JEE Exam  >  JEE Notes  >  Mathematics (Maths) for JEE Main & Advanced  >  Real Valued Functions

Real Valued Functions | Mathematics (Maths) for JEE Main & Advanced PDF Download

FUNCTIONS
A function is a relation that maps each element x of a set A with one and only one element y of another set B. In other words, it is a relation between a set of inputs and a set of outputs in which each input is related with a unique output. A function is a rule that relates an input to exactly one output.

Real Valued Functions | Mathematics (Maths) for JEE Main & AdvancedIt is a special type of relation. A relation f from a set A to a set B is said to be a function if every element of set A has one and only one image in set B and no two distinct elements of B have the same mapped first element.  A and B are the non-empty sets. The whole set A is the domain and the whole set B is codomain.

Definition: A function is a rule (or a set of rules) which relates or associates each and every element of a non empty set A with the unique element of the non empty set B.

REPRESENTATION
A function f: A → B is represented as f(a) = b such that for a ∈ A there is a unique element b ∈ B such that (a, b) ∈ f.

For any function f, the notation f(a) is read as “f of a” and represents the value of b when a is replaced by the number or expression inside the parenthesis. The element b is the image of a under f and a is the pre-image of b under f.

The set ‘A’ is called the domain of ‘f’.

The set ‘B’ is called the co-domain of ‘f’.

Set of images (outputs) of different elements of the set A is called the range of ‘f’. It is obvious that range could be a subset of the co-domain as we may have some elements in the co-domain which are not the images of any element of A (of course, these elements of the co-domain will not be included in the range). Range is also called domain of variation.

If R is the set of real numbers and A and B are subsets of R, then the function f (A) is called a real−valued function or a real function.

Domain of a function ‘f’ is normally represented as Domain (f). Range is represented as Range (f). Note that some times domain of the function is not explicitly defined. In these cases domain would mean the set of values of ‘x’ for which f (x) assumes real values that is if y = f (x) then called Domain (f) = {x : f (x) is a real number}.

In other words, domain is defined as a set of all those values of x for which the given function is defined.


Note: Every function is a relation but every relation need not be a function.
For example: Let A = {1, 2, 3}
R1 = {(1, 1), (2, 3), (3, 3)}
R2 = {(1, 1)(1, 2), (3, 2)(2, 1)}
Here R1 is a function but R2 is not a function because here element 1 has two images as 1 and 2.

Q. Which of the following is a function?

Real Valued Functions | Mathematics (Maths) for JEE Main & Advanced

Real Valued Functions | Mathematics (Maths) for JEE Main & Advanced

Real Valued Functions | Mathematics (Maths) for JEE Main & AdvancedAns. Figure 3 is an example of function since every element of A is mapped to a unique element of B and no two distinct elements of B have the same pre-image in A.


Q. Find the domain and range of the function 
Real Valued Functions | Mathematics (Maths) for JEE Main & Advanced
Ans. The function
Real Valued Functions | Mathematics (Maths) for JEE Main & Advanced
is defined for x ≥ 5
⇒ The domain is [5, ∞] .
Also, for any
Real Valued Functions | Mathematics (Maths) for JEE Main & Advanced
⇒ The range of the function is [0, ∞] .

Q. Find the domain and the range of the function y = f (x), where f (x) is given by
(i) x2 − 2x − 3

Real Valued Functions | Mathematics (Maths) for JEE Main & Advanced
Real Valued Functions | Mathematics (Maths) for JEE Main & Advanced
(iv) tan x
(v) tan−1x
(vi) log10 (x).
(vii) sin x

Ans. 
(i) Here y = (x − 3) (x + 1).
The function is defined for all real values of x
⇒ Its domain is R.
Also x2 − 2x − 3 − y = 0 for real x
⇒ 4 + 4 (3 + y) ≥ 0 ⇒ − 4 ≤ y < ∞.
Hence the range of the given function is [- 4, ∞].
(ii) Here
Real Valued Functions | Mathematics (Maths) for JEE Main & Advanced

⇒ (x − 3) (x + 1) ≥ 0 so that x ≥ 3 or x ≤ − 1.
Hence the domain is R − (− 1, 3) or (− ∞, - 1] ∪ [3, ∞].

