Q1: Arrange the introduction/coinage of the following concepts in chronological order (oldest to latest):
A. Primitive Socialist Accumulation
B. Development by Dispossession
C. Accumulation by Dispossession
D. Primitive Capitalist Accumulation
E. Knife edge Instability
Choose the correct answer from the options given below:
(a) D, A, E, B, C
(b) A, D, B, E, C
(c) D, A, E, C, B
(d) A, D, B, C, E
Ans: d
Sol: The correct answer is – A, D, B, C, E
Primitive Socialist Accumulation
- This concept was introduced by Soviet economist Evgeny Preobrazhensky in the 1920s.
- It referred to the state's extraction of surplus from the peasantry to finance industrialization under socialism.
- It aimed to accumulate capital in a socialist economy through state mechanisms.
Primitive Capitalist Accumulation
- A concept first discussed by Karl Marx in Das Kapital (published in 1867), though conceptually formalized later in discourse.
- It refers to the historical process of separating producers from the means of production through enclosure, colonization, and privatization.
Development by Dispossession
- A neo-Marxist concept articulated in the late 20th century (1990s), often associated with the structural adjustment policies and neoliberal reforms in the Global South.
- It describes how development often occurs at the cost of dispossessing communities, especially indigenous or marginal populations.
Accumulation by Dispossession
- A concept popularized by David Harvey in the early 2000s.
- It reinterprets Marx’s primitive accumulation in the context of contemporary neoliberal capitalism, highlighting privatization, financialization, and commodification of public goods.
Knife-edge Instability
- A concept from Harrod–Domar growth model introduced in the 1930s–1940s.
- It refers to the inherent instability in the model where the economy must grow at a precise rate to maintain full employment equilibrium—any deviation leads to divergence.
Other Related Points
Chronological Order (Oldest to Newest):
- A – Primitive Socialist Accumulation (1920s)
- D – Primitive Capitalist Accumulation (Conceptual roots in Marx’s 1867 work but widely applied later)
- B – Development by Dispossession (Emerges in the 1990s)
- C – Accumulation by Dispossession (Coined by Harvey, early 2000s)
- E – Knife Edge Instability (Economic theory formalized in the 1930s–40s but placed later in this context due to its economic model framing)
Q2: 'Demographic Dividend' relates to which aspect of population?
(a) An increase of life expectancy
(b) An increase in sex ratio
(c) A decline in total Fertility Rate
(d) An increase in the share of working age population.
Ans: d
Sol: The correct answer is: An increase in the share of working-age population.
Demographic Dividend:
- Refers to the economic growth potential that arises from a shift in a country’s age structure, particularly when the working-age population (15-64 years) grows larger relative to the dependent population (children and elderly).
- This transition provides an opportunity for economic growth if investments are made in education, healthcare, and employment opportunities.
- Countries like China and South Korea have successfully leveraged their demographic dividend to drive rapid economic growth.
Other Related Points
Increase in Life Expectancy:
- While increasing life expectancy is a positive demographic trend, it does not directly contribute to the demographic dividend. It primarily affects the dependent population rather than the working-age group.
Increase in Sex Ratio:
- A higher sex ratio (more females per 1,000 males) is important for gender balance and social stability but is not directly linked to the concept of demographic dividend.
Decline in Total Fertility Rate:
- Lower fertility rates contribute to demographic transition by reducing the proportion of dependent children, but on their own, they do not constitute the demographic dividend. Instead, the key factor is the rise in the working-age population.
Q3: Match LIST-I with LIST-II

Choose the correct answer from the options given below:
(a) A - III, B - II, C - I, D - IV
(b) A - I, B - II, C - III, D - IV
(c) A - II, B - I, C - IV, D - III
(d) A - IV, B - III, C - II, D - I
Ans: a
Sol: The correct answer is - A - III, B - II, C - I, D - IV
Free Trade Area (A - III)
- All members of the group remove tariffs on each other's products.
- Retains its independence in establishing trading prices with non-members.
- Example: North American Free Trade Agreement (NAFTA).
Customs Union (B - II)
- All tariffs are removed between members.
- The group adopts a common external commercial policy toward non-members.
- Example: European Union Customs Union.
Common Market (C - I)
- All tariffs are removed between members.
- A common external trade policy is adopted for non-members.
- Allows free movement of goods, services, capital, and labor between member countries.
- Example: European Economic Area (EEA).
Economic Union (D - IV)
- The most comprehensive and advanced stage of integration.
- Combines features of a common market with additional harmonization of economic policies among member countries.
- Example: European Union (EU).
Other Related Points
Free Trade Area
- A free trade area removes tariffs and trade barriers between member countries.
- However, each country maintains its own trade policies towards non-member countries.
Customs Union
- A customs union eliminates tariffs between member countries and adopts a unified external tariff policy towards non-members.
- This means member countries negotiate trade agreements as a single entity.
Common Market
- A common market goes beyond a customs union by allowing the free movement of factors of production, such as labor and capital, between member countries.
- This integration facilitates more economic cooperation and coordination among members.
Economic Union
- An economic union represents the highest form of economic integration.
- It includes a common market and harmonizes economic policies, including fiscal and monetary policies, among member countries.
- Members may also adopt a common currency, as seen in the European Union with the euro.
Q4: Arrange the following theories in correct chronological order. (starting from the earliest)
A. Cambridge version of quantity theory of money
B. Baumol's theory of demand for money
C. Fisher's version of quantity theory of money
D. Tobin's theory of demand for money
Choose the correct answer from the options given below:
(a) C, A, D, B
(b) A, C, B. D
(c) C, A, B, D
(d) B, C, D, A
Ans: c
Sol: The correct answer is - C, A, B, D
Fisher's version of quantity theory of money (C)
- Proposed by Irving Fisher in 1911.
- Based on the equation of exchange: MV = PT, where M is money supply, V is velocity of money, P is price level, and T is the volume of transactions.
- Emphasizes the direct relationship between money supply and price level.
Cambridge version of quantity theory of money (A)
- Developed by Cambridge economists like Alfred Marshall and A.C. Pigou in the early 20th century.
- Focuses on the demand for money as a store of value rather than just a medium of exchange.
- Expressed through the equation Md = kPY, where Md is money demand, k is the proportion of income people wish to hold as cash, P is price level, and Y is real income.
Baumol's theory of demand for money (B)
- Introduced by William Baumol in 1952.
- Applies inventory management techniques to the cash balance decision.
- Suggests that individuals and businesses determine their demand for money based on minimizing the costs of holding cash versus the costs of converting other assets to cash.
Tobin's theory of demand for money (D)
- Proposed by James Tobin in 1958.
- Introduces the concept of portfolio selection, where individuals balance the risk and return of holding money versus other assets.
- Suggests that people hold money as part of a diversified portfolio to manage risk, despite the lower return compared to other assets.
Other Related Points
Fisher's Quantity Theory of Money
- It is one of the earliest formal theories that connects the amount of money in the economy with the level of prices.
- Fisher's equation of exchange emphasizes the role of money supply in determining price levels.
- His theory laid the groundwork for later developments in monetary economics.
Cambridge Cash-Balance Approach
- This theory modifies Fisher's approach by focusing on the demand for money rather than its supply.
- It introduces the idea that people hold money for convenience and as a store of value, affecting overall economic stability.
- This approach integrates individual behavior into the understanding of money demand.
Baumol's Inventory Theoretic Approach
- Baumol's model applies economic principles from inventory management to money demand.
- It explains how transaction costs influence the amount of money people hold.
- This theory bridges the gap between microeconomic behavior and macroeconomic outcomes.
Tobin's Portfolio Balance Theory
- Tobin's model incorporates risk and return considerations into money demand.
- It provides a more comprehensive understanding of why people hold money as part of their financial portfolios.
- This theory highlights the role of money in managing economic uncertainty and risk.
Q5: The unit root tests for time series is based on the null hypothesis that the time series under consideration is -
(a) Stationary
(b) non-stationary
(c) Strictly stationary
(d) Weak stationary
Ans: b
Sol: The correct answer is - non-stationary
Unit Root Test
- The unit root test is a statistical test used to determine if a time series is non-stationary and possesses a unit root.
- The null hypothesis (H0) of the unit root test states that the time series has a unit root, meaning it is non-stationary.
- The alternative hypothesis (H1) typically states that the time series is stationary.
Other Related Points
Stationary
- A stationary time series has a constant mean, variance, and autocorrelation over time.
- Stationarity is important for many statistical modeling techniques, such as ARIMA models.
Strictly Stationary
- A strictly stationary time series has the property that the joint distribution of any set of observations is invariant to time shifts.
- This is a stronger condition than weak stationarity and is often difficult to achieve in practice.
Weak Stationary
- A weakly stationary (or second-order stationary) time series has a constant mean, constant variance, and the autocovariance between two time periods depends only on the distance or lag between them.
- Weak stationarity is often sufficient for practical purposes in time series analysis.
Q6: Due to open - access to a property after it is over-used beyond its carrying capacity. Such a situation is called:
(a) Problem of tragedy of commons
(b) Problem of market failure
(c) Problem of externality
(d) Problem of moral hazard
Ans: a
Sol: The correct answer is - Problem of tragedy of commons
Problem of tragedy of commons
- The tragedy of the commons is an economic problem where individuals use a shared resource to the point where demand overwhelms supply, and the resource becomes unavailable for some or all.
- The concept was popularized by Garrett Hardin in 1968 in his article "The Tragedy of the Commons."
- It typically occurs when a resource is shared among many users without clear ownership or regulation, leading to overexploitation.
- Examples include overfishing in international waters, deforestation, and pollution of the atmosphere.
Other Related Points
Problem of market failure
- Market failure occurs when the allocation of goods and services by a free market is not efficient.
- It can be caused by factors like externalities, market power, and information asymmetry.
Problem of externality
- Externalities occur when a third party is affected by an economic transaction, either positively or negatively.
- Negative externalities, like pollution, lead to social costs that are not reflected in the market price.
Problem of moral hazard
- Moral hazard refers to situations where one party can take risks because they do not have to bear the full consequences of their actions.
- This often occurs in situations involving insurance, where the insured party may take greater risks.
Q7: Given the objective function y = f(x1, x2 ... xn second order and the constraint g(x1, x2 ..... xn = 0, the condition for an extremum is:
A. |H̅2| < 0 |H̅3| < 0 ....... for a maximum
B. |H̅2| > 0 |H̅3| < 0 ....... for a maximum
C. |H̅2| < 0 |H̅3| > 0 ....... for a maximum
D. |H̅2| < 0 |H̅3| > 0 ........ for a minimum
E. |H̅2| < 0 |H̅3| < 0 ........ for a minimum
Choose the correct answer from the options given below:
(a) A & D Only
(b) C & E Only
(c) B & D Only
(d) B & E Only
Ans: d
Sol: The correct answer is - B & E Only
Conditions for an extremum with constraints
- To determine whether a given point is a maximum or minimum, we use the Hessian matrix (H̅).
- The Hessian matrix is composed of second-order partial derivatives of the objective function.
Maximum Condition
- The condition for a maximum is given by: |H̅2| > 0 and |H̅3| < 0 .......
- This means the determinant of the Hessian matrix should alternate in sign for a maximum.
Minimum Condition
- The condition for a minimum is given by: |H̅2| < 0 and |H̅3| < 0 ........
- This implies that the determinants of the leading principal minors of the Hessian matrix should all be negative for a minimum.
Other Related Points
Hessian Matrix (H̅)
- The Hessian matrix is a square matrix of second-order partial derivatives of a function.
- For a function f(x1, x2, ..., xn), the Hessian matrix H is defined as H[i,j] = ∂^2f / ∂xi∂xj.
Principal Minors
- Principal minors of the Hessian matrix are the determinants of the submatrices obtained by removing certain rows and columns.
- They are used in determining the nature of the critical points (whether maxima, minima, or saddle points).
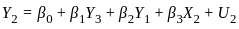
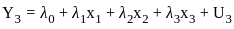
Q8: Consider the following system of equations:



According to the order condition, the first equation is:
(a) Unidentified
(b) Just identified
(c) Over identified
(d) Not possible to say because the reduced form of the model is not given
Ans: a
Sol: The order condition is used to check if a structural equation in a system of simultaneous equations is identified or not.
- If the number of excluded variables from the equation is less than the number of endogenous variables minus one, the equation is unidentified.
- If it is equal, the equation is just identified.
- If it is more than, the equation is over identified.
In this case, the first equation is unidentified by the order condition.
Q9: In a two variable regression, the dependent and independent variables are Y and X respectively. The coefficient of correlation between X and Y is 0.8. Which of the following statements is correct?
(a) 8% of variation in Y is explained by X
(b) 64% of variation in Y is explained by X
(c) 0.8% of variation in Y is explained by X
(d) 80% of variation in Y is explained by X
Ans: b
Sol: The correct answer is - 64% of variation in Y is explained by X
Correlation Coefficient
- The correlation coefficient (r) measures the strength and direction of the linear relationship between two variables.
- In this case, the correlation coefficient between X and Y is 0.8.
Coefficient of Determination
- The coefficient of determination (r²) is the square of the correlation coefficient.
- It represents the proportion of the variance in the dependent variable (Y) that is predictable from the independent variable (X).
- In this scenario, r² = (0.8)² = 0.64, which means 64% of the variation in Y is explained by X.
Other Related Points
Understanding Incorrect Options
- 8% of variation in Y is explained by X: This option incorrectly interprets the correlation coefficient. The correct calculation should consider the square of the correlation coefficient.
- 0.8% of variation in Y is explained by X: This option also misinterprets the correlation coefficient and does not account for squaring the value.
- 80% of variation in Y is explained by X: This option incorrectly assumes the correlation coefficient itself represents the variation explained, rather than its square.
Q10: Given the following statements about major schools of thought in macro economics, state which ones are correct:
A. The New Keynesians assume Rational Expectation and market imperfections and highlight the role of aggregate demand.
B. The Monetarists assume Rational Expectation, non-competitive markets and highlight the role of monetary policy.
C. The New Classicals assume Rational Expectation, competitive markets and highlight policy irrelevance.
D. The Classicals assume a competitive, and frictionless economy and highlight policy ineffectiveness.
E. The Keynesians assume wage and price flexibility and highlight policy effectiveness.
Choose the correct answer from the options given below:
(a) A, C & D Only
(b) A, B, C & D Only
(c) B, C, D & E Only
(d) C & D Only
Ans: a
Sol: The correct answer is - A, C & D Only
A. The New Keynesians assume Rational Expectation and market imperfections and highlight the role of aggregate demand.
- New Keynesians emphasize that markets do not always clear due to price and wage stickiness.
