JEE Exam  >  JEE Notes  >  35 Years Chapter wise Previous Year Solved Papers for JEE  >  True/False: Ray & Wave Optics | JEE Advanced

True/False: Ray & Wave Optics | JEE Advanced | 35 Years Chapter wise Previous Year Solved Papers for JEE PDF Download

True/False

Q.1. The setting sun appears higher in the sky than it really is.    (1980)

Ans. T

Solution. This is due to atmospheric refraction. The light coming from sun bends towards the normal. Therefore, sun appears higher.

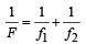
Q.2. The intensity of light at a distance ‘r’ from the axis of a long cylindrical source is inversely proportional to ‘r’.       (1981- 2 Marks)

Ans. T

Solution. KEY CONCEPT : Formula for intensity of a line source of power (P) at a distance r from the source is True/False: Ray & Wave Optics | JEE Advanced | 35 Years Chapter wise Previous Year Solved Papers for JEE

Q.3. A convex lens of focal length 1 meter and a  concave lens of focal length 0.25 meter are kept 0.75 meter apart. A parallel beam of light  first passes through the  convex lens, then through the concave lens and comes to a focus 0.5 m away from the concave lens.       (1983 - 2 Marks)

Ans. F

Solution. The image formed by the convex lens at the focus of the concave lens. Therefore I will act as a virtual object for concave lens and angle will be formed at infinity.

True/False: Ray & Wave Optics | JEE Advanced | 35 Years Chapter wise Previous Year Solved Papers for JEE

Q.4. A beam of white light passing through a hollow prism give no spectrum.     (1983 - 2 Marks)

Ans. T

Solution. NOTE : For the light to split, the material through which the light passes should have refractive index greater than 1.

Since the prism is hollow, we get no spectrum. The thickness of glass slabs through which the prism is made can be neglected.

Q.5. The two slits in a Young’s double slit experiment are illuminated by two different sodium lamps emitting light of the same wavelength. No interference pattern will be observed on the screen.    (1984- 2 Marks)

Ans. T

Solution. When the two slits of Young's double slit experiment are illuminated by two different sodium lamps, then the sources are not coherent and hence sustained interference pattern will not be achieved. It will change so quickly that there will be general illumination and hence interference pattern will not be observed.

Q.6. In a Young’s double slit experiment performed with a source of white light, only black and white fringes are observed.     (1987 - 2 Marks)

Ans. F

Solution. In Young's double slit experiment if source is of white light than the central fringe is white with coloured fringes on either side.

Q.7. A parallel beam of white light fall on a combination of a concave and a convex lens, both of the same meterial. Their focal lengths are 15 cm and 30 cm respectively for the mean wavelength in white light. On the other side of the lens system, one sees coloured patterns with violet colour at the outer edge.         (1988 - 2 Marks)

Ans. T

Solution.

True/False: Ray & Wave Optics | JEE Advanced | 35 Years Chapter wise Previous Year Solved Papers for JEE

True/False: Ray & Wave Optics | JEE Advanced | 35 Years Chapter wise Previous Year Solved Papers for JEE

This combination behaves as a concave lens of focal length 30 cm.

Since Fv < Fr

∴One sees coloured pattern with violet colour at the outer edge.

The document True/False: Ray & Wave Optics | JEE Advanced | 35 Years Chapter wise Previous Year Solved Papers for JEE is a part of the JEE Course 35 Years Chapter wise Previous Year Solved Papers for JEE.
All you need of JEE at this link: JEE
347 docs|185 tests

FAQs on True/False: Ray & Wave Optics - JEE Advanced - 35 Years Chapter wise Previous Year Solved Papers for JEE

1. What is the difference between ray optics and wave optics?
Ans. Ray optics is a branch of optics that considers light as a straight line or ray, and it focuses on the behavior of light when it interacts with objects of larger dimensions compared to the wavelength of light. On the other hand, wave optics is a branch of optics that considers light as a wave and focuses on the interference, diffraction, and polarization of light.
2. What is the principle of reflection in ray optics?
Ans. The principle of reflection in ray optics states that the angle of incidence is equal to the angle of reflection. This means that when a ray of light strikes a surface and gets reflected, the angle between the incident ray and the normal to the surface is equal to the angle between the reflected ray and the normal.
3. How does Snell's law explain the refraction of light in ray optics?
Ans. Snell's law is a fundamental law in ray optics that explains the refraction of light at the interface between two media with different refractive indices. It states that the ratio of the sine of the angle of incidence to the sine of the angle of refraction is equal to the ratio of the refractive indices of the two media.
4. What is the phenomenon of interference in wave optics?
Ans. Interference is a phenomenon in wave optics that occurs when two or more waves overlap and combine to form a resultant wave. It can be either constructive, where the waves reinforce each other and create regions of higher intensity, or destructive, where the waves cancel each other out and create regions of lower intensity.
5. How does polarization of light occur in wave optics?
Ans. Polarization of light occurs in wave optics when the electric field vector of a light wave vibrates in a specific plane. This can be achieved by passing unpolarized light through a polarizing filter or by scattering light off a surface at a specific angle. Polarized light is used in various applications such as 3D glasses and LCD screens.
Related Searches

pdf

,

Summary

,

Previous Year Questions with Solutions

,

Sample Paper

,

study material

,

Free

,

Semester Notes

,

past year papers

,

Viva Questions

,

practice quizzes

,

True/False: Ray & Wave Optics | JEE Advanced | 35 Years Chapter wise Previous Year Solved Papers for JEE

,

True/False: Ray & Wave Optics | JEE Advanced | 35 Years Chapter wise Previous Year Solved Papers for JEE

,

shortcuts and tricks

,

Exam

,

Important questions

,

Objective type Questions

,

mock tests for examination

,

video lectures

,

Extra Questions

,

MCQs

,

True/False: Ray & Wave Optics | JEE Advanced | 35 Years Chapter wise Previous Year Solved Papers for JEE

,

ppt

;