Since f(x) is non−negative in the domain, the range of f (x) is the interval [0, ∞].
(iii) The given function is defined for all x ≥ 0
⇒ The domain is [0, ∞].
Moreover - 1 ≤ f (x) < ∞
⇒ The range is [- 1, ∞].
(iv) The function f (x) = tan x = sin x/cos x is not defined when
cos x = 0, or x = (2n + 1) π/2, n = 0, ± 1, ± 2, …….
Hence domain of tan x is R -{(2n + 1)π/2, n = 0, + 1, + 2,....}, and its range is R. 

(v) The function f (x) = tan−1 x, is defined for all real values of x and -π/2 < tan-1 < π/2.
Hence its domain is R and the range is (-π/2, π/2).
(vi) The function f (x) = log10 x is defined for all x > 0. Hence its domain is (0, ∞) and range is R. 

(vii) The function f (x) = sin x, (x in radians) is defined for all real values of x
⇒ domain of f (x) is R. Also − 1 ≤ sin x ≤ 1, for all x,
so that the range of f (x) is [− 1, 1].

Different types of functions and their graphical representation

Identity function

A function f:R → R is said to be an identity function if f(x) = x, ∀ x ϵ R denoted by IR.

Let A = {1, 2, 3}

The function f: A → A defined by f(x) = x is an identity function.

f = {(1,1), (2,2), (3,3)}.

Real Valued Functions | Mathematics (Maths) for JEE Main & Advanced


The graph of an identity function is a straight line passing through the origin.Real Valued Functions | Mathematics (Maths) for JEE Main & Advanced

Each point on this line is equidistant from the coordinate axes.

The straight line makes an angle of 45° with the coordinate axes.
Example:
Let A = {1, 2, 3, 4, 5, 6}
Then Identity function on set A will be defined as
IA : A → A , IA = x , x ∈ A
for x = 1 , IA(1) = x = 1
for x = 2 , IA(1) = x = 2
for x = 3 , IA(1) = x = 3
for x = 4 , IA(1) = x = 4
for x = 5 , IA(1) = x = 5
Domain, Range and co-domain will be Set A

Constant function
A function f:R → R is said to be a constant function, if f(x) = c , ∀ x ϵ R, where c is a constant.

Let f:R → R be a constant function defined by f(x) = 4 , ∀ x ϵ R.

The ordered pairs satisfying the linear function are: (0, 4), (-1, 4), (2, 4).

If the range of a function is a singleton set, then it is known as a constant function.

On plotting these points on the Cartesian plane and then joining them, we get the graph of the constant function f of x = 4,∀ x ϵ R as shown.

Real Valued Functions | Mathematics (Maths) for JEE Main & Advanced

Also, from the graph, we can conclude that the graph of a constant function, f(x) = c, is always a straight line parallel to the X-axis, intersecting the Y-axis at (0, c).

Q. Which of the graph represent a constant function?
Real Valued Functions | Mathematics (Maths) for JEE Main & AdvancedAns.
The graph should be parallel to x-axis for the function to be constant function
So C and D are constant function.

Polynomial function

A polynomial function is defined by y = a+ a1x + a2x2 + … + anxn, where n is a non-negative integer and a0, a1, a2,…, n ∈ R. The highest power in the expression is the degree of the polynomial function. Polynomial functions are further classified based on their degrees:
If the degree is zero, the polynomial function is a constant function (explained above).

Examples of polynomial functions

f(x) = x2 + 5x + 6 ,∀ x ϵ R (Degree is 2)

and f (x) = x3 + 4x + 2 ,∀ x ϵ R (Degree is 3)

Note: In a polynomial function, the powers of the variables should be non-negative integers.For example, f(x) = √x + 2 (∀ x ϵ R) is not a polynomial function because the power of x is a rational number.

Consider the polynomial function, f(x) = 3x2 +2x -3 ,∀ x ϵ RThe ordered pairs satisfying the polynomial function are (0, -3), (-1, -2), (1, 2), (2, 13), (-2, 5).

On plotting these points on the Cartesian plane and then joining them, we get the graph of the polynomial function f of x is equal to 3 x2 + 2 x - 3 ,∀ x ϵ R as shown.

Real Valued Functions | Mathematics (Maths) for JEE Main & Advanced


Linear function
A function f:R → R is said to be a linear function if f (x) = ax + b, where a ≠ 0, a and b are real constants, and x is a real variable. It is a polynomial function with degree one.

Consider the linear function, f(x) = 3x + 7, ∀ x ϵ R

The ordered pairs satisfying the linear function are (0, 7), (-1, 4), (-2, 1).

On plotting these points on the Cartesian plane and then joining them, we get the graph of the linear function f of x is equal to 3x + 7, ∀ x ϵ R as shown in the figure.