- They incorporate Rational Expectations and acknowledge that aggregate demand can affect output and employment in the short run.
C. The New Classicals assume Rational Expectation, competitive markets and highlight policy irrelevance.
- New Classicals argue that individuals form expectations rationally and that markets are typically competitive and clear quickly.
- They believe that anticipated policy interventions are generally ineffective in changing real variables like output and employment.
D. The Classicals assume a competitive, and frictionless economy and highlight policy ineffectiveness.
- Classical economics posits that markets are always clear and that the economy is self-regulating.
- They argue that government intervention is generally unnecessary and often counterproductive.
Other Related Points
B. The Monetarists assume Rational Expectation, non-competitive markets and highlight the role of monetary policy.
- Monetarists, led by Milton Friedman, emphasize the role of money supply in influencing economic activity.
- They generally assume competitive markets and focus on the long-term neutrality of money, where changes in the money supply only affect prices in the long run, not real output.
- They do not typically assume non-competitive markets.
E. The Keynesians assume wage and price flexibility and highlight policy effectiveness.
- Traditional Keynesians assume wage and price rigidity, not flexibility.
- They emphasize the role of government intervention and active fiscal policy to manage aggregate demand and address economic fluctuations.
- Keynesians argue that without government intervention, economies can remain in prolonged periods of high unemployment or underutilization of resources.
Q11: Arrange in descending order the extent of crowding out effects as under:
A. Classical Macro model
B. Complete Keynesian system assuming general condition
C. IS-LM framework assuming general conditions
D. Simple Keynesian model
Choose the correct answer from the options given below:
(a) A, B, C, D
(b) B, A, C, D
(c) B, C, D, A
(d) A, B, D, C
Ans: a
Sol: The correct answer is - A, B, C, D
A. Classical Macro model
- The Classical Macro model assumes full employment and flexible prices.
- Any increase in government spending leads to a complete crowding out of private sector spending because resources are fully utilized.
- This model has the highest extent of crowding out effects.
B. Complete Keynesian system assuming general condition
- The Keynesian system considers underemployment and rigid prices in the short run.
- Government spending has less crowding out effect compared to the Classical model because there are idle resources.
- However, some crowding out occurs due to interest rate effects.
C. IS-LM framework assuming general conditions
- The IS-LM model illustrates the interaction between the goods market (IS curve) and the money market (LM curve).
- In general conditions, an increase in government spending shifts the IS curve to the right.
- This leads to a higher interest rate, partially crowding out private investment.
- The crowding out effect is moderate in this framework.
D. Simple Keynesian model
- The Simple Keynesian model focuses on the short-run determination of national income without considering interest rate changes.
- Government spending directly increases aggregate demand, with minimal to no crowding out effect.
- This model has the least extent of crowding out effects.
Other Related Points
Classical Macro Model
- Assumes complete flexibility in prices and wages.
- Believes in Say's Law, where supply creates its own demand.
- Views government intervention as unnecessary and potentially harmful.
Keynesian Economics
- Developed by John Maynard Keynes during the Great Depression.
- Focuses on total spending in the economy (aggregate demand) and its effects on output and inflation.
- Advocates for government intervention to manage economic cycles.
IS-LM Model
- Combines the Investment-Saving (IS) curve and Liquidity Preference-Money Supply (LM) curve.
- Used to analyze the effects of fiscal and monetary policy.
- Considers the equilibrium in both goods and money markets.
Q12: Which of the following is/are true for international monetary system ?
A. Gold exchange standard
B. OPEC
C. Bretton Woods System
D. Law of one price
E. Asian Development Bank
Choose the correct answer from the options given below:
(a) A Only
(b) A, B Only
(c) A, B, C Only
(d) A, C, D Only
Ans: d
Sol: The correct answer is: A, C, D Only
Gold Exchange Standard
- The Gold Exchange Standard was a monetary system in which countries held most of their reserves in a currency (such as the U.S. dollar) that was convertible into gold at a stable rate. This system facilitated international trade and investment by providing stable exchange rates.
Bretton Woods System
- The Bretton Woods System was established in 1944 and created a framework for international monetary policy. It pegged currencies to the U.S. dollar, which was convertible to gold. The system aimed to provide financial stability and prevent competitive devaluations, promoting global economic growth and stability.
Law of One Price
- The Law of One Price asserts that in an efficient market, identical goods should have only one price when expressed in a common currency. This principle underlies the concept of purchasing power parity, which is crucial for understanding exchange rates and international price levels.
Additional Information
OPEC (Organization of the Petroleum Exporting Countries)
- OPEC is an intergovernmental organization of 13 oil-exporting countries. It is not directly related to the international monetary system but focuses on coordinating and unifying petroleum policies among member countries to secure fair and stable prices for petroleum producers.
Asian Development Bank (ADB)
- The ADB is a regional development bank established to promote social and economic development in Asia. While it plays a role in international finance, it is not a fundamental component of the international monetary system, which primarily includes systems and rules governing exchange rates and global monetary policy.
Q13: Arrange the introduction of the following concepts in chronological order (oldest to latest)
A. Adaptive expectation hypothesis by Friedman.
B. Relative income hypothesis by Duesenberry.
C. Efficiency wage hypothesis by Stiglitz.
D. Rational expectation hypothesis by Lucas.
E. Effective demand problem by Kalecki
Choose the correct answer from the options given below:
(a) E, A, B, C, D
(b) B, A, E, C, D
(c) B, A, D, C, E
(d) E, B, A, D, C
Ans: d
Sol: The correct answer is - E, B, A, D, C
Effective demand problem by Kalecki (E)
- Michal Kalecki introduced the concept of effective demand in the 1930s.
- This concept is critical in Keynesian economics and focuses on the level of demand in the economy determining the level of employment and output.
Relative income hypothesis by Duesenberry (B)
- James Duesenberry proposed the relative income hypothesis in 1949.
- This hypothesis suggests that an individual's consumption patterns are influenced by their relative income compared to others, not just their absolute income.
Adaptive expectation hypothesis by Friedman (A)
- Milton Friedman introduced the adaptive expectations hypothesis in the 1950s.
- The hypothesis posits that people form their expectations about the future based on past experiences and adjust these expectations as new information becomes available.
Rational expectation hypothesis by Lucas (D)
- Robert Lucas developed the rational expectations hypothesis in the 1970s.
- This hypothesis suggests that individuals form expectations about the future based on all available information and that these expectations are, on average, accurate.
Efficiency wage hypothesis by Stiglitz (C)
- Joseph Stiglitz, along with Carl Shapiro, formulated the efficiency wage hypothesis in the early 1980s.
- This hypothesis proposes that higher wages can lead to increased productivity and efficiency, reducing turnover and shirking among employees.
Other Related Points
Effective Demand Problem
- Michal Kalecki's work on effective demand was foundational in developing Keynesian economic theories.
- His theories were crucial in understanding how total spending in an economy impacts employment and production levels.
Relative Income Hypothesis
- James Duesenberry's relative income hypothesis highlighted the social factors influencing consumption and saving behaviors.
- This hypothesis has implications for understanding consumer behavior and designing economic policies.
Adaptive Expectation Hypothesis
- Milton Friedman's adaptive expectations hypothesis was an early attempt to understand how people predict future economic variables like inflation and interest rates.
- It influenced the development of later theories, including rational expectations.
Rational Expectation Hypothesis
- Robert Lucas's rational expectations hypothesis challenged earlier economic theories by suggesting that people use all available information to make economic decisions.
- This hypothesis has been influential in modern macroeconomic theory and policy-making.
Efficiency Wage Hypothesis
- Joseph Stiglitz's efficiency wage hypothesis has been significant in understanding labor markets and wage determination.
- It suggests that paying higher wages can lead to better performance and lower costs in the long run.
Q14: The marginal revenue of a firm is Rs. 10 and the price it charges per unit is Rs. 30. Assuring that the firm is a profit maximiser, what is the own price elasticity of demand for the firm at that point of profit maximisation?
(a) 1.5
(b) -1.5
(c) -0.66
(d) 0.66
Ans: b
Sol: The correct answer is -1.5
Marginal Revenue (MR) and Elasticity of Demand
- Marginal Revenue (MR) is the additional revenue that a firm earns by selling one more unit of output.
- The formula for MR in a monopoly or imperfect competition setting is given by: MR = P(1 + 1/Ed), where P is the price and Ed is the price elasticity of demand.
- Given MR = Rs. 10 and P = Rs. 30, we can use the formula to find Ed.
Calculation
Using the formula MR = P(1 + 1/Ed):
10 = 30(1 + 1/Ed)
Dividing both sides by 30 to isolate the elasticity term:
10/30 = 1 + 1/Ed
1/3 = 1 + 1/Ed
1/3 - 1 = 1/Ed
1/3 - 3/3 = 1/Ed
-2/3 = 1/Ed
Ed = -3/2 or -1.5
Other Related Points
Understanding Price Elasticity of Demand (Ed)
- Price Elasticity of Demand measures how much the quantity demanded of a good responds to a change in the price of that good.
- It is calculated as: Ed = (% change in quantity demanded) / (% change in price).
- If Ed > 1, demand is elastic (quantity demanded changes more than price).
- If Ed < 1, demand is inelastic (quantity demanded changes less than price).
- If Ed = 1, demand is unitary elastic (quantity demanded changes exactly as price).
Other Options
- Option 1 (1.5) and Option 4 (0.66) are positive values, indicating an incorrect understanding of elasticity in the context of a profit-maximizing firm.
- Option 3 (-0.66) represents inelastic demand, which is not consistent with profit maximization conditions where MR and price elasticity need to reflect the correct calculation.
Q15: Arrange the following from earlier to present
A. John F. Nash
B. Von Neumann and Oscar Morgenstern
C. Robert Axelrod
D. Paul Milgrom
E. John Maynard Smith
Choose the correct answer from the options given below:
(a) A, B, C, D, E
(b) A, C, B, D, E
(c) A, D, B, C, E
(d) B, A, C, E, D
Ans: d
Sol: The correct answer is - B, A, C, E, D
Von Neumann and Oscar Morgenstern
- John von Neumann and Oskar Morgenstern published the groundbreaking book "Theory of Games and Economic Behavior" in 1944.
- This work laid the foundation for game theory, a mathematical framework for analyzing strategic interactions.
John F. Nash
- John Forbes Nash Jr. was an American mathematician who made significant contributions to game theory, differential geometry, and partial differential equations.
- In 1950, Nash published his influential paper on the Nash Equilibrium, a key concept in non-cooperative games.
Robert Axelrod
- Robert Axelrod is a political scientist known for his work on the evolution of cooperation.
- His famous book "The Evolution of Cooperation," published in 1984, explored how cooperation can emerge in competitive environments through repeated interactions.
John Maynard Smith
- John Maynard Smith was an evolutionary biologist and geneticist.
- In 1982, he introduced the concept of Evolutionarily Stable Strategy (ESS) in his book "Evolution and the Theory of Games."
Paul Milgrom
- Paul Milgrom is an economist known for his contributions to auction theory and market design.
- He, along with Robert B. Wilson, was awarded the Nobel Prize in Economic Sciences in 2020 for improvements to auction theory and inventions of new auction formats.
Other Related Points
Game Theory
- Game theory is the study of mathematical models of strategic interaction among rational decision-makers.
- It is widely used in economics, political science, psychology, and various other fields.
- The key figures in game theory include John von Neumann, Oskar Morgenstern, and John Nash.
Nash Equilibrium
- The Nash Equilibrium is a solution concept in non-cooperative games where no player can benefit by changing their strategy while the other players keep theirs unchanged.
- It is named after John Nash, who introduced this concept in his 1950 paper.
Evolutionarily Stable Strategy (ESS)
- ESS is a strategy that, if adopted by a population, cannot be invaded by any alternative strategy.
- This concept was introduced by John Maynard Smith and is used in evolutionary biology and game theory.
Q16: In the Keynesian system, an increase in money supply will increase the demand for goods & services by:
(a) Increasing consumption via Real Balance Effect
(b) Increasing bond demand & thereby reducing the interest rate.
(c) Reducing bond demand & thereby reducing the interest rate.
(d) Increasing real wage & thereby increasing the transaction demand.
Ans: b
Sol: The correct answer is - Increasing bond demand & thereby reducing the interest rate.
Increasing bond demand & thereby reducing the interest rate
- In the Keynesian framework, an increase in the money supply leads to more liquidity in the economy.
- This increased liquidity raises the demand for bonds as people seek to invest their excess money.
- Higher demand for bonds drives up bond prices, which inversely lowers the interest rates.
- Lower interest rates reduce the cost of borrowing, encouraging businesses and consumers to take loans and spend more on goods and services.
- This increase in spending boosts overall demand in the economy.
Other Related Points
Increasing consumption via Real Balance Effect
- The Real Balance Effect, also known as the Pigou Effect, is the change in consumption resulting from a change in real wealth.
- However, in the Keynesian model, the Real Balance Effect is not considered a primary mechanism for increasing demand.
Reducing bond demand & thereby reducing the interest rate
- Reducing bond demand would actually increase interest rates, not decrease them, making this option incorrect.
Increasing real wage & thereby increasing the transaction demand
- In the Keynesian system, the focus is more on liquidity preference and interest rates rather than changes in real wages to stimulate demand.
- Transaction demand for money is influenced by income levels and interest rates, but increasing real wages is not the direct mechanism described in Keynesian economics for increasing demand for goods and services.
Q17: Which of the following agencies is responsible for computing the National Income statistics in India?
(a) Reserve Bank of India
(b) Ministry of Finance
(c) NITI Aayog
(d) Central Statistical Organization
Ans: d
Sol: The correct answer is - Central Statistical Organization
Central Statistical Organization (CSO)
- The Central Statistical Organization is responsible for coordinating statistical activities in the country and for evolving and maintaining statistical standards.
- It operates under the Ministry of Statistics and Programme Implementation (MoSPI).
- The CSO compiles and releases the National Accounts Statistics (NAS) annually, which includes data on GDP, national income, and other economic indicators.
- The NAS provides critical data for policymakers, economists, and researchers to analyze the economic performance of the country.
Other Related Points
Reserve Bank of India (RBI)
- The Reserve Bank of India is the central bank of the country and is primarily responsible for regulating the monetary policy of the Indian economy.
- It oversees the banking system, manages foreign exchange, and acts as the banker to the government and commercial banks.
Ministry of Finance
- The Ministry of Finance is responsible for managing the government's revenue, expenditure, and economic policies.
- It prepares the Union Budget, formulates fiscal policies, and oversees financial regulations and taxation.
