Chemistry Exam  >  Chemistry Notes  >  Physical Chemistry  >  The Joule Thomson Effect & Zeroth Law of Thermodynamics

The Joule Thomson Effect & Zeroth Law of Thermodynamics | Physical Chemistry PDF Download

The Joule Thomson Effect

The phenomenon of change of temperature produced when a gas is made to expand adiabatically from a region of high pressure to a region of externally low pressure is known as the Joule-Thomson Effect.
The ratio of change in temperature w.r.t. change in pressure at constant enthalpy is known as JouleThomson coefficient.  This experiment is known as Joule Thomson experiment.

 The Joule Thomson Effect & Zeroth Law of Thermodynamics | Physical Chemistry

Suppose a certain amount of gas is passed through the porous plug.  We than have
Change in volume on the left hand side = – V1
Work involved on the left hand side = P1V1
Change in volume on right hand side = V2
Work involved on the right hand side = – P2V2
Net work involved in the system = – P2V2 + P1V
Because the process is adiabat ic, dq = 0 then from first law
We have, dq = dU – ω = 0
dU = ω
or U2 – U1 = – P2V2 + P1V1
U2 + P2V2 = U1 + P1V1
or
H= H1
i.e., adiabatic process is isoenthalpic in Joule-Thomson experiment.
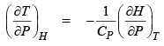
Joule Thomson coefficient is represented by  mJ.T and is equal to

 The Joule Thomson Effect & Zeroth Law of Thermodynamics | Physical Chemistry

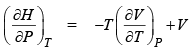
We now that,
H = H(P,T)

 The Joule Thomson Effect & Zeroth Law of Thermodynamics | Physical Chemistry                 The Joule Thomson Effect & Zeroth Law of Thermodynamics | Physical Chemistry
The Joule Thomson Effect & Zeroth Law of Thermodynamics | Physical Chemistry
The Joule Thomson Effect & Zeroth Law of Thermodynamics | Physical Chemistry
The Joule Thomson Effect & Zeroth Law of Thermodynamics | Physical Chemistry
The Joule Thomson Effect & Zeroth Law of Thermodynamics | Physical Chemistry

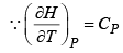
We know that  
The Joule Thomson Effect & Zeroth Law of Thermodynamics | Physical Chemistry

 then we have,

 The Joule Thomson Effect & Zeroth Law of Thermodynamics | Physical Chemistry
The Joule Thomson Effect & Zeroth Law of Thermodynamics | Physical Chemistry
i.e.   

The Joule Thomson Effect & Zeroth Law of Thermodynamics | Physical Chemistry
The Joule Thomson Effect & Zeroth Law of Thermodynamics | Physical Chemistry

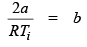
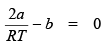
Inversion temperature: The temperature at which the Joules-Thomson coefficient changes sign is known as the inversion temperature. Another words, inversion temperature is the temperature at which real gas behave ideally.
We know that μJ .T. = 0 for ideal gas

 The Joule Thomson Effect & Zeroth Law of Thermodynamics | Physical Chemistry
The Joule Thomson Effect & Zeroth Law of Thermodynamics | Physical Chemistry
⇒ The Joule Thomson Effect & Zeroth Law of Thermodynamics | Physical Chemistry
The Joule Thomson Effect & Zeroth Law of Thermodynamics | Physical Chemistry

Where Ti is known as inversion temperature.

Zeroth law of thermodynamics: “If body A is in equilibrium with body B is also in equilibrium with body C, then bodies A and B are in equilibrium with each other.”

The document The Joule Thomson Effect & Zeroth Law of Thermodynamics | Physical Chemistry is a part of the Chemistry Course Physical Chemistry.
All you need of Chemistry at this link: Chemistry
84 videos|142 docs|67 tests

FAQs on The Joule Thomson Effect & Zeroth Law of Thermodynamics - Physical Chemistry

1. What is the Joule Thomson effect?
Ans. The Joule Thomson effect, also known as the Joule-Kelvin effect, refers to the change in temperature of a gas when it undergoes a throttling process. It occurs when a gas flows through a porous plug or a valve, causing a drop or rise in temperature depending on the conditions. This phenomenon is important in various applications, such as refrigeration and natural gas processing.
2. How does the Joule Thomson effect relate to the Zeroth Law of Thermodynamics?
Ans. The Joule Thomson effect is closely related to the Zeroth Law of Thermodynamics. The Zeroth Law states that if two systems are in thermal equilibrium with a third system, they are also in thermal equilibrium with each other. In the context of the Joule Thomson effect, this means that when a gas undergoes a throttling process, its temperature will change until it reaches thermal equilibrium with its surroundings. This principle helps explain why the temperature of a gas changes during the Joule Thomson process.
3. What factors affect the direction of temperature change in the Joule Thomson effect?
Ans. The direction of temperature change in the Joule Thomson effect depends on the gas's Joule Thomson coefficient (μ) and its initial conditions. If the gas has a positive μ value, it will experience a temperature increase (heating) during throttling when it expands. Conversely, if the gas has a negative μ value, it will experience a temperature decrease (cooling) during throttling when it expands. The pressure and temperature of the gas before and after throttling also play a role in determining the temperature change.
4. What are some practical applications of the Joule Thomson effect?
Ans. The Joule Thomson effect has several practical applications. One of the most common applications is in refrigeration systems, where the expansion of a compressed gas causes it to cool down, leading to the cooling of the surrounding environment. This principle is used in household refrigerators and air conditioning units. Additionally, the Joule Thomson effect is important in natural gas processing, as it allows for the removal of impurities and the separation of various components of the gas mixture.
5. How does the Joule Thomson effect differ from the Joule heating effect?
Ans. The Joule Thomson effect and the Joule heating effect are two different phenomena. The Joule Thomson effect refers to the change in temperature of a gas during throttling, while the Joule heating effect refers to the increase in temperature of a conductor due to the passage of an electric current. Both effects involve the conversion of mechanical energy into thermal energy, but they occur in different contexts and have distinct mechanisms.
Related Searches

past year papers

,

mock tests for examination

,

study material

,

Exam

,

Sample Paper

,

Semester Notes

,

Summary

,

shortcuts and tricks

,

MCQs

,

Objective type Questions

,

Important questions

,

Free

,

pdf

,

Previous Year Questions with Solutions

,

The Joule Thomson Effect & Zeroth Law of Thermodynamics | Physical Chemistry

,

video lectures

,

Viva Questions

,

The Joule Thomson Effect & Zeroth Law of Thermodynamics | Physical Chemistry

,

practice quizzes

,

The Joule Thomson Effect & Zeroth Law of Thermodynamics | Physical Chemistry

,

ppt

,

Extra Questions

;