Real Valued Functions | Mathematics (Maths) for JEE Main & Advanced

Quadratic Function: If the degree of the polynomial function is two, then it is a quadratic function. It is expressed as f(x) = ax2 + bx + c, where a ≠ 0 and a, b, c are constant & x is a variable. The domain and the range are R. The graphical representation of a quadratic function say, f(x) = x2 – 4 is

Real Valued Functions | Mathematics (Maths) for JEE Main & Advanced

Cubic Function: A cubic polynomial function is a polynomial of degree three and can be denoted by f(x) = ax3 + bx2 + cx +d, where a ≠ 0 and a, b, c, and d are constant & x is a variable. Graph for f(x) = y = x3 – 5. The domain and the range are R.

Real Valued Functions | Mathematics (Maths) for JEE Main & Advanced

Rational function
If f(x) and g(x) be two polynomial functions, then f(x)/g(x) such that g(x) ≠ 0 and ∀ x ϵ R, is known as a rational function.

Let us consider the function f ( x) = 2x -5/3x - 2 (x ≠ ⅔).

The ordered pairs satisfying the polynomial function are: (0, 5), (2, -¼), (1, -3).

On plotting these points on the Cartesian plane and then joining them, we get the graph of the given rational function as shown.
Real Valued Functions | Mathematics (Maths) for JEE Main & Advanced


Modulus function
A function f: R → R defined by f(x) = |x| (∀ x ϵ R) is known as a modulus function.

If x is negative, then the value of the function is minus x, and if x is non-negative, then the value of the function is x. i.e. f(x) = x if x ≥ 0 = - x if x < 0.

The ordered pairs satisfying the polynomial function are (0, 0), (-1, 1), (1, 1), (-3, 3), (3, 3).

On plotting these points on the Cartesian plane and then joining them, we get the graph of modulus function f of x is equal to mod of x.
Real Valued Functions | Mathematics (Maths) for JEE Main & Advanced

Greatest integer function
A function f: R → R defined by f(x) = [x],∀ x ϵ R assumes the value of the greatest integer, less than or equal to x.

From the definition of [x], we can see that

[x] = -1 for -1 £ x < 0

[x] = 0 for 0 £ x < 1

[x] = 1 for 1 £ x < 2

[x] = 2 for 2 £ x < 3, and so on.

⇒  f(2.5) will give the value 2 and f(1.2) will give the value 1, and so on…

Hence, the graph of the greatest integer function is as shown.
Real Valued Functions | Mathematics (Maths) for JEE Main & Advanced

Signum Function

A function f: R→ R defined by

f(x) = { 1, if x > 0; 0, if x = 0; -1, if x < 0

Signum or the sign function extracts the sign of the real number and is also known as step function.

Real Valued Functions | Mathematics (Maths) for JEE Main & Advanced

Trigonometric function
(i) Function: f(x) = sin x
Domain: x ∈ R
Range: y ∈ [–1, 1]
Curve:
 Real Valued Functions | Mathematics (Maths) for JEE Main & Advanced
(ii) Function: f(x) = cos x
Domain: x ∈ R
Range: y ∈ [–1, 1]
Curve:
Real Valued Functions | Mathematics (Maths) for JEE Main & Advanced
(iii) Function: f(x) = tan x
Domain: x ∈ R
Range: y ∈ R
Curve:
Real Valued Functions | Mathematics (Maths) for JEE Main & Advanced
(iv) Function: f(x) = cot x
Domain: x ∈ R – (2n + 1) π / 2, n ∈ I
Range: y ∈ R
Curve:
Real Valued Functions | Mathematics (Maths) for JEE Main & Advanced
(v) Function: f(x) = cosec x
Domain: x ∈ R – nπ, n ∈ I
Range: y ∈ (-∞, –1] ∪ [1, ∞)
Curve:
Real Valued Functions | Mathematics (Maths) for JEE Main & Advanced
(vi) Function: f(x) = sec x
Domain: x ∈ R – (2n + 1) π / 2 , n ∈ I
Range: y ∈ (-∞, –1] ∪ [1, ∞)
Curve:
Real Valued Functions | Mathematics (Maths) for JEE Main & Advanced