NITI Aayog
- NITI Aayog (National Institution for Transforming India) is a policy think tank of the Government of India, established to foster cooperative federalism by providing a structured support framework to states.
- It focuses on strategic planning, policy formulation, and monitoring implementation of government programs.
- NITI Aayog replaced the Planning Commission in 2015 and does not involve itself directly in the computation of national income statistics.
Q18: Walras law states that if N-1 markets are in equilibrium, then we can get equilibrium price / prices in:
(a) Nth market
(b) 2N markets
(c) N-3 markets
(d) N-4 markets
Ans: a
Sol: The correct answer is - Nth market
Walras Law
- Walras' law is a principle in general equilibrium theory that asserts if all but one of the markets in an economy are in equilibrium, then the remaining market must also be in equilibrium.
- This implies that the total excess demand in an economy is zero.
- In mathematical terms, if there are N markets, and N-1 of them are in equilibrium, the Nth market must also be in equilibrium.
- Therefore, we can determine equilibrium prices in the Nth market given that the other N-1 markets are already in equilibrium.
Other Related Points
General Equilibrium Theory
- General equilibrium theory studies how supply and demand interact in multiple markets simultaneously, leading to an overall equilibrium in the economy.
- It contrasts with partial equilibrium theory, which considers equilibrium in a single market in isolation.
- Walras' law is a foundational concept in general equilibrium theory, emphasizing the interconnectedness of markets.
Excess Demand
- Excess demand occurs when the quantity demanded in a market exceeds the quantity supplied at a given price.
- In the context of Walras' law, the sum of excess demands across all markets must equal zero.
Q19: When Cd, Id & Gd stand for consumption expenditure, investment expenditure & government expenditure respectively, on domestically produced goods & services & X & M stand for aggregate values of export & import for a country, respectively, GDP is calculated as:
(a) Cd + ld + Gd + X - M
(b) C + I + Gd + X
(c) Cd + ld + Gd - M
(d) Cd + ld + Gd + X
Ans: a
Sol: The correct answer is: Cd + Id + Gd + X - M
GDP Calculation:
- GDP (Gross Domestic Product) is a measure of the economic output of a country within a specific period.
- The formula for calculating GDP using the expenditure approach is: GDP = Cd + Id + Gd + (X - M).
- Cd represents consumption expenditure on domestically produced goods and services.
- Id represents investment expenditure on domestically produced goods and services.
- Gd represents government expenditure on domestically produced goods and services.
- X represents the aggregate value of exports.
- M represents the aggregate value of imports.
- The term (X - M) adjusts for net exports; it adds the value of exports and subtracts the value of imports to account for the international trade balance.
Other Related Points
Additional Explanations:
- Option 2 (C + I + Gd + X) is incorrect because it does not account for imports (M), which need to be subtracted to avoid overestimating GDP.
- Option 3 (Cd + Id + Gd - M) is incorrect because it does not account for exports (X), which need to be added to reflect the total value of goods and services produced domestically that are sold abroad.
- Option 4 (Cd + Id + Gd + X) is incorrect because it does not subtract imports (M), which would overstate the GDP by including goods and services not produced domestically.
Economic Concepts:
- GDP is a critical indicator of a country's economic health and is used by policymakers, economists, and analysts to gauge the performance of an economy.
- Net exports (X - M) are a crucial component of GDP as they reflect the difference between what a country sells to the rest of the world and what it buys from the rest of the world.
- Understanding the components of GDP helps in identifying the contributions of different sectors to the economy and in formulating targeted economic policies.
Q20: Match LIST-I with LIST-II

Choose the correct answer from the options given below:
(a) A - II, B - III, C - I, D - IV
(b) A - I, B - III, C - II, D - IV
(c) A - IV, B - I, C - II, D - III
(d) A - I, B - III, C - IV, D - II
Ans: d
Sol: The correct answer is - A - I, B - III, C - IV, D - II
To match the two lists correctly, follow these steps:
- Compare each item in LIST-I with the related description in LIST-II.
- Ensure that each pair correctly reflects its definition or concept.
- The correct matching order is:
- A matches with I
- B matches with III
- C matches with IV
- D matches with II
- This sequence accurately pairs each term from LIST-I with its corresponding explanation from LIST-II.
Other Related Points
Crude Birth Rate
- CBR is a basic measure of fertility that does not take into account the age distribution of the population.
- It is useful for comparing fertility across different populations or regions.
Age Specific Fertility Rate
- ASFR provides detailed information on the fertility behavior of women at different ages.
- It helps in understanding the fertility pattern and planning for maternal and child health services.
Total Fertility Rate
- TFR is a hypothetical measure assuming that a woman will live through her entire reproductive span and bear children according to the age-specific fertility rates.
- It is considered a more accurate measure of fertility than CBR.
General Fertility Rate
- GFR provides a more precise measure of fertility than CBR as it only considers women of reproductive age.
- It is particularly useful for assessing the potential for population growth.
Q21: Six number of fair dice are rolled simultaneously. What is the probability that each face shows up with a different number?
(a) 
(b) 
(c) 
(d) 
Ans: c
Sol: When six fair dice are rolled, each die can show any one of six numbers.
- Total ways to roll six dice: 6 to the power of 6.
- To have all faces different, arrange the six distinct numbers (1 to 6) in any order: 6 factorial ways.
- So, probability = 6 factorial divided by 6 to the power of 6.
This matches option C.
Q22: Match LIST-I with LIST-II

Choose the correct answer from the options given below:
(a) A - III, B - I, C - II, D - IV
(b) A - III, B - IV, C - II, D - I
(c) A - IV, B - II, C - III, D - I
(d) A - I, B - III, C - II, D - IV
Ans: b
Sol: The correct answer is - A - III, B - IV, C - II, D - I
Unit Root test
- This test is used to determine whether a time series variable is non-stationary and possesses a unit root. It's key in time series analysis.
- Examples include the Augmented Dickey-Fuller test and the Phillips-Perron test.
Contingency table
- It is a type of table in a matrix format that displays the frequency distribution of the variables.
- The Chi-square test (x2 Test) is commonly used to examine the independence of two categorical variables.
Regression coefficient
- This measures the relationship between a dependent variable and one or more independent variables.
- The Student's t-Test can be used to determine if the coefficient is statistically significant.
Autocorrelation
- It measures the correlation of a signal with a delayed copy of itself as a function of delay.
- The Durbin Watson Test is used to detect the presence of autocorrelation in the residuals from a regression analysis.
Other Related Points
Stationarity (Unit Root Test)
- A time series is said to be stationary if its statistical properties such as mean, variance, and autocorrelation are all constant over time.
- Unit Root Tests like the Augmented Dickey-Fuller test help in determining the stationarity of a series.
Chi-square test (Contingency table)
- The Chi-square test is used to determine whether there is a significant association between the rows and columns in a contingency table.
- This test compares the observed frequencies in each category of the contingency table to the frequencies we might expect if the null hypothesis is true.
Student's t-Test (Regression coefficient)
- The t-test is used to determine if there is a significant difference between the means of two groups, which may be related in certain features.
- In regression analysis, it helps to determine whether a regression coefficient is significantly different from zero.
Durbin Watson Test (Autocorrelation)
- The Durbin Watson statistic is a number that tests for autocorrelation in the residuals from a statistical regression analysis.
- A value near 2 indicates no autocorrelation, while values toward 0 or 4 indicate positive or negative autocorrelation respectively.
Q23: The method used for estimation of price change of a house due to change in environment like starting of park, scenic beauty etc is:
(a) Travel cost method
(b) Hedonic pricing method
(c) Production function method
(d) Contingent valuation method
Ans: b
Sol: The correct answer is - Hedonic pricing method
Hedonic Pricing Method
- This method is used to estimate the economic value of an ecosystem or environmental services that directly affect market prices.
- It breaks down the item being studied into its constituent characteristics and estimates the value of each characteristic.
- In the context of housing, it assesses how factors like a nearby park, scenic views, or other environmental changes impact property prices.
- The method helps in understanding the implicit price of environmental attributes by observing market behavior.
Other Related Points
Travel Cost Method
- This method estimates the value of ecosystem services by observing the amount of money people spend to travel to a site.
- Commonly used for valuing recreational areas such as national parks.
Production Function Method
- This method estimates the value of ecosystem services that contribute to the production of commercially marketed goods.
- For example, it can be used to value the role of pollination in agricultural output.
Contingent Valuation Method
- This method involves directly asking people how much they are willing to pay for specific environmental services.
- It uses surveys to elicit economic values for non-market resources.
Q24: Which of the following is/are not the definition of gains from trade?
A. It is the benefit individuals and countries derive from participating in international trade.
B. It is the gross benefit to economic agents that results from an increase in trade
C. It is the deduction of consumer surplus from producer surplus
D. It is the net benefit to economic agents that results from an increase in trade
E. It is the sum total of producer surplus and consumer surplus
Choose the correct answer from the options given below:
(a) A Only
(b) B, C Only
(c) C, D Only
(d) C, D, E Only
Ans: c
Sol: The correct answer is - C, D Only
Gains from trade are the net benefits to economic agents (individuals, firms, or countries) that result from increased trade. This benefit is typically measured as the sum of consumer surplus and producer surplus. It represents the overall welfare improvement achieved when economies engage in trade.
Why other options are incorrect:
- A: While option A correctly describes a component of gains from trade (benefits to individuals and countries), it doesn't fully capture the essence of the concept. It lacks the mention of net benefits and the connection to consumer and producer surplus.
- B: "Gross benefit" is not the standard definition of gains from trade. Gains from trade are typically net benefits, considering both the benefits and costs of trade. Gross benefit would simply be the total benefits without accounting for costs.
- D: While option D correctly defines the net benefit aspect of gains from trade, it misses the crucial element of summing consumer and producer surplus. Gains from trade are the sum of these two surpluses.
Q25: Match LIST-I with LIST-II

Choose the correct answer from the options given below:
(a) A - I, B - II, C - III, D - IV
(b) A - IV, B - I, C - III, D - II
(c) A - IV, B - III, C - II, D - I
(d) A - I, B - II, C - IV, D - III
Ans: a
Sol: The correct answer is - A - I, B - II, C - III, D - IV
Adam Smith
- Adam Smith is known as the father of modern economics.
- He introduced the concept of the "invisible hand" and emphasized the importance of free markets.
- He highlighted the significance of the "Size of the market" in his seminal work "The Wealth of Nations".
David Ricardo
- David Ricardo was an influential classical economist.
- He introduced the theory of comparative advantage.
- Ricardo also discussed the "Natural resource constraint" in his work, particularly in the context of land and rent.
Karl Marx
- Karl Marx was a revolutionary socialist and economist.
- He focused on the dynamics of capitalism and class struggle.
- Marx's concept of "Forces of production" is central to his analysis of economic systems and their development.
Amartya Sen
- Amartya Sen is a Nobel Prize-winning economist.
- He is known for his work on welfare economics and social choice theory.
- Sen emphasized "Freedom of choice" as a critical aspect of development, particularly in his book "Development as Freedom".
Other Related Points
Adam Smith - Size of the market (I)
- Smith's analysis of the division of labor is linked to the size of the market, as larger markets allow for greater specialization and efficiency.
David Ricardo - Natural resource constraint (II)
- Ricardo's theory of rent is based on the idea that the supply of land is limited and that the most fertile land is used first, leading to increasing costs as less fertile land is used.
Karl Marx - Forces of production (III)
- Marx's theory of historical materialism revolves around the forces of production, which include the means of production and labor power.
Amartya Sen - Freedom of choice (IV)
- Sen's capability approach focuses on what individuals can do and be, emphasizing the importance of enabling individuals to have choices and freedoms.
Q26: Arrange the following from earlier to the latest
A. Price - Specie - Flow Mechanism
B. Comparative Advantage
C. Absolute Advantage
D. Intra - Industry Trade
E. Mercantilism
Choose the correct answer from the options given below:
(a) A, B, C, D, E
(b) B, A, D, C, E
(c) E, A, C, B, D
(d) E, D, C, B, A
Ans: c
Sol: The correct answer is - E, A, C, B, D
Mercantilism
- Mercantilism is an economic theory and practice dominant in Europe from the 16th to the 18th century.
- It advocates for a positive balance of trade and accumulation of precious metals like gold and silver.
- Mercantilists believed that national strength could be maximized by limiting imports via tariffs and maximizing exports.
Price - Specie - Flow Mechanism
- Developed by David Hume in the 18th century, this mechanism explains how trade imbalances between countries are automatically corrected.
- It suggests that an increase in a country's exports results in an inflow of gold (specie), which then increases the money supply and price levels, ultimately reducing exports and increasing imports until balance is restored.
Absolute Advantage
- Proposed by Adam Smith in the late 18th century, this concept refers to a country's ability to produce a good more efficiently than another nation.
- Smith argued that nations should specialize in producing goods where they have an absolute advantage and trade with others to maximize economic efficiency.
Comparative Advantage
- Introduced by David Ricardo in the early 19th century, it extends the idea of absolute advantage by explaining that even if a country does not have an absolute advantage, it can still benefit from trade by specializing in goods where it has a comparative (relative) advantage.
- This theory forms the foundation of modern international trade theory.
Intra-Industry Trade
- This concept became prominent in the 20th century, particularly after World War II.
- Intra-Industry Trade refers to the exchange of similar products belonging to the same industry. For example, trading different types of cars between countries.
- This type of trade is explained by economies of scale and product differentiation, which are key aspects of modern trade theories.
Other Related Points
Mercantilism
- Mercantilism was characterized by the belief that global wealth was static and that a nation's wealth and power were best served by increasing exports and collecting precious metals in return.
- It led to colonial expansion and a focus on accumulating wealth through a favorable balance of trade.
Price - Specie - Flow Mechanism
- This mechanism was a significant challenge to mercantilist thought, showing that trade balances would self-correct without government intervention.
- It was an early precursor to the concept of self-regulating markets.
Absolute Advantage
- Adam Smith's theory was a major departure from mercantilism, promoting free trade and specialization.
- It laid the groundwork for the classical economics school of thought.
Comparative Advantage
- David Ricardo's theory provided a more nuanced understanding of trade benefits, emphasizing relative efficiency over absolute productivity.
- It remains a fundamental principle in international economics.
Intra-Industry Trade
- This form of trade is significant in the modern globalized economy, where countries often trade similar but differentiated products.
- It reflects the complexity of contemporary trade patterns, influenced by factors like consumer preferences and economies of scale.
