7.9) and (7.11) is a restriction on how the out of plane normal strain can vary, i.e.,€zz = ¯α1x + ¯α2y + ¯α3, where ¯αi ’s are some constants. Hence, this requirement that φ satisfy equation (7.48) does not lead to solution of a variety of boundary value problems. Due to Poisson’s effect plane stress does not lead to plane strain and vice versa, resulting in the present difficulty. To overcome this difficulty, it has been suggested that for plane problems one should use the 2 dimensional constitutive relations, instead of 3 dimensional constitutive relations that we have been using till now.

Since, the constitutive relation is 2 dimensional, plane stress implies plane strain and the three independent Cartesian components of the plane stress and strain are related as,

Techniques to Solve Boundary Value Problems - Civil Engineering (CE)

Inverting the above equations we obtain

Techniques to Solve Boundary Value Problems - Civil Engineering (CE)
By virtue of using (7.49) to compute the strain for the plane state of stress given in equation (7.42), the only non-trivial restriction from compatibility condition is (7.7) which requires that

Techniques to Solve Boundary Value Problems - Civil Engineering (CE)

Equation (7.51) is called as the bi-harmonic equation. Thus, for two dimensional problems formulated using stress, one has to find the Airy’s stress potential that satisfies the boundary conditions and the bi-harmonic equation (7.51). Then using this stress potential, the stresses are computed using (7.42). Having estimated the stress, the strain are found from the two dimensional constitutive relation (7.49). Finally, using this estimated strain, the strain displacement relation (7.1) is integrated to obtain the smooth displacement field. We study bending problems in chapter 8 using this approach.
Recognize that equation (7.51) is nothing but ∆(∆(φ)) = 0, where ∆(·) is the Laplacian operator.
Next, we would like to formulate the plane stress problem in cylindrical polar coordinates. Let us assume that the cylindrical polar components of this plane stress state is

 

Techniques to Solve Boundary Value Problems - Civil Engineering (CE)

Further, let us assume that body forces are absent and that the Airy’s stress function depends on only r and θ, i.e. φ = φˆ(r, θ). For this case, the Cauchy stress cylindrical polar components are assumed to be

Techniques to Solve Boundary Value Problems - Civil Engineering (CE)

so that it satisfies the static equilibrium equations in the absence of body forces, equation (7.6). Then, using a 2 dimensional constitutive relation, the cylindrical polar components of the strain are related to the cylindrical polar components of the stress through,

Techniques to Solve Boundary Value Problems - Civil Engineering (CE)

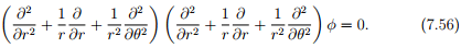
As shown before, the only non-trivial restriction from compatibility condition in 2 dimensions is (7.7) and this in cylindrical polar coordinates takes the form,

Techniques to Solve Boundary Value Problems - Civil Engineering (CE)

Substituting equation (7.54) and (7.53) in (7.55) and simplifying we obtain,
 

Techniques to Solve Boundary Value Problems - Civil Engineering (CE)

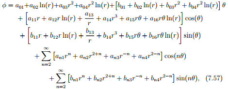
A general periodic solution to the bi-harmonic equation in cylindrical polar coordinates, (7.56) is

 

Techniques to Solve Boundary Value Problems - Civil Engineering (CE)

where anm and bnm are constants to be determined from boundary conditions.are constants to be determined from boundary conditions.

Techniques to Solve Boundary Value Problems - Civil Engineering (CE)

The document Techniques to Solve Boundary Value Problems - Civil Engineering (CE) is a part of Civil Engineering (CE) category.
All you need of Civil Engineering (CE) at this link: Civil Engineering (CE)

FAQs on Techniques to Solve Boundary Value Problems - Civil Engineering (CE)

1. What are the key techniques used to solve boundary value problems?
Ans. The key techniques used to solve boundary value problems include the shooting method, finite difference method, finite element method, spectral methods, and Green's function method.
2. How does the shooting method work for solving boundary value problems?
Ans. The shooting method involves transforming a boundary value problem into an initial value problem by guessing the values of the unknown boundary conditions. The problem is then solved iteratively by adjusting the initial guesses until the desired boundary conditions are satisfied.
3. What is the finite difference method and how is it used to solve boundary value problems?
Ans. The finite difference method approximates derivatives of a function using discrete differences. It involves dividing the domain into a grid and replacing the derivatives in the differential equation with finite difference approximations. The resulting system of algebraic equations is then solved to obtain the solution to the boundary value problem.
4. How does the finite element method work for solving boundary value problems?
Ans. The finite element method divides the domain into smaller subdomains called elements and approximates the solution within each element using piecewise polynomial functions. The method involves constructing a system of equations based on the weak form of the differential equation and solving it to obtain the solution to the boundary value problem.
5. What are spectral methods and how are they used to solve boundary value problems?
Ans. Spectral methods utilize the properties of orthogonal functions (such as Fourier series or Chebyshev polynomials) to approximate the solution to a boundary value problem. The method involves expanding the solution in terms of these orthogonal functions and determining the coefficients that best fit the boundary conditions. Spectral methods are known for their high accuracy and convergence rates.
Download as PDF

Top Courses for Civil Engineering (CE)

Related Searches

pdf

,

Techniques to Solve Boundary Value Problems - Civil Engineering (CE)

,

past year papers

,

video lectures

,

Semester Notes

,

ppt

,

mock tests for examination

,

MCQs

,

Summary

,

Techniques to Solve Boundary Value Problems - Civil Engineering (CE)

,

Objective type Questions

,

shortcuts and tricks

,

Free

,

Viva Questions

,

Sample Paper

,

study material

,

Important questions

,

practice quizzes

,

Techniques to Solve Boundary Value Problems - Civil Engineering (CE)

,

Extra Questions

,

Previous Year Questions with Solutions

,

Exam

;