Algebraic Function
A function is called an algebraic function. If it can be constructed using algebraic operations such as additions, subtractions, multiplication, division taking roots etc.
All polynomial functions are algebraic but converse is not true
Example: f(x) =Real Valued Functions | Mathematics (Maths) for JEE Main & Advanced+ x + (x3 + 5)3 / 5, f(x) = x3 + 3x2 + x + 5
Remark : Function which are not algebraic are called as transcendental function.
Example: Real Valued Functions | Mathematics (Maths) for JEE Main & Advanced
Example:Real Valued Functions | Mathematics (Maths) for JEE Main & Advanced

Logarithmic function
f(x) = logax, where x > 0, a > 0, a ≠ 1
a → base, x → number or argument of log.
Case – I : 0 < a < 1
 f(x) = loga x
Domain : x ∈ (0, ∞)
Range : y ∈ R
Real Valued Functions | Mathematics (Maths) for JEE Main & Advanced
Case – II : a > l
  f(x) = ln x
Real Valued Functions | Mathematics (Maths) for JEE Main & Advanced

Exponential function
f(x) = ax, where a > 0, a ≠ 1
a → Base x → Exponent
Case – I : 0 < a < 1 ; a = 1 / 2
Real Valued Functions | Mathematics (Maths) for JEE Main & Advanced
Domain : x ∈ R
Range : y ∈ (0, ∞)
Real Valued Functions | Mathematics (Maths) for JEE Main & Advanced
Case – II : a > 1
Real Valued Functions | Mathematics (Maths) for JEE Main & Advanced

Fractional part function
y = f(x) = {x} = x – [x]
Domain : x ∈ R; Range : [0, 1)
Real Valued Functions | Mathematics (Maths) for JEE Main & Advanced
Example:
Real Valued Functions | Mathematics (Maths) for JEE Main & Advanced
Properties:
(i) Fractional part of any integer is zero.
(ii) {x + n} = {x}, n ∈ I
(iii)Real Valued Functions | Mathematics (Maths) for JEE Main & Advanced

Examples
Example.1. Find the range of the following functions:
(a)Real Valued Functions | Mathematics (Maths) for JEE Main & Advanced
(b)Real Valued Functions | Mathematics (Maths) for JEE Main & Advanced
Ans. (a) We have,
Real Valued Functions | Mathematics (Maths) for JEE Main & Advanced
i.e. Real Valued Functions | Mathematics (Maths) for JEE Main & Advanced
i.e.Real Valued Functions | Mathematics (Maths) for JEE Main & Advanced
since, Real Valued Functions | Mathematics (Maths) for JEE Main & Advanced
therefore we haveReal Valued Functions | Mathematics (Maths) for JEE Main & Advanced
i.e.Real Valued Functions | Mathematics (Maths) for JEE Main & Advanced
i.e.Real Valued Functions | Mathematics (Maths) for JEE Main & Advanced
i.e.Real Valued Functions | Mathematics (Maths) for JEE Main & Advanced
Hence, the range isReal Valued Functions | Mathematics (Maths) for JEE Main & Advanced
(b) We have,
Real Valued Functions | Mathematics (Maths) for JEE Main & Advanced
Now, we have 2 ≤ x2 + 2 < ∞ i.e.Real Valued Functions | Mathematics (Maths) for JEE Main & Advanced
i.e.Real Valued Functions | Mathematics (Maths) for JEE Main & Advanced
i.e.Real Valued Functions | Mathematics (Maths) for JEE Main & Advanced
i.e.Real Valued Functions | Mathematics (Maths) for JEE Main & Advanced
i.e.Real Valued Functions | Mathematics (Maths) for JEE Main & Advanced
givesReal Valued Functions | Mathematics (Maths) for JEE Main & Advanced
Hence, the range isReal Valued Functions | Mathematics (Maths) for JEE Main & Advanced

Example.2. Find the range of following functions :  
(i) y = ln (2x – x2)
(ii) y = sec – 1 (x2 + 3x + 1)
Solution. (i)
using maxima–minima, we have (2x – x2) ∈ (–∞, 1]
For log to be defined accepted values are 2x – x2 ∈ (0, 1] {i.e. domain (0, 1]}
ln (2x – x2) ∈ (0, 1] ∴ range is (–∞, 0]
(ii) y = sec–1 (x2 + 3x + 1)
Let t = x2 + 3x + 1 for x ∈ R thenReal Valued Functions | Mathematics (Maths) for JEE Main & Advanced
but y = sec–1 (t)Real Valued Functions | Mathematics (Maths) for JEE Main & Advanced
from graph range isReal Valued Functions | Mathematics (Maths) for JEE Main & Advanced
Real Valued Functions | Mathematics (Maths) for JEE Main & Advanced