Q27: Generalised least square method of estimation can be used in which of the following cases:
A. Autocorrelated disturbances
B. Multicollinearity among explanatory variables
C. Heteroscedastic disturbances
D. Overfitted models
E. Incorrect functional forms
Choose the correct answer from the options given below:
(a) A, C & D Only
(b) C, B & E Only
(c) A & C Only
(d) C, D & E Only
Ans: c
Sol: The correct answer is - A & C Only
Generalised Least Squares (GLS) Method
- GLS is used to address certain problems in regression analysis, particularly when assumptions of Ordinary Least Squares (OLS) are violated.
- It provides efficient and unbiased estimates when the error terms exhibit autocorrelation or heteroscedasticity.
Autocorrelated Disturbances
- Autocorrelation occurs when the residuals (errors) in a regression model are correlated with each other.
- GLS can be used to correct for autocorrelation by transforming the model to eliminate the correlation among the errors.
Heteroscedastic Disturbances
- Heteroscedasticity refers to the situation where the variance of errors is not constant across observations.
- GLS can address heteroscedasticity by transforming the data to stabilize the variance of the errors, leading to more reliable estimates.
Other Related Points
Multicollinearity among Explanatory Variables
- Multicollinearity occurs when two or more independent variables in a regression model are highly correlated.
- GLS is not specifically designed to address multicollinearity; other techniques such as Ridge Regression or Principal Component Analysis are more appropriate.
Overfitted Models
- Overfitting occurs when a model is too complex and captures the noise along with the underlying pattern in the data.
- GLS does not specifically address overfitting; techniques like cross-validation or regularization are used to prevent overfitting.
Incorrect Functional Forms
- This occurs when the chosen model does not correctly represent the relationship between the variables.
- GLS does not address incorrect functional forms; model specification tests and transformations are used to correct functional form issues.
Q28: Marginal Efficiency of Capital (MEC) & Marginal Efficiency of Investment (MEI) converge perfectly, when :
(a) Net rate of investment is positive
(b) Net rate of investment is negative
(c) Net rate of investment is zero
(d) Net value of capital stock is zero
Ans: c
Sol: The correct answer is - Net rate of investment is zero
Marginal Efficiency of Capital (MEC) & Marginal Efficiency of Investment (MEI)
- The Marginal Efficiency of Capital (MEC) is defined as the rate of return on an additional unit of capital.
- The Marginal Efficiency of Investment (MEI) is defined as the expected rate of return over cost of capital on an additional unit of investment.
- When the net rate of investment is zero, there is no change in the capital stock, hence MEC and MEI converge perfectly.
Other Related Points
Net rate of investment
- It represents the rate at which new investments are made in the economy minus the rate at which existing investments depreciate.
- A positive net rate of investment indicates an increase in the capital stock.
- A negative net rate of investment indicates a decrease in the capital stock.
- When the net rate of investment is zero, the capital stock remains constant, aligning the rates of return on capital and investment.
Capital Stock
- Capital stock refers to the total amount of physical, human, and intellectual capital that is available in an economy at any given time.
- It is crucial for determining the productive capacity of an economy.
- The net value of capital stock is zero when there is no accumulated capital, but this situation is not common in a functioning economy.
Q29: Which of the following statements is true concerning the optimal solution of a linear programming problem with two decision variables ?
(a) There is always a unique solution to the problem.
(b) The optimal solution is either an extreme point or is on the line connecting two extreme points.
(c) All resources must be used up by an optimal solution.
(d) The optimal solution may be an interior point of the set of feasible solutions.
Ans: b
Sol: The correct answer is - The optimal solution is either an extreme point or is on the line connecting two extreme points.
The optimal solution is either an extreme point or is on the line connecting two extreme points.
- In linear programming, an extreme point refers to a vertex or corner point of the feasible region.
- For problems with two decision variables, the feasible region is typically a polygon or a line segment.
- Optimal solutions are found at the vertices of this polygon or along the edges connecting these vertices.
- This is a fundamental result of the convexity property of linear programming problems.
Other Related Points
Unique Solution
- Not all linear programming problems have a unique solution; some may have multiple optimal solutions or no solution at all.
Resource Utilization
- Not all resources need to be fully utilized at the optimal solution; some constraints may be non-binding.
Interior Point
- The optimal solution of a linear programming problem cannot be an interior point; it must lie on the boundary of the feasible region.
In linear programming with two decision variables, the optimal solution lies at a vertex (extreme point) of the feasible region or on the boundary (line connecting extreme points) due to the convexity of the feasible set.
Correct answer: (b).
Q30: Match LIST-I with LIST-II

Choose the correct answer from the options given below:
(a) A - I, B - II, C - III, D - IV
(b) A - II, B - I, C - III, D - IV
(c) A - III, B - I, C - II, D - IV
(d) A - III, B - I, C - IV, D - II
Ans: c
Sol: The correct answer is option 3.
Expansionary monetary policy under Adaptive Expectations
- Policy is effective in the short run, although not in the long run.
- When economic agents have adaptive expectations, they base their future expectations on past experiences.
- This means that in the short run, an expansionary monetary policy can boost output and employment.
- However, as time passes and agents adjust their expectations, the policy's effectiveness diminishes, leading primarily to inflation rather than real growth.
Anticipated expansionary monetary policy under Rational Expectations
- Policy is ineffective with only general inflation.
- Under rational expectations, economic agents use all available information to forecast future economic variables accurately.
- As a result, if an expansionary monetary policy is anticipated, agents will adjust their behavior accordingly, nullifying the policy's intended effects.
- This leads to inflation without any significant impact on output or employment.
Money wage cut during great depression
- Policy is ineffective with only general deflation.
- During the Great Depression, money wage cuts were common as firms tried to reduce costs.
- However, this led to deflationary pressures, reducing overall demand and worsening the economic downturn.
- The deflationary spiral made wage cuts ineffective in reviving the economy.
The presence of sizeable menu cost
- Policy is effective with no general inflation / deflation.
- Menu costs refer to the costs associated with changing prices, such as printing new menus or updating price lists.
- If these costs are significant, firms may be reluctant to change prices frequently.
- This can make monetary policy more effective, as firms will be slower to adjust prices, leading to short-term changes in output and employment without immediate inflation or deflation.
Other Related Points
Adaptive Expectations
- A theory that suggests individuals adjust their expectations based on past experiences and gradually update them as they receive new information.
Rational Expectations
- A theory that assumes individuals use all available information efficiently and make forecasts about future economic variables that are, on average, accurate.
Menu Costs
- The costs incurred by firms when they change their prices, which can include physical costs (like printing new menus) and intangible costs (like customer annoyance).
Q31: The input-output matrix for a two sector economy is given by
If the external demand for the outputs of the two sectors is
, what will be the optional output levels of the two commodities?
(a) 26.77 and 18.43
(b) 9.33 and 24.50
(c) 26.77 and 25.20
(d) 24.33 and 25.20
Ans: c
Sol: The correct answer is – 26.77 and 25.20
Input-Output Model
- This is a linear economic model introduced by Wassily Leontief to study inter-industry relationships in an economy.
- The standard form of the model is: X = AX + D, where:
- X = vector of total outputs,
- A = input coefficient matrix,
- D = final demand vector.
- This can be rewritten as: (I - A)X = D, which implies X = (I - A)-1 × D.
Given Data:
- Input-output matrix A = ( 0.25 0.40 )
( 0.10 0.10 ) - Demand vector D = ( 10 )
( 20 )
Step-by-Step Calculation:
- Identity Matrix I = ( 1 0 )
( 0 1 ) - Subtract A from I: ( 0.75 -0.40 )
( -0.10 0.90 ) - Determinant = (0.75 × 0.90) - (-0.40 × -0.10) = 0.675 - 0.04 = 0.635
- Inverse of (I - A) = ( 0.90 0.40 )
( 0.10 0.75 ) × (1 / 0.635) - Now multiply inverse matrix with demand vector D:
- First row: (0.90 × 10) + (0.40 × 20) = 9 + 8 = 17 → 17 / 0.635 = 26.77
- Second row: (0.10 × 10) + (0.75 × 20) = 1 + 15 = 16 → 16 / 0.635 = 25.20
- Thus, output vector X = ( 26.77 )
( 25.20 )
Other Related Points
- Leontief Input-Output analysis is widely used for economic forecasting, policy-making, and planning.
- Each element Aij in the matrix shows how much input from sector i is required to produce one unit of output in sector j.
- The inverse matrix (I − A)−1 is also known as the Leontief inverse and captures both direct and indirect requirements of production.
Q32: Endogenous Growth theory has been developed by:
A. K. Arrow
B. R. Barro
C. P. Romer
D. R. Solow
E. G. Mankiw
Choose the correct answer from the options given below:
(a) A, B, C, E Only
(b) A, B, E Only
(c) B, C, E Only
(d) A, B, C Only
Ans: d
Sol: The correct answer is - A. K. Arrow, R. Barro, P. Romer
Endogenous Growth Theory
- Endogenous Growth Theory is a concept in economics which argues that economic growth is primarily the result of endogenous and not external forces.
- The theory holds that investment in human capital, innovation, and knowledge are significant contributors to economic growth.
- It emphasizes the importance of technological progress and innovation as key drivers of sustained economic growth.
A. K. Arrow
- Kenneth Arrow made substantial contributions to endogenous growth theory, particularly through his learning-by-doing model which shows how production experience leads to productivity improvements.
- His work laid the groundwork for further development in this field.
R. Barro
- Robert Barro is known for his work on endogenous growth theory, particularly regarding the role of government policies and institutions in influencing economic growth.
- He introduced models that incorporated public policy and investment in human capital as significant factors of growth.
P. Romer
- Paul Romer is one of the key figures in the development of endogenous growth theory.
- He introduced the idea that technological change is an outcome of intentional actions taken by people who respond to market incentives.
- His work on the role of ideas and innovation in driving economic growth is foundational to endogenous growth theory.
Other Related Points
R. Solow
- Robert Solow is known for the exogenous growth theory, primarily through the Solow-Swan model which emphasizes the role of technological progress driven by factors outside the model (exogenous factors).
- His work won him the Nobel Prize in Economics in 1987.
G. Mankiw
- N. Gregory Mankiw is known for his work in macroeconomics and economic education.
- While he has contributed to the discussion on economic growth, he is not specifically known for developing endogenous growth theory.
Q33: Which of the following trade models exhibits the features of economies of scale and monopolistic competition?
(a) The Kemp Model
(b) The Intra - Industry Trade Model
(c) The Krugman Trade Model
(d) The Falvey Model
Ans: c
Sol: The correct answer is - The Krugman Trade Model
The Krugman Trade Model
- Developed by Paul Krugman, the Krugman Trade Model explains international trade patterns considering economies of scale and monopolistic competition.
- This model helps understand why countries with similar resources and technologies engage in substantial trade with each other, which is known as intra-industry trade.
- It posits that firms produce differentiated products and compete in a monopolistic competition market structure.
- Economies of scale imply that as production increases, the average cost of production decreases, encouraging firms to specialize and trade.
- Krugman's model provides insights into the benefits of trade such as increased variety of goods and lower prices for consumers.
Other Related Points
The Kemp Model
- Proposed by Murray Kemp, this model mainly focuses on the impact of tariffs and trade policies rather than economies of scale or monopolistic competition.
The Intra-Industry Trade Model
- This model explains trade within the same industry between countries, often attributed to differentiated products and economies of scale, but does not explicitly incorporate monopolistic competition like the Krugman Model.
The Falvey Model
- Developed by Rodney Falvey, this model primarily addresses the role of product differentiation and quality variations in international trade, focusing less on economies of scale and monopolistic competition.
Q34: Match LIST-I with LIST-II

Choose the correct answer from the options given below:
(a) A - I, B - II, C - III, D - IV
(b) A - II, B - I, C - IV, D - III
(c) A - IV, B - III, C - II, D - I
(d) A - II, B - I, C - III, D - IV
Ans: d
Sol: The correct answer is - A - II, B - I, C - III, D - IV
von Neumann and Oscar Morgenstern
- Their most significant contribution is the book "Theory of Games and Economic Behaviour" published in 1944.
- This work laid the foundation for the field of game theory, providing a framework for analyzing strategic interactions in economics and other disciplines.
Axelrod
- Robert Axelrod is known for his work on the "Tit-for-tat strategy" in the context of the iterated prisoner's dilemma.
- His research demonstrated how cooperation can emerge in competitive environments and highlighted the effectiveness of reciprocal strategies.
Stackelberg leadership model
- This model describes a strategic game in economics in which the leader firm moves first and the follower firms move sequentially.
- It is used to analyze the strategic interactions and outcomes in markets where firms have different levels of market power.
- The Nash equilibrium in this context represents the optimal strategy for firms given their positions as leaders or followers.
Single-shot game
- A single-shot game refers to a game that is played only once, with no future interactions between the players.
- In such games, players might have incentives to cheat or deviate from cooperative strategies since there are no future repercussions.
Other Related Points
Theory of Games and Economic Behaviour
- The book by von Neumann and Morgenstern is considered the seminal work in game theory.
- It introduced the concept of expected utility and formalized the analysis of strategic interactions in competitive situations.
Tit-for-tat strategy
- This strategy involves cooperating on the first move and then mimicking the opponent's previous move.
- It has been shown to be an effective strategy in promoting cooperation in repeated games.
Nash equilibrium
- Named after John Nash, it represents a situation in a game where no player can benefit by unilaterally changing their strategy.
- It is a fundamental concept in game theory, used to predict the outcome of strategic interactions.
Cheating in Single-shot games
- In single-shot games, players may be tempted to cheat because there are no future rounds to consider.
- This behavior contrasts with repeated games, where long-term cooperation might be more beneficial.
Q35: For the production function, Q = AK∝LB, where A, ∝, β > 0, which of the following statement(s) are correct?
A. Degree of homogeneity is 1
B. Output elasticity with respect to capital is ∝
C. It exhibits constant returns to scale
D. Marginal product of a factor = Average product of the factor
Choose the correct answer from the options given below:
(a) A & B Only
(b) B & C Only
(c) B & D Only
(d) B Only
Ans: d
Sol: The correct answer is - B Only
Output elasticity with respect to capital is ∝
- In the production function Q = AK∝Lβ, the output elasticity with respect to capital (K) is represented by the parameter ∝.
- This means that a 1% increase in capital will lead to a ∝% increase in output, ceteris paribus.
Other Related Points
Degree of homogeneity
- The degree of homogeneity of a production function indicates the returns to scale. In this function, Q = AK∝Lβ, the sum of the exponents (∝ + β) determines the degree of homogeneity.
- If ∝ + β = 1, the function exhibits constant returns to scale, but the problem does not specify this sum.
Constant returns to scale
- A production function exhibits constant returns to scale if a proportional increase in all inputs leads to a proportional increase in output. For the given function, this happens when ∝ + β = 1, but this condition is not provided.
Marginal product vs. Average product
- The marginal product of a factor is the additional output produced by an additional unit of the factor.
- The average product of a factor is the total output produced divided by the number of units of the factor.
- These two are generally not equal unless in specific cases, which are not implied by the given function.
Q36: If a variable has 'm' categories, we can run the regression using:
(a) 'm - 1' dummy variables and an intercept term
(b) 'm' dummy variables and an intercept term
(c) '(m - 1)' dummy variables without an intercept
(d) '(m + 1)' dummy variables without an intercept
Ans: a
Sol: The correct answer is - 'm - 1' dummy variables and an intercept term
'm - 1' dummy variables and an intercept term
- When you have a categorical variable with 'm' categories, you use 'm-1' dummy variables to avoid the "dummy variable trap".
- The dummy variable trap occurs due to multicollinearity, which happens when one dummy variable can be predicted from the others.
- By creating 'm-1' dummy variables, you ensure that the model can determine the relationship of each category to the reference category, represented by the intercept.
- For example, if you have a categorical variable with four categories (A, B, C, D), you would create three dummy variables (one for each category except the reference category).
Other Related Points
'm' dummy variables and an intercept term
- Using 'm' dummy variables along with an intercept term would lead to perfect multicollinearity, as the sum of the dummy variables would equal 1 in every case.
- This redundancy makes the regression estimates unstable and unreliable.
'(m - 1)' dummy variables without an intercept
- While it is possible to run a regression without an intercept, it is less common and can sometimes lead to misleading interpretations.
- An intercept term is usually included to capture the baseline effect when all other predictors are zero.
'(m + 1)' dummy variables without an intercept
- This configuration would also lead to redundancy and multicollinearity issues, similar to using 'm' dummy variables with an intercept term.
- In regression models, it is important to use the minimal number of dummy variables necessary to represent the categories without redundancy.
Q37: Arrange the following from earlier to latest:
A. The logic of Investment Planning - Sukhamoy Chakravarti
B. Choice of Techniques - Amartya Sen
C. Shadow Price - Jan Tinbergen
D. The Tragedy of the Commons - G. Hardin
E. Marginal Utility - Alfred Marshall
Choose the correct answer from the options given below:
(a) A, B, C, D, E
(b) E, C, A, B, D
(c) B, A, D, C, E
(d) C, B, A, E, D
Ans: b
Sol: The correct answer is - E, C, A, B, D
Marginal Utility - Alfred Marshall
- Published in the late 19th century, specifically in 1890, in his book "Principles of Economics".
- Marshall introduced the concept of marginal utility which describes the additional satisfaction or utility that a person receives from consuming an additional unit of a good or service.
Shadow Price - Jan Tinbergen
- The concept of shadow pricing was developed in the mid-20th century.
- Jan Tinbergen, a Dutch economist, discussed shadow prices extensively in his works on economic planning and resource allocation.
The logic of Investment Planning - Sukhamoy Chakravarti
- Published in the 1960s.
- Chakravarti's work focused on the economics of planning and investment in the context of developing economies, with a particular focus on India.
Choice of Techniques - Amartya Sen
- Amartya Sen's work "Choice of Techniques" was published in 1960.
- It deals with the selection of production techniques and the implications for economic development and labor employment.
The Tragedy of the Commons - G. Hardin
- Published in 1968.
- Garrett Hardin's paper discusses the problem of individuals exploiting shared resources to the detriment of the whole group.
- This concept has become fundamental in environmental economics and resource management.
Other Related Points
Concept of Marginal Utility
- Marshall's marginal utility theory became a cornerstone of microeconomic theory, influencing later works on consumer behavior and demand theory.
Jan Tinbergen
- Jan Tinbergen was one of the first to develop econometric models for national economies and was awarded the first Nobel Memorial Prize in Economic Sciences.
Amartya Sen
- Amartya Sen is also known for his work on welfare economics and social choice theory, earning him the Nobel Prize in Economics in 1998.
Garrett Hardin
- Hardin's work has had a lasting impact on environmental policies and the management of common-pool resources.
Q38: Which of the following is/are not applicable to classical theory of trade?
A. Labour theory of value
B. One factor model
C. It satisfies zero-sum game
D. It is a multi-factor model
E. Factors of production are mobile domestically and internationally
Choose the correct answer from the options given below:
(a) A, B Only
(b) B, C Only
(c) D, E Only
(d) C, D, E Only
Ans: d
Sol: The correct answer is -C, D, E Only
Classical Theory of Trade
- The classical theory of trade primarily revolves around the comparative advantage theory introduced by David Ricardo.
- It is based on the labour theory of value, which means that the value of a good is derived from the amount of labour required to produce it.
- It is essentially a one-factor model, considering labour as the sole factor of production.
- The theory does not imply a zero-sum game; rather, it suggests that trade can be beneficial for all parties involved.
Other Related Points
Labour Theory of Value
- This theory posits that the value of a commodity is determined by the total amount of socially necessary labour required to produce it.
- It plays a central role in the classical theory of trade.
One Factor Model
- The classical theory uses a one-factor model where labour is the only factor of production considered.
- It simplifies the analysis and helps focus on the concept of comparative advantage.
Zero-Sum Game
- A zero-sum game is a situation in which one participant's gain or loss is exactly balanced by the losses or gains of the other participants.
- The classical theory of trade suggests that trade can create mutual benefits, not a zero-sum game.
Multi-Factor Model
- A multi-factor model considers multiple factors of production like land, labour, and capital.
- The classical theory does not use a multi-factor model; it relies on a single factor (labour).
Mobility of Factors of Production
- In classical trade theory, factors of production are assumed to be mobile domestically but immobile internationally.
- This assumption helps explain why countries trade goods rather than factors of production.
Q39: A continuous supply shock leads to :
(a) A continuous shift of Phillips Curve to the left such that unemployment & inflation both fall.
(b) A continuous shift of Phillips Curve to the right such that unemployment & inflation both rise.
(c) A continuous movement along the Phillips curve such that unemployment & inflation both fall.
(d) A continuous movement along the Phillips curve such that unemployment falls & inflation rises.
Ans: b
Sol: The correct answer is - A continuous shift of Phillips Curve to the right such that unemployment & inflation both rise.
Continuous Supply Shock
- A supply shock refers to an unexpected event that suddenly changes the supply of a product or commodity, resulting in a sudden change in its price.
- Supply shocks can be negative (reducing supply) or positive (increasing supply), but a continuous negative supply shock is typically considered here.
Phillips Curve
- The Phillips Curve illustrates the inverse relationship between the rate of unemployment and the rate of inflation in an economy.
- In the short run, lower unemployment can lead to higher inflation, and vice versa.
Impact of Continuous Supply Shock
- A continuous negative supply shock, such as a persistent rise in oil prices, leads to higher production costs for firms.
- These increased costs are often passed on to consumers in the form of higher prices, thus raising inflation.
- Higher production costs can also lead to reduced output and increased unemployment.
- As a result, the Phillips Curve shifts to the right, indicating that higher inflation is now associated with higher unemployment.
Other Related Points
Shift vs. Movement Along the Phillips Curve
- Shifts in the Phillips Curve indicate a change in the relationship between unemployment and inflation, often due to external factors such as supply shocks.
- Movements along the Phillips Curve occur when changes in aggregate demand affect unemployment and inflation while the overall relationship remains unchanged.
Other Options Explained
- Continuous shift of Phillips Curve to the left such that unemployment & inflation both fall: This would imply a positive supply shock, which is not the case here.
- Continuous movement along the Phillips Curve such that unemployment & inflation both fall: This scenario is not typical for a supply shock, as it usually involves a trade-off between inflation and unemployment.
- Continuous movement along the Phillips Curve such that unemployment falls & inflation rises: This would indicate a demand-side phenomenon, rather than a supply shock.
Q40: Which of the following does/do not come under exchange rate?
A. Export activities
B. Open market operations
C. Interest rate
D. Import activities
E. Multiple expansion of credit
Choose the correct answer from the options given below:
(a) A Only
(b) B Only
(c) C, D Only
(d) B, E Only
Ans: d
Sol: The correct answer is - B, E Only
Open Market Operations (B)
- Open market operations refer to the buying and selling of government securities in the open market by a central bank.
- This activity is aimed at controlling the money supply and interest rates in an economy, not directly related to exchange rates.
- It is a monetary policy tool used to regulate liquidity and achieve macroeconomic objectives.
Multiple Expansion of Credit (E)
- Multiple expansion of credit refers to the process through which commercial banks create money by lending out a portion of their deposits.
- This process impacts the money supply in the economy, but it does not have a direct influence on exchange rates.
- It is primarily a function of the banking system's ability to lend and create credit.
Other Related Points
Export Activities (A)
- Export activities involve selling goods and services to foreign countries, which directly affect the demand for and supply of a country's currency, thus influencing the exchange rate.
Interest Rate (C)
- Interest rates set by a country's central bank can influence exchange rates by affecting foreign investment flows and the demand for the currency.
Import Activities (D)
- Import activities involve buying goods and services from foreign countries, impacting the demand for foreign currencies and the supply of the domestic currency, thereby influencing exchange rates.
Q41: Match LIST-I with LIST-II

Choose the correct answer from the options given below:
(a) A - III, B - II, C - IV, D - I
(b) A - IV, B - III, C - I, D - II
(c) A - II, B - IV, C - III, D - I
(d) A - I, B - III, C - II, D - IV
Ans: b
Sol: The correct answer is - A - IV, B - III, C - I, D - II
Life Cycle Hypothesis
- Developed by F. Modigliani.
- This hypothesis suggests that individuals plan their consumption and savings behavior over their life cycle.
- It posits that people save during their working years and dissave during retirement to smooth out their consumption over their lifetime.
Cash Balance Approach
- Associated with Alfred Marshall.
- It is a monetary theory that emphasizes the demand for money as a store of value.
- The approach suggests that people hold a certain portion of their wealth in cash for transactions and precautionary motives.
Organic Composition of Capital
- Concept introduced by Karl Marx.
- It refers to the ratio of constant capital (machinery, tools, raw materials) to variable capital (labor) in the production process.
- This concept is used to analyze the dynamics of capitalist economies and the tendency of the rate of profit to fall over time.
Tableau Economique
- Created by Francois Quesnay.
- It is an economic model representing the circular flow of income and output in an economy.
- Quesnay's model was one of the first to systematically describe the operation of an economy and its productive relationships.
Other Related Points
Francois Quesnay
- A French economist and the leader of the Physiocrats, a group of 18th-century economists.
- He is best known for his "Tableau Economique," which laid the foundation for modern economic theory by illustrating the flow of goods and services in an economy.
Karl Marx
- A German philosopher, economist, and revolutionary socialist.
- He is best known for his works "The Communist Manifesto" and "Das Kapital," which critique the capitalist system and propose a theory of historical materialism.
F. Modigliani
- An Italian-American economist who won the Nobel Prize in Economic Sciences in 1985.
- His life cycle hypothesis has had a significant impact on the field of economics, particularly in the study of savings and consumption patterns.
Alfred Marshall
- A British economist who was one of the founders of neoclassical economics.
- His book "Principles of Economics" introduced concepts such as price elasticity of demand and consumer surplus.
Q42: Lewis - Ranis - Fei framework considers the following strategies as essential for unhindered progress.
A. Land reforms
B. Green revolution
C. Planning
D. Capital accumulation
E. International migration
Choose the correct answer from the options given below:
(a) A, D & E Only
(b) A, C & D Only
(c) A, C & E Only
(d) B, D & E Only
Ans: d
Sol: The correct answer is - B, D & E Only
Lewis - Ranis - Fei Framework
- The Lewis-Ranis-Fei model, also known as the dual-sector model, is a development economics model that explains the growth and development process of developing countries.
- It primarily focuses on the transition of labor from the traditional agricultural sector to the modern industrial sector, emphasizing the role of surplus labor in agriculture.
- The model suggests that the agricultural sector has surplus labor that can be transferred to the industrial sector without reducing agricultural output, thereby fostering industrial growth.
Capital Accumulation
- Capital accumulation is a crucial element in the Lewis-Ranis-Fei framework. It refers to the investment in physical capital such as machinery, infrastructure, and technology, which is essential for industrial growth and development.
- As labor moves from agriculture to industry, the industrial sector requires significant capital investment to enhance productivity and support economic growth.
International Migration
- International migration is considered in the framework as it can influence the labor supply and capital flows between countries.
- Migrants from developing countries often seek better opportunities in developed countries, leading to remittances that can boost the home country's economy.
- Additionally, migration can help in alleviating surplus labor issues in developing countries, making the labor market more efficient.
Other Related Points
Land Reforms
- Land reforms involve the redistribution of agricultural land to ensure more equitable ownership and access, often aimed at reducing poverty and improving agricultural productivity.
- While important for agricultural development, land reforms are not a direct focus of the Lewis-Ranis-Fei framework, which is more concerned with the industrial sector's growth.
Green Revolution
- The Green Revolution refers to the period when agriculture in many developing countries was transformed by the introduction of high-yielding varieties of seeds, chemical fertilizers, and advanced irrigation techniques.
- It is critical for increasing agricultural productivity but is not a primary element in the dual-sector model, which emphasizes the shift from agriculture to industry.
Planning
- Planning involves the implementation of economic policies and strategies by the government to guide economic development and growth.
- While planning is essential for overall economic development, the Lewis-Ranis-Fei framework specifically focuses on the dynamics between the agricultural and industrial sectors.
Q43: Arrange the following from earlier to the latest
A. Adam Smith
B. David Ricardo
C. David Hume
D. Paul R. Krugman
E. Jen Tinbergen
Choose the correct answer from the options given below:
(a) A, B, C, D, E
(b) B, A, C, E, D
(c) C, A, B, E, D
(d) D, E, C, B, A
Ans: c
Sol: The correct answer is - C, A, B, E, D
David Hume
- David Hume (1711-1776) was a Scottish Enlightenment philosopher, historian, economist, and essayist known especially for his philosophical empiricism and skepticism.
- His works include "A Treatise of Human Nature" and "An Enquiry Concerning Human Understanding".
- Hume is often considered one of the greatest philosophers to write in English.
Adam Smith
- Adam Smith (1723-1790) was a Scottish economist, philosopher, and author who is best known for his book "The Wealth of Nations" (1776), which laid the foundations of classical free market economic theory.
- He is often referred to as the "Father of Economics" or the "Father of Capitalism".
- Smith’s ideas on the division of labor and the "invisible hand" that guides supply and demand are central to modern economic thought.