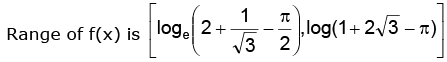
Example.3. Find the range ofReal Valued Functions | Mathematics (Maths) for JEE Main & Advanced
Solution.
We have,
Real Valued Functions | Mathematics (Maths) for JEE Main & Advancedwhich is a positive quantity whose minimum value is 3 / 4.
Also, for the functionReal Valued Functions | Mathematics (Maths) for JEE Main & Advancedto be defined, we have x+ x + 1 ≤ 1
Thus, we have
Real Valued Functions | Mathematics (Maths) for JEE Main & Advanced
[∴ sin-1 x is an increasing function, the inequality sign remains same]
i.e.Real Valued Functions | Mathematics (Maths) for JEE Main & Advanced
i.e.Real Valued Functions | Mathematics (Maths) for JEE Main & Advanced
Hence, the range is y ∈ [ln π / 3, ln π / 2]

Example.4.Real Valued Functions | Mathematics (Maths) for JEE Main & Advanced.If the range of this function is [– 4, 3) then find the value of (m2 + n2).
Solution.

Real Valued Functions | Mathematics (Maths) for JEE Main & AdvancedReal Valued Functions | Mathematics (Maths) for JEE Main & Advanced
Real Valued Functions | Mathematics (Maths) for JEE Main & Advancedfor  y to lie in [– 4, 3) mx + n – 3 < 0 ∀ x ∈ R
this is possible only if m = 0 when, m = 0 thenReal Valued Functions | Mathematics (Maths) for JEE Main & Advanced
note that n - 3 < 0 (think !) n < 3 if x → ∞, ymax → 3-

now ymin occurs at x = 0 (as 1 + x2 is minimum)

ymin = 3 + n - 3 = n ⇒ n = - 4 so m2 + n2 = 16

Example.5. Find the domain and range of f(x) =Real Valued Functions | Mathematics (Maths) for JEE Main & Advanced
Solution.
Real Valued Functions | Mathematics (Maths) for JEE Main & Advancedis positive and x2 < 4 ⇒ –2 < x < 2
1 – x should also be positive. ∴ x < 1
Thus the domain ofReal Valued Functions | Mathematics (Maths) for JEE Main & Advancedis –2 < x < 1 sine being defined for all values, the domain of sinReal Valued Functions | Mathematics (Maths) for JEE Main & Advancedis the same as the domain ofReal Valued Functions | Mathematics (Maths) for JEE Main & Advanced
To study the range. Consider the functionReal Valued Functions | Mathematics (Maths) for JEE Main & Advanced
As x varies from –2 to 1,Real Valued Functions | Mathematics (Maths) for JEE Main & Advancedvaries in the open interval (0, ∞) and hence

Real Valued Functions | Mathematics (Maths) for JEE Main & Advancedvaries from –∞ to + ∞. Therefore the range of sinReal Valued Functions | Mathematics (Maths) for JEE Main & Advanced

Example.6. Find the range of the function f(x) =Real Valued Functions | Mathematics (Maths) for JEE Main & Advanced
Solution.
ConsiderReal Valued Functions | Mathematics (Maths) for JEE Main & AdvancedAlso g(x) is positive ∀ x ∈ R and g(x) is continuous ∀ x ∈ R and g(0) = 1 andReal Valued Functions | Mathematics (Maths) for JEE Main & Advanced
⇒ g(x) can take all values from (0, 1] ⇒ Range of f(x) = sin–1 (g(x)) is (0, π / 2]

Example.7.Real Valued Functions | Mathematics (Maths) for JEE Main & Advancedfind the domain and range of f(x) (where [ * ] denotes the greatest integer function).
Solution.
If cos–1 x = θ, then– 1 ≤ x ≤ 1
Real Valued Functions | Mathematics (Maths) for JEE Main & Advanced
Real Valued Functions | Mathematics (Maths) for JEE Main & Advanced
Real Valued Functions | Mathematics (Maths) for JEE Main & Advanced
Real Valued Functions | Mathematics (Maths) for JEE Main & Advanced
1 ≤ [x3] + 1 < 9 0 ≤  [x3] < 8 ∴ 0 ≤  x < 2
∴ Domain of f(x) = Dr in x ∈ [0, 2) Range of f(x) When 0 ≤ x < 2
Then 1 ≤  x3 + 1 < 9 ∴ 1 ≤  [x3 + 1] ≤  8
Real Valued Functions | Mathematics (Maths) for JEE Main & Advanced
Case I:
Real Valued Functions | Mathematics (Maths) for JEE Main & Advanced
∴ Range in cos–1 {log 1} and cos–1 {log 2}
Case II
Real Valued Functions | Mathematics (Maths) for JEE Main & Advanced
∴ Rf is (π / 2, cos–1 (log 2))