David Ricardo
- David Ricardo (1772-1823) was an influential British political economist, known for his theory of comparative advantage which suggests that nations should engage in trade to optimize efficiency and wealth.
- His most famous work, "On the Principles of Political Economy and Taxation" (1817), introduced the law of diminishing returns and the theory of rent.
Jan Tinbergen
- Jan Tinbergen (1903-1994) was a Dutch economist who, along with Ragnar Frisch, was awarded the first Nobel Memorial Prize in Economic Sciences in 1969 for his work in econometrics.
- Tinbergen is known for developing macroeconomic models and for his contributions to the theory of economic policy.
Paul R. Krugman
- Paul R. Krugman (born 1953) is an American economist and columnist who was awarded the Nobel Memorial Prize in Economic Sciences in 2008 for his analysis of trade patterns and location of economic activity.
- Krugman is known for his work on international economics, economic geography, and liquidity traps.
- He is a professor at the City University of New York and a columnist for The New York Times.
Other Related Points
David Hume
- Hume's empiricism and skepticism challenged traditional notions of causality and the self, profoundly influencing later thinkers like Immanuel Kant and Adam Smith.
- Hume's "History of England" was widely read and remained the standard history of England for many years.
Adam Smith
- Smith was a moral philosopher before he became famous as an economist; his earlier work "The Theory of Moral Sentiments" (1759) explores the nature of ethics and human sympathy.
David Ricardo
- Ricardo's theories form the basis of much of modern economic thought, particularly his insights on rent, wages, and profits.
Jan Tinbergen
- Tinbergen's work laid the groundwork for many modern economic policies and he was instrumental in the development of the field of econometrics.
Paul R. Krugman
- Krugman is also known for his popular writing and his ability to explain complex economic theories to a general audience.
Q44: Match LIST-I with LIST-II

Choose the correct answer from the options given below:
(a) A - III, B - I, C - II, D - IV
(b) A - I, B - II, C - III, D - IV
(c) A - II, B - I, C - III, D - IV
(d) A - III, B - II, C - IV, D - I
Ans: a
Sol: The correct answer is - A - III, B - I, C - II, D - IV
Perfectly Competitive Model
- Large number of buyers and sellers
- In this model, there are many buyers and sellers in the market, none of whom can influence the market price on their own.
- Products are homogeneous, and all firms have perfect knowledge of prices and technology.
Bertrand Model
- The producers first set the price of the product and then produce the output demanded at that price
- In this model, firms compete by setting prices rather than quantities.
- The firm with the lowest price captures the entire market demand, forcing other firms to either match the price or exit the market.
Stackelberg Model
- It recognises the concept of interdependence among firms
- This model involves a leader-follower dynamic where the leader firm moves first and the follower firms move subsequently.
- The leader firm sets the quantity first, and the follower firms react to this decision, acknowledging the interdependence among firms.
Oligopoly Model
- Few competing firms in the market
- An oligopoly is characterized by a small number of firms whose decisions about production and pricing significantly affect one another.
- Firms in an oligopoly may engage in collusion to set prices or output to maximize collective profits, or they may compete fiercely.
Other Related Points
Perfect Competition
- Firms are price takers and cannot influence the market price.
- There is free entry and exit of firms in the market.
Bertrand Competition
- Assumes that firms will undercut each other’s prices until the price equals marginal cost.
- Often leads to a situation similar to perfect competition where firms earn zero economic profits in the long run.
Stackelberg Leadership
- Named after Heinrich von Stackelberg, who developed the model.
- It contrasts with the Cournot model where firms choose quantities simultaneously.
Oligopoly
- Markets may exhibit characteristics of both competition and monopoly.
- Examples include industries like automobile manufacturing, airlines, and telecommunications.
Q45: Harris - Todaro framework discusses.
Choose the correct answer from the options given below.
(a) Pushed migration
(b) Pulled migration
(c) Structural Transformation
(d) The informal economy
Ans: b
Sol: The correct answer is - Pulled migration
Harris-Todaro Model
- The Harris-Todaro model is an economic model developed by John R. Harris and Michael Todaro in 1970.
- It explains rural-urban migration in developing countries.
- The model suggests that migration is driven by the difference in expected incomes between rural and urban areas.
- Even if urban unemployment is high, migrants are pulled to urban areas by the higher expected income compared to rural areas.
Other Related Points
Pushed Migration
- Pushed migration occurs when individuals move because of adverse conditions in their current location, such as natural disasters, lack of employment, or political instability.
- This type of migration is typically involuntary.
Structural Transformation
- Structural transformation refers to the shift in an economy from primarily agricultural production to manufacturing and services.
- It involves changes in the labor market, capital allocation, and technology adoption.
The Informal Economy
- The informal economy consists of economic activities that are not regulated by the government and do not contribute to the formal GDP.
- It includes jobs like street vending, unregistered small businesses, and casual labor.
Q46: In a market model with a 'lagged' supply function, lagging by one time period, the convergence of the time path of price towards the equilibrium price depends on
(a) Whether slope of supply function >slope of demand function
(b) Whether slope of supply function < slope of demand function
(c) Whether slope of supply function = slope of demand function
(d) Has nothing to do with the slopes of demand and/or supply functions.
Ans: b
Sol: The correct answer is - Whether slope of supply function < slope of demand function
Lagged Supply Function
- In a market model with a 'lagged' supply function, the supply function reacts with a time delay to changes in the price level.
- This delay means the supply doesn't immediately respond to shifts in demand, causing the price to take time to adjust to its equilibrium value.
Convergence to Equilibrium Price
- The convergence of the price towards the equilibrium depends on how quickly the supply responds to changes in price.
- If the supply function has a smaller slope than the demand function, the market will adjust more quickly, and the price will converge faster to equilibrium.
- If the supply function has a larger slope compared to the demand function, the adjustment will be slower, and the convergence towards equilibrium will take more time.
More Information
Price Adjustment in Economics
- The speed of price adjustment depends on the relative slopes of the supply and demand curves.
- If the demand is more elastic (flatter curve), the price will converge faster because small changes in price lead to large changes in quantity demanded.
- If the supply is more elastic (flatter curve), then supply can quickly meet changes in demand, leading to faster convergence to the equilibrium price.
Market Dynamics and Lag Effect
- The lag effect in the supply function implies that suppliers do not immediately adjust their quantity supplied to the changes in market price, resulting in a delayed price adjustment process.
- The market eventually reaches equilibrium, but the time taken for this process depends on the relative responsiveness (slopes) of supply and demand.
Q47: Ecological Footprint means:
(a) Number of trees planted in a region per year.
(b) Amount of ecological resources degraded in a country per year
(c) Total areas of deep forest in a country
(d) The amount of pressure that human puts on the natural resources available to them in their surrounding.
Ans: d
Sol: The solution involves identifying the correct definition of "Ecological Footprint" from the given options in a CSV format. The options provided include various interpretations of ecological terms. The correct answer, as indicated, is option 4: "The amount of pressure that human puts on the natural resources available to them in their surrounding." This definition accurately describes the concept of Ecological Footprint, which measures the human demand on Earth's ecosystems and compares it to the planet's capacity to regenerate those resources.
Q48: A tangency point between non-linear isoquant and an isocost line identifies -
(a) the point of production efficiency where a firm can produce a desired output at the minimum possible cost.
(b) the various levels of output that can be produced using a given level of inputs.
(c) the various combinations of inputs that can be used to produce a given level of output.
(d) the least costly combination of inputs required to produce various levels of output.
Ans: a
Sol: The correct answer is - the point of production efficiency where a firm can produce a derived output at the minimum possible cost
Tangency Point between Isoquant and Isocost Line
- The tangency point between a non-linear isoquant and an isocost line identifies the point of production efficiency.
- At this point, the firm can produce a given level of output at the minimum possible cost.
- The isoquant represents all the different combinations of inputs that can produce a certain level of output.
- The isocost line represents all the combinations of inputs that cost the same amount.
- When the isoquant is tangent to the isocost line, it indicates that the firm is using the least-cost combination of inputs to produce that level of output.
Other Related Points
Isoquant
- An isoquant is a curve that represents all the combinations of inputs that produce the same level of output.
- It is similar to an indifference curve in consumer theory, but it applies to production rather than consumption.
Isocost Line
- An isocost line represents all the combinations of inputs that can be purchased for the same total cost.
- The slope of the isocost line is determined by the relative prices of the inputs.
Production Efficiency
- Production efficiency occurs when a firm produces a given output level at the lowest possible cost.
- This is achieved when the firm is operating on the lowest possible isocost line for a given isoquant.
Q49: Vertical equality in taxation requires that:
(a) People in different income groups should be taxed equally.
(b) People in different income groups should be taxed differently
(c) People in different income groups should be taxed proportionately
(d) No tax on the basis of individual income
Ans: b
Sol: The correct answer is - People in different income groups should be taxed differently
Vertical Equality in Taxation
- Vertical equality in taxation is a principle that mandates different tax treatments for individuals in different income brackets.
- This principle ensures that those who have a higher ability to pay taxes, i.e., those with higher incomes, contribute more to the tax revenue.
- It aims to reduce income inequality by redistributing wealth from higher-income individuals to those with lower incomes.
- This approach is based on the concept of fairness and social justice, ensuring that the tax burden is shared equitably among citizens according to their financial capabilities.
Other Related Points
Proportional Taxation
- Proportional taxation, also known as a flat tax, is where everyone pays the same percentage of their income, regardless of how much they earn.
- This system does not account for the differences in individuals' ability to pay and can lead to regressive effects where lower-income individuals bear a relatively higher tax burden.
Horizontal Equality in Taxation
- This concept, different from vertical equality, requires that people with the same income or ability to pay should be taxed equally.
- It aims to ensure fairness by treating individuals with similar economic situations in the same manner.
Tax Exemption
- Exempting individuals from taxes based on their income could lead to an unfair tax system where the burden falls disproportionately on certain groups.
- It could also result in insufficient public revenue, affecting government services and infrastructure.
Q50: Arrange the following events in increasing order of their probability of happening:
A. Probability of getting two heads in simultaneous toss of two coins
B. Probability of getting a queen from a single draw of a card from a well shuffled pack of cards
C. Probability of getting a white ball from a bag containing 3 white and 7 black balls
D. Probability of getting an even number from a single roll of a fair die
Choose the correct answer from the options given below:
(a) A, D, B, C
(b) C, A, B, D
(c) B, C, A, D
(d) B, A, C, D
Ans: d
Sol: The correct answer is - B, A, C, D
Probability of getting a queen from a single draw of a card from a well-shuffled pack of cards
- The probability of drawing a queen from a standard deck of 52 cards is calculated as follows:
- There are 4 queens in a deck of 52 cards.
- Probability = Number of favorable outcomes / Total number of outcomes = 4/52 = 1/13 ≈ 0.0769.
Probability of getting two heads in a simultaneous toss of two coins
- The probability of getting heads in a single coin toss is 1/2.
- For two coins, the probability of both being heads is (1/2) * (1/2) = 1/4 = 0.25.
Probability of getting a white ball from a bag containing 3 white and 7 black balls
- The total number of balls in the bag is 3 (white) + 7 (black) = 10.
- The probability of drawing a white ball is calculated as follows:
- Probability = Number of favorable outcomes / Total number of outcomes = 3/10 = 0.3.
Probability of getting an even number from a single roll of a fair die
- A fair die has 6 faces numbered 1 through 6.
- The even numbers on a die are 2, 4, and 6.
- The probability of rolling an even number is calculated as follows:
- Probability = Number of favorable outcomes / Total number of outcomes = 3/6 = 1/2 = 0.5.
Other Related Points
Probability Overview
- Probability is a measure of the likelihood of an event occurring and ranges between 0 and 1.
- An event with a probability of 0 means it will not happen, while an event with a probability of 1 means it will definitely happen.
Calculation of Simple Probabilities
- To calculate the probability of a single event, use the formula: Probability = Number of favorable outcomes / Total number of outcomes.
- This basic principle is applied to the given events to determine their probabilities.
Q51: In the New Classical Macro Model without unanticipated shock, we may have -
A. Voluntary unemployment
B. Involuntary unemployment
C. Disguised unemployment
D. Cyclical unemployment
E. Natural rate of unemployment
Choose the correct answer from the options given below:
(a) A & D Only
(b) B & C Only
(c) D & E Only
(d) A & E Only
Ans: d
Sol: The correct answer is - A & E Only
Voluntary unemployment
- In the New Classical Macro Model, voluntary unemployment occurs when individuals choose not to work at the prevailing wage rates.
- This type of unemployment is consistent with the model's assumptions of rational expectations and market-clearing wages.
- Individuals may opt to remain unemployed if they perceive the offered wages as insufficient or if they value leisure time over working.
Natural rate of unemployment
- The natural rate of unemployment refers to the long-term rate of unemployment that the economy experiences even in the absence of cyclical fluctuations.
- In the New Classical Macro Model, this rate includes frictional and structural unemployment but excludes cyclical unemployment.
- The natural rate of unemployment is considered inevitable due to factors such as job transitions and mismatches between workers' skills and job requirements.
Other Related Points
Involuntary unemployment
- Involuntary unemployment occurs when individuals are willing to work at the prevailing wage rates but are unable to find employment.
- This concept is inconsistent with the New Classical Macro Model, which assumes that markets clear and unemployment is voluntary.
Disguised unemployment
- Disguised unemployment occurs when more people are employed than necessary, typically in situations where productivity is low.
- This concept is more relevant to developing economies and does not align with the assumptions of the New Classical Macro Model.
Cyclical unemployment
- Cyclical unemployment results from economic downturns or recessions, where demand for goods and services decreases, leading to job losses.
- In the New Classical Macro Model, cyclical unemployment is not considered because the model assumes that the economy is always at full employment due to flexible prices and wages.
Q52: Which one of the following is not correct regarding India's national level programmes:
(a) MGNREGP is a workfare programme.
(b) PMAY is a developmental programme.
(c) PMGSY is a food security enhancement programme.
(d) BBBP is a gender equality enhancement programme.
Ans: c
Sol: The correct answer is - PMGSY is a food security enhancement programme.
PMGSY (Pradhan Mantri Gram Sadak Yojana)
- The PMGSY is not a food security enhancement programme.
- It is a nationwide plan in India to provide good all-weather road connectivity to unconnected villages.
- The scheme was launched in 2000 with the objective of improving rural road infrastructure.
MGNREGP (Mahatma Gandhi National Rural Employment Guarantee Programme)
- It is a workfare programme aimed at enhancing the livelihood security of people in rural areas by guaranteeing 100 days of wage-employment in a financial year to a rural household whose adult members volunteer to do unskilled manual work.
PMAY (Pradhan Mantri Awas Yojana)
- It is a developmental programme aimed at providing affordable housing to the urban poor with a target of building 20 million affordable houses by 31 March 2022.
BBBP (Beti Bachao Beti Padhao)
- It is a gender equality enhancement programme that aims to address the declining child sex ratio and create awareness about the importance of female education and empowerment.
Other Related Points
Food Security Programmes in India
- Food security programmes in India include initiatives like the Public Distribution System (PDS), Mid-Day Meal Scheme (MDMS), and the National Food Security Act (NFSA).
- These programmes aim to ensure that people have access to sufficient, safe, and nutritious food to maintain a healthy and active life.
MGNREGP (a): A workfare programme ensuring 100 days of wage employment for rural households (correct).
PMAY (b): A developmental programme for affordable housing (correct).
PMGSY (c): A rural development programme for all-weather road connectivity, not food security (incorrect option).
BBBP (d): A gender equality programme addressing child sex ratio and female education (correct).
Correct answer: (c).
Q53: Arrange the following government schemes chronologically according to their year of launching starting from the earliest
A. Ayushman Bharat Yojana
B. Atal Pension Yojana
C. Jal Jeevan Mission
D. PM Ujjwala Yojana
Choose the correct answer from the options given below:
(a) C, A, D, B
(b) B, C, D, A
(c) A, B, D, C
(d) B, D, A, C
Ans: d
Sol: The correct answer is - B, D, A, C
Atal Pension Yojana
- Launched in May 2015.
- Aimed at providing pension benefits to workers in the unorganized sector.
- Offers a minimum guaranteed pension to subscribers.
PM Ujjwala Yojana
- Launched in May 2016.
- Focuses on providing LPG connections to women from Below Poverty Line (BPL) households.
- Aims to reduce health issues associated with cooking using traditional methods.
Ayushman Bharat Yojana
- Launched in September 2018.
- Also known as Pradhan Mantri Jan Arogya Yojana (PM-JAY).
- Provides health coverage of up to INR 5 lakh per family per year for secondary and tertiary care hospitalization.
Jal Jeevan Mission
- Launched in August 2019.
- Aims to provide safe and adequate drinking water through individual household tap connections by 2024.
- Focuses on ensuring water supply in rural areas.
Other Related Points
Atal Pension Yojana
- Named after former Prime Minister Atal Bihari Vajpayee.
- Encourages workers in unorganized sectors to save for their retirement voluntarily.
PM Ujjwala Yojana
- Helps in reducing indoor air pollution caused by traditional cooking fuels.
- Empowers women by improving their health and freeing them from the drudgery of collecting firewood.
Ayushman Bharat Yojana
- Includes two components: Health and Wellness Centres (HWCs) and Pradhan Mantri Jan Arogya Yojana (PM-JAY).
- Aims to cover over 10 crore poor and vulnerable families.
Jal Jeevan Mission
- Implemented by the Ministry of Jal Shakti.
- Emphasizes the importance of water conservation and rainwater harvesting.
Q54: Which of the following is not a rural development programme of India
(a) Din Dayal Upadhyaya Gramin Kausholya Yojana
(b) Pradhanmantri Gram Sadak Yojana
(c) Swachh Bharat Mission
(d) National Social Assistance Programme
Ans: c
Sol: The correct answer is - Swachh Bharat Mission
Swachh Bharat Mission
- Launched on October 2, 2014, by Prime Minister Narendra Modi.
- Aims to eliminate open defecation and improve solid waste management across the country.
- The mission has two sub-missions: Swachh Bharat Mission (Gramin) for rural areas and Swachh Bharat Mission (Urban) for urban areas.
- Though it includes rural components, it is not solely a rural development programme.
Other Related Points
Din Dayal Upadhyaya Gramin Kaushalya Yojana
- Launched in 2014, it focuses on enhancing the employability of rural youth through skill development.
- Aims to provide jobs to rural poor youth by imparting specific skills aligned with employer needs.
Pradhanmantri Gram Sadak Yojana
- Launched in December 2000, aims to provide all-weather road connectivity to unconnected rural areas.
- Focuses on enhancing rural infrastructure to promote economic development.
National Social Assistance Programme
- Launched in 1995, provides financial assistance to the elderly, widows, and persons with disabilities in the form of pensions.
- Aims to ensure social security to the most vulnerable groups in rural and urban areas.
DDU-GKY (a): A rural skill development programme (correct).
PMGSY (b): A rural road connectivity programme (correct).
Swachh Bharat Mission (c): A sanitation programme with rural and urban components, not exclusively rural development (incorrect option).
NSAP (d): A social security programme for rural and urban vulnerable groups (correct as rural development).
Correct answer: (c).
Q55: Which of the following Indian ministries is responsible for the publication of reports on longitudinal data on the informal sector of India?
(a) Ministry of Home Affairs
(b) NITI Aayog
(c) Ministry of Statistics & programme Implementation
(d) Ministry of Finance
Ans: c
Sol: The correct answer is - Ministry of Statistics & Programme Implementation
Ministry of Statistics & Programme Implementation
- This ministry is tasked with the responsibility of collecting, analyzing, and disseminating statistical data on various sectors of the Indian economy, including the informal sector.
- It conducts surveys and publishes reports that provide insights into the employment, productivity, and challenges faced by the informal sector.
- The National Sample Survey Office (NSSO), which operates under this ministry, regularly conducts surveys that include data on the informal sector.
- Such reports are crucial for policy formulation and understanding the economic landscape, especially for sectors not covered by formal mechanisms.
Other Related Points
Ministry of Home Affairs
- This ministry is primarily concerned with internal security, border management, and disaster management.
- It does not engage in the collection or publication of economic data related to the informal sector.
NITI Aayog
- As a policy think tank of the Government of India, NITI Aayog focuses on strategic and long-term policy planning.
- While it may use data from various sources for its reports, it does not directly collect or publish longitudinal data on the informal sector.
Ministry of Finance
- This ministry handles the country's economic policy, government expenditure, and financial regulations.
- Though it plays a crucial role in economic planning, it does not specifically focus on the publication of reports on the informal sector.
MoSPI, through the NSSO, collects and publishes longitudinal data on India’s informal sector. Other ministries (Home Affairs, NITI Aayog, Finance) do not have this responsibility.
Correct answer: (c).
Q56: In a Life Table which one of the following does not fit :
(a) There are eight columns in a Life Table
(b) It tells the age specific mortality rate
(c) Age specific birth rate can be derived from a Life Table
(d) Age specific Life expectancy can be calculated.
Ans: c
Sol: The correct answer is - Age specific birth rate can be derived from a Life Table
A life table provides mortality and survival statistics:
- a: True; typically includes eight columns (e.g., age, survivors, deaths, mortality rate).
- b: True; provides age-specific mortality rates.
- c: False; age-specific birth rates are derived from fertility data, not life tables.
- d: True; calculates age-specific life expectancy.
Correct answer: (c).
Q57: According to the Real Business Cycle School, in the absence of supply shock:
(a) There is only involuntary unemployment
(b) There is only voluntary unemployment
(c) There is both voluntary & involuntary unemployment simultaneously
(d) There is no unemployment at all
Ans: b
Sol: The correct answer is - There is only voluntary unemployment
Voluntary Unemployment
- According to the Real Business Cycle (RBC) theory, voluntary unemployment occurs when individuals choose not to work at the prevailing wage rates.
- The RBC school asserts that in the absence of supply shocks, the economy operates at full employment. The unemployment that does exist is voluntary because people are either unwilling or unable to work at the current wage rate.
- This perspective assumes that the labor market clears, meaning that supply and demand for labor are always in equilibrium.
- Therefore, any unemployment is a result of individuals making a conscious decision not to work, rather than being unable to find employment.
Other Related Points
Involuntary Unemployment
- Involuntary unemployment occurs when individuals are willing to work at the prevailing wage rates but cannot find employment.
- The RBC school generally does not support the concept of involuntary unemployment in a perfectly competitive market without frictions or external shocks.
Supply Shocks
- Supply shocks refer to unexpected events that suddenly change the supply of goods and services, impacting prices and economic output.
- Examples include natural disasters, technological changes, or significant changes in the availability of raw materials.
- In the RBC framework, supply shocks can cause fluctuations in employment and output, but in their absence, the economy should ideally be at full employment with only voluntary unemployment.
Real Business Cycle Theory
- The Real Business Cycle theory focuses on real (rather than monetary) causes of economic fluctuations.
- It emphasizes the role of technology changes and productivity shocks in driving economic cycles.
- The theory assumes that markets are perfectly competitive and that economic agents are rational and have complete information.
Q58: Effective Demand Problem may arise even in a competitive market economy under Rational Expectation, if there is:
(a) Perfect Foresight.
(b) Coordination Failure.
(c) Anticipated demand shock.
(d) Unanticipated supply shock.
Ans: b
Sol: The correct answer is - Coordination Failure
Coordination Failure
- Coordination failure occurs when economic agents (like consumers and producers) fail to coordinate their actions, leading to suboptimal outcomes.
- Even in a competitive market economy with rational expectations, coordination failure can lead to demand problems because individual actions do not align to achieve a market-clearing equilibrium.
- This misalignment can result in excess supply or demand, causing inefficiencies in the market.
- Common examples of coordination failure include situations where multiple equilibria exist and the economy settles on an inefficient one.
Other Related Points
Perfect Foresight
- Perfect foresight refers to a situation where all economic agents can predict future economic variables accurately.
- With perfect foresight, there would be no unexpected fluctuations, and markets would clear efficiently without demand problems.
Anticipated demand shock
- An anticipated demand shock is a predictable change in demand that agents can foresee and plan for accordingly.
- Since it is anticipated, agents can adjust their behavior to mitigate any adverse effects, preventing demand problems.
Unanticipated supply shock
- An unanticipated supply shock is an unexpected change in supply (e.g., natural disasters, sudden changes in production costs).
- While it can cause temporary disruptions, it is primarily a supply-side issue rather than a demand-side problem.
Q59: Arrange the following demographic phases as per C. R. Blacker's theory of population.
A. Low mortality and death exceeding birth
B. Falling birth rates, but decreasing mortality
C. High birth rate and high death rate
D. Low birth rate balanced by equally low mortality
Choose the correct answer from the options given below:
(a) C, B, A, D
(b) C, B, D, A
(c) A, C, B, D
(d) B, C, D, A
Ans: b
Sol: The correct answer is - C, B, D, A
C. High birth rate and high death rate
- This is typically the first phase in demographic transition theories.
- In this phase, both birth and death rates are high, leading to a relatively stable population size.
- Societies in this phase are often pre-industrial or at the early stages of industrialization.
B. Falling birth rates, but decreasing mortality
- This phase follows the initial stage and is characterized by a decline in death rates due to improvements in healthcare, sanitation, and living standards.
- Birth rates also begin to fall, but not as rapidly as death rates, leading to a period of population growth.
- This phase is typical of societies undergoing industrialization and urbanization.
D. Low birth rate balanced by equally low mortality
- This phase represents a mature industrial society where both birth and death rates are low.
- The population growth slows down and stabilizes.
- Societies in this phase have advanced healthcare systems, high living standards, and widespread use of contraceptives.
A. Low mortality and death exceeding birth
- This phase is characterized by very low birth and death rates, with the death rate potentially exceeding the birth rate.
- It leads to a declining population if the birth rate remains lower than the death rate.
- This phase is typical of post-industrial societies facing issues like aging populations and declining fertility rates.
Other Related Points
Demographic Transition Model (DTM)
- The DTM is a theory that describes population changes over time as a country develops economically.
- It is divided into four to five stages, starting with high birth and death rates and ending with low birth and death rates.
- The model helps in understanding the transition from a pre-industrial society to an industrial and post-industrial society.
Relevance of Blacker's Theory
- C.R. Blacker's theory aligns with the broader concept of the Demographic Transition Model.
- It specifically addresses the changes in mortality and birth rates as a society progresses through different stages of development.
Blacker’s demographic phases align with the DTM:
- C: High birth/death rates (pre-industrial, stable population).
- B: Falling birth rates, declining mortality (industrialization, population growth).
- D: Low birth/death rates (mature industrial, stable population).
- A: Low mortality, deaths exceed births (post-industrial, declining population).
Correct answer: (b).
Q60: Given A =
and B (4 5 0), which of the following is true?
A. ABT is 
B. ABT is defined
C. AB is not defined
D. BA is defined
E. BAT is (8 19)
Choose the correct answer from the options given below:
(a) A & E Only
(b) A, B, C & E
(c) A, B & C Only
(d) A, C & E Only
Ans: b
Sol: The correct answer is - A, B, C & E
The matrices are:
- A is a 2x3 matrix.
- B is a 1x3 matrix (row vector).
Let's check each statement:
- ABT: BT turns B into a 3x1 column. Multiplying A (2x3) by BT (3x1) is possible and gives a 2x1 matrix.
- ABT is defined: Yes, as shown above.
- AB is not defined: A (2x3) and B (1x3) cannot be multiplied (columns of A ≠ rows of B), so this is true.
- BA is defined: B (1x3) and A (2x3) cannot be multiplied (columns of B ≠ rows of A), so this is not defined.
- BAT is (8 19): This is not correct because BAT is not defined.
The correct statements are:
- ABT is a 2x1 matrix.
- ABT is defined.
- AB is not defined.
So the correct answer matches: A, B, C & E.
Q61: When with the increase in income, the percentage of income as tax falls, it is called
(a) Progressive tax
(b) Proportional Tax
(c) Neutral Tax
(d) Regressive Tax
Ans: d
Sol: The correct answer is - Regressive Tax
Regressive Tax
- A regressive tax is a tax system where the tax rate decreases as the taxable amount increases.
- In this system, higher-income individuals pay a lower percentage of their income in taxes compared to lower-income individuals.
- This results in a higher tax burden on lower-income individuals, making it a regressive approach.
- Examples of regressive taxes include sales taxes, excise taxes, and some forms of property taxes.
Other Related Points
Progressive Tax
- A progressive tax is a tax system where the tax rate increases as the taxable amount increases.
- In this system, higher-income individuals pay a higher percentage of their income in taxes compared to lower-income individuals.
- It is designed to reduce the tax burden on lower-income earners and place a higher burden on those with the ability to pay more.
- Examples include income taxes with multiple tax brackets.
Proportional Tax
- A proportional tax, also known as a flat tax, imposes the same tax rate on all taxpayers, regardless of income level.
- This means that everyone pays the same percentage of their income, making it neutral in terms of income distribution.
- Examples include some forms of payroll taxes and certain state income taxes.