Example.8. Find the range of the following functions
(i) f(x) = loge (sinx sinx + 1) where 0 < x < π / 2.
(ii) f(x) = loge (2 sin x + tan x - 3x + 1) where π / 6 ≤ x ≤ π /3
Solution. (i)
 0 < x < π / 2 ⇒ 0 < sin x < 1

Range of loge (sin xsin x + 1) for 0 < x < π / 2 = Range of loge (xx + 1) for 0 < x < 1

Let h(x) = xx + 1 = exlogex + 1

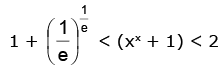
h'(x) = exlogex (1 + loge x) ⇒ h'(x) > 0 for x > 1/e and h'(x) < 0 for x < 1/e

∴ h(x) has a minima at x = 1/e
Real Valued Functions | Mathematics (Maths) for JEE Main & Advanced
Real Valued Functions | Mathematics (Maths) for JEE Main & Advanced
∴ 0 < x< 1
Real Valued Functions | Mathematics (Maths) for JEE Main & Advanced
Real Valued Functions | Mathematics (Maths) for JEE Main & Advanced
Real Valued Functions | Mathematics (Maths) for JEE Main & Advanced
Real Valued Functions | Mathematics (Maths) for JEE Main & Advanced
(ii) Let h(x) = (2 sin x + tan x – 3x +1) ⇒ h'(x) = (2 cos x + sec2 x – 3)
Real Valued Functions | Mathematics (Maths) for JEE Main & Advanced
∴ h'(x) > 0 ⇒ 2 cos3 x – 3 cos2 x + 1 > 0
Real Valued Functions | Mathematics (Maths) for JEE Main & Advanced
⇒ h(x) is an increasing function of x
⇒ h(π / 6) ≤ h(x) ≤ h(π / 3)
Real Valued Functions | Mathematics (Maths) for JEE Main & Advanced
Real Valued Functions | Mathematics (Maths) for JEE Main & Advanced

The document Real Valued Functions | Mathematics (Maths) for JEE Main & Advanced is a part of the JEE Course Mathematics (Maths) for JEE Main & Advanced.
All you need of JEE at this link: JEE
172 videos|503 docs|154 tests

FAQs on Real Valued Functions - Mathematics (Maths) for JEE Main & Advanced

1. What is a real-valued function?
Ans. A real-valued function is a mathematical function that produces real numbers as output. It means that for every input value, the function returns a real number as an output.
2. What is the difference between a real-valued function and a complex-valued function?
Ans. A real-valued function is a mathematical function that produces real numbers as output, whereas a complex-valued function produces complex numbers as output. Real numbers are numbers that can be represented on a number line, whereas complex numbers have both real and imaginary parts.
3. What are the common types of real-valued functions?
Ans. Some common types of real-valued functions include linear functions, quadratic functions, exponential functions, logarithmic functions, trigonometric functions, and polynomial functions.
4. What is the domain and range of a real-valued function?
Ans. The domain of a real-valued function is the set of all possible input values for which the function is defined, whereas the range of a real-valued function is the set of all possible output values that the function can produce.
5. How are real-valued functions used in real-life applications?
Ans. Real-valued functions are used in various real-life applications such as physics, engineering, finance, and economics. For example, linear functions are used to model the relationship between two variables, while exponential functions are used to model growth or decay. Trigonometric functions are used to model periodic phenomena such as sound and light waves.
Related Searches

Objective type Questions

,

shortcuts and tricks

,

Important questions

,

Summary

,

pdf

,

Exam

,

mock tests for examination

,

Extra Questions

,

Real Valued Functions | Mathematics (Maths) for JEE Main & Advanced

,

Previous Year Questions with Solutions

,

Real Valued Functions | Mathematics (Maths) for JEE Main & Advanced

,

practice quizzes

,

Semester Notes

,

Free

,

ppt

,

Sample Paper

,

study material

,

past year papers

,

video lectures

,

MCQs

,

Viva Questions

,

Real Valued Functions | Mathematics (Maths) for JEE Main & Advanced

;