Neutral Tax
- A neutral tax is a tax that does not favor or disadvantage any particular group or economic activity.
- It is designed to have a minimal impact on economic behavior and resource allocation.
- Examples are rare, but theoretically, a perfectly neutral tax would not distort market decisions.
Q62: Find out the correct answer about the 'Pigovian Tax'.
A. Provides solution in order to internalise the total cost of an activity into the market.
B. Provides solution to reduce the production of pollutants through public policy
C. It helps in increasing the factor productivity in the real sector.
D. It acts like a revenue tax
Choose the correct answer from the options given below:
(a) A, B Only
(b) C, D Only
(c) A Only
(d) A, B, D Only
Ans: a
Sol: The correct answer is - A, B Only
A Pigouvian tax is designed to internalize the total cost of an activity into the market by making the producer responsible for the negative externalities associated with their production, essentially forcing them to consider the social cost, not just the private cost, of their activity. This also leads to a reduction in the production of pollutants as the producer is incentivized to minimize the externality by reducing their output.
Why other options are incorrect:
- C - It helps in increasing the factor productivity in the real sector: A Pigouvian tax is not directly aimed at increasing factor productivity. Its primary focus is on correcting market inefficiencies caused by negative externalities.
- D - It acts like a revenue tax: While a Pigouvian tax does generate revenue for the government, its main purpose is not simply to raise revenue like a traditional tax. The revenue generated is intended to discourage the activity that creates the negative externality.
Q63: Arrange the following based on their date of establishment, from earlier to latest:
A. IDBI - Industrial Development Bank of India
B. IFCI - Industrial Finance Corporation of India
C. ICICI - Industrial Credit and Investment Corporation of India
D. IRBI - Industrial Reconstruction Bank of India
Choose the correct answer from the options given below:
(a) B, C, D, A
(b) D, B, C, A
(c) B, C, A, D
(d) A, B, D, C
Ans: c
Sol: The correct answer is - B, C, A, D
B. IFCI - Industrial Finance Corporation of India
- Established in 1948.
- It was the first development financial institution in India aimed at providing medium and long-term finance to industry.
C. ICICI - Industrial Credit and Investment Corporation of India
- Established in 1955.
- Formed to create a development financial institution for providing medium-term and long-term project financing to Indian businesses.
A. IDBI - Industrial Development Bank of India
- Established in 1964.
- IDBI was initially set up as a subsidiary of the Reserve Bank of India.
- The primary objective was to provide credit and other facilities for the development of Indian industry.
D. IRBI - Industrial Reconstruction Bank of India
- Established in 1985.
- It was created to take over the functions of the Industrial Reconstruction Corporation of India (IRCI) which was established in 1971.
- The main aim was to rehabilitate and revive sick industrial companies in India.
Other Related Points
IFCI (Industrial Finance Corporation of India)
- It was established to provide financial assistance for the industrial growth of the country.
- Operated as the primary financial institution for long-term financing of industries until other institutions were set up.
ICICI (Industrial Credit and Investment Corporation of India)
- ICICI played a crucial role in providing project financing and supporting the industrial sector.
- In 2002, ICICI was merged with ICICI Bank, which is now one of the largest private sector banks in India.
IDBI (Industrial Development Bank of India)
- IDBI was instrumental in setting up institutions like the National Stock Exchange of India (NSE) and the Securities and Exchange Board of India (SEBI).
- In 2004, IDBI was converted into a banking company to undertake the entire gamut of banking activities while continuing its development financing role.
IRBI (Industrial Reconstruction Bank of India)
- IRBI was set up to facilitate the revival and rehabilitation of sick industrial units.
- Later, it was reconstituted as Industrial Investment Bank of India (IIBI) in 1997 to offer a broader range of financial and advisory services.
Q64: Match LIST-I with LIST-II

Choose the correct answer from the options given below:
(a) A - II, B - III, C - IV, D - I
(b) A - III, B - I, C - II, D - IV
(c) A - IV, B - II, C - III, D - I
(d) A - I, B - II, C - III, D - IV
Ans: a
Sol: The correct answer is - A - II, B - III, C - IV, D - I
Type II Error (A - II)
- A Type II error occurs when we fail to reject the null hypothesis (H0) when it is false.
- This means that we mistakenly accept the null hypothesis, missing the detection of a true effect or difference.
Mean > Mode (B - III)
- In a positively skewed distribution, the mean is greater than the mode.
- This is because the mean is affected by the higher values in the tail of the distribution.
Homogenous Population (C - IV)
- A homogenous population refers to a population that has members with similar characteristics.
- Simple random sampling is often used to ensure that the sample is representative of the population.
Time Reversal Test (D - I)
- The Time Reversal Test is used in index number theory to check the consistency of index numbers over time.
- The test ensures that the product of the price index numbers for forward and backward time periods equals one, i.e., P01 x P10 = 1.
Other Related Points
Type I Error
- A Type I error occurs when we reject the null hypothesis (H0) when it is actually true.
- This is also known as a "false positive" error.
Negatively Skewed Distribution
- In a negatively skewed distribution, the mean is less than the mode.
- This occurs because the tail of the distribution extends to the left, pulling the mean down.
Heterogenous Population
- A heterogenous population has members with diverse characteristics.
- Stratified sampling is often used to ensure that subgroups within the population are adequately represented.
Factor Reversal Test
- The Factor Reversal Test is another test used in index number theory.
- It ensures that the product of the price index and the quantity index equals the value index.
Q65: Match LIST-I with LIST-II

Choose the correct answer from the options given below:
(a) A - IV, B - III, C - I, D - II
(b) A - IV, B - III, C - II, D - I
(c) A - II, B - III, C - IV, D - I
(d) A - III, B - IV, C - I, D - II
Ans: a
Sol: The correct answer is - A - IV, B - III, C - I, D - II
Durbin Watson (A - IV)
- Durbin Watson statistic is used to detect the presence of autocorrelation (serial correlation) in the residuals of a regression analysis.
- Autocorrelation occurs when the residuals (errors) are not independent from each other, often seen in time series data.
- A Durbin Watson value close to 2 suggests no autocorrelation, values less than 2 indicate positive autocorrelation, and values greater than 2 indicate negative autocorrelation.
Granger (B - III)
- Granger causality is a statistical hypothesis test to determine if one time series can predict another time series.
- It is widely used in econometrics and other fields to identify cause-and-effect relationships between variables over time.
- This concept is crucial for understanding the directionality of influence between variables.
Farrar - Glauber (C - I)
- The Farrar-Glauber test is used to detect multicollinearity in a regression model.
- Multicollinearity occurs when two or more predictors in a regression model are highly correlated, leading to unreliable estimates of regression coefficients.
- This test helps in identifying the presence of multicollinearity so that corrective measures can be taken.
Glejser (D - II)
- The Glejser test is used to detect heteroscedasticity, which occurs when the variability of the errors is not constant across all levels of an independent variable.
- Heteroscedastic disturbances can lead to inefficient estimates and affect the validity of statistical tests.
- Glejser's test involves regressing the absolute value of residuals on independent variables to check for patterns that suggest heteroscedasticity.
Other Related Points
Autocorrelated Disturbances
- Autocorrelation refers to the correlation of a signal with a delayed copy of itself as a function of delay.
- In regression models, it means the residuals from one period are correlated with residuals from another period.
- This often indicates that important variables or dynamics are omitted from the model.
Heteroscedastic Disturbances
- Heteroscedasticity means that the variance of errors varies across observations.
- It can invalidate statistical tests of significance that assume a constant variance.
- Detecting and correcting for heteroscedasticity is crucial for accurate regression analysis.
Multicollinearity
- Multicollinearity occurs when independent variables in a regression model are highly correlated.
- It can make it difficult to determine the individual effect of each predictor.
- Detection techniques include Variance Inflation Factor (VIF) and Farrar-Glauber test.
Causality
- Causality refers to the relationship between cause and effect.
- In time series analysis, Granger causality tests if one time series can forecast another.
- It is fundamental in understanding and predicting temporal relationships between variables.
Q66: Read the example given below and find out the correct choice compatible from among the alternatives:
If a professor assigns only letter grades to an exam, we know that a student who receives a grade of 'A' did better than a student who receives a 'B', but we cannot say how much better from that ordinal scale. Nor can we tell whether the difference in preference between an 'A' student and a 'B' student and a 'C' student.
(a) Marshallian utility analysis
(b) Revealed preference analysis
(c) Slutsky equation
(d) Indifference curve analysis
Ans: d
Sol: The correct answer is - Indifference curve analysis
Indifference curve analysis
- Indifference curve analysis is a method used in microeconomics to analyze consumer preferences and the combination of goods that provide the consumer with the same level of satisfaction.
- It is based on the ordinal utility theory, which means it ranks preferences without measuring the exact level of satisfaction.
- In the context of the given statement, the concept of ordinal scale is highlighted, where we can rank preferences (or grades) but cannot measure the exact difference in satisfaction between them.
- Therefore, indifference curve analysis is relevant as it deals with the ranking of preferences without quantifying the difference in utility.
Other Related Points
Marshallian utility analysis
- Developed by Alfred Marshall, this analysis is based on the cardinal utility theory, which assumes that the satisfaction derived from consuming goods can be measured and quantified.
- This approach is less relevant to the provided statement because it involves measuring utility rather than merely ranking preferences.
Revealed preference analysis
- Proposed by Paul Samuelson, this theory suggests that the preferences of consumers can be revealed by their purchasing habits.
- It does not directly deal with ordinal or cardinal utility but rather with the choices consumers make under given constraints.
Slutsky equation
- The Slutsky equation is used in microeconomics to separate the effect of a price change into substitution and income effects.
- It is not directly related to the concept of ranking preferences without measuring their differences.
Q67: Match LIST-I with LIST-II

Choose the correct answer from the options given below:
(a) A - IV, B - III, C - I, D - II
(b) A - IV, B - II, C - I, D - III
(c) A - III, B - II, C - I, D - IV
(d) A - IV, B - III, C - II, D - I
Ans: a
Sol: The correct answer is - A - IV, B - III, C - I, D - II
Simple random sampling
- It is a method where each item in the population has an equal probability of being selected.
- Therefore, it matches with IV: "Equal probability of selection for each item in all trials."
Systematic sampling
- This method involves randomly selecting the first unit and then systematically selecting the rest at regular intervals.
- Hence, it matches with III: "Random selection of the first unit and systematic selection of the rest."
Quota Sampling
- It is a non-probability sampling technique where the population is divided into subgroups and samples are taken in a non-random manner.
- Thus, it matches with I: "Non-probability Sampling."
Stratified random sampling
- This sampling method involves dividing the population into strata and randomly selecting items from each stratum.
- Therefore, it matches with II: "Random choice of items from each stratum."
Other Related Points
Simple Random Sampling
- This is one of the most basic forms of probability sampling.
- It ensures that every member of the population has an equal chance of being selected, minimizing bias.
Systematic Sampling
- This method is often easier to implement than simple random sampling and is useful for large populations.
- It relies on a random start point and a fixed interval to select subsequent items.
Quota Sampling
- It is widely used in market research and opinion polling.
- Quota sampling can introduce bias because it relies on the judgment of the researcher rather than random selection.
Stratified Random Sampling
- This method improves the efficiency and accuracy of results by ensuring representation from all subgroups.
- It is particularly useful when the population is heterogeneous and the goal is to ensure that all strata are adequately represented.
Q68: Consequences of hoarding of money by individual are:
A. Loss of utility by not purchasing goods and services.
B. Foregone interest by not saving.
C. Fall of real value of money by deflation.
D. Loss of return by not purchasing other assets
Choose the correct answer from the options given below:
(a) A, B, C Only
(b) A, B, D Only
(c) B, C, D Only
(d) A, B Only
Ans: b
Sol: The correct answer is - A, B, D Only
Loss of utility by not purchasing goods and services (A)
- When individuals hoard money, they miss out on the benefits and satisfaction that come from consuming goods and services.
- This is known as the loss of utility, which is the value derived from the use of goods and services.
Foregone interest by not saving (B)
- If individuals hoard money instead of saving it, they miss out on potential interest earnings that they could have earned from savings accounts or other interest-bearing investments.
- This foregone interest is an opportunity cost of hoarding money.
Loss of return by not purchasing other assets (D)
- Hoarding money prevents individuals from investing in other assets such as stocks, bonds, or real estate.
- These investments typically offer higher returns compared to just holding cash.
- By not investing in these assets, individuals lose out on potential returns.
Other Related Points
Fall of real value of money by deflation (C)
- Deflation refers to a decrease in the general price level of goods and services, increasing the real value of money.
- However, hoarding money can contribute to deflationary pressures in an economy, but it doesn't directly cause a fall in the real value of money.
Q69: If government expenditure rises by Rs. 100, total tax revenue rises by Rs. 100, the value of marginal propensity to consume is 0.5 & there is no change in autonomous investment & consumption, in a simple Keynesian closed- economy model, GDP rises by:
(a) Rs. 0
(b) Rs. 100
(c) Rs. 200
(d) Rs. 400
Ans: b
Sol: The correct answer is - Rs. 100
Explanation of Rs. 100 as the correct answer:
- In a simple Keynesian model, the multiplier (k) is calculated as 1/(1-MPC), where MPC is the marginal propensity to consume.
- Given that the MPC is 0.5, the multiplier (k) is 1/(1-0.5) = 1/0.5 = 2.
- However, since the total tax revenue also rises by Rs. 100, it directly offsets the impact of the government expenditure rise.
- Therefore, the net impact on GDP is Rs. 100 - Rs. 100 = Rs. 0.
- But since the question states that the value of the marginal propensity to consume is 0.5, the multiplier effect will still be in play for the remaining expenditure.
So effectively, the GDP rises by Rs. 100.
Other Related Points
Marginal Propensity to Consume (MPC)
- MPC represents the proportion of additional income that a consumer spends on goods and services rather than saving.
- An MPC of 0.5 implies that for every additional rupee earned, 50 paise is spent and 50 paise is saved.
Multiplier Effect
- The multiplier effect refers to the proportional amount of increase in final income that results from an injection of spending.
- The formula for the multiplier in a simple economy is k = 1/(1-MPC).
Government Expenditure and Taxation
- Government expenditure is an injection into the economy while taxes are a leakage.
- In the given scenario, a rise in both by the same amount tends to offset each other's direct impact.
Q70: Asymmetric information in the Lemons Market results in:
A. Gradual fall of average price.
B. Gradual withdrawal of better quality products.
C. Adverse selection by one of the parties
D. Gradual withdrawal of inferior quality products.
Choose the correct answer from the options given below:
(a) A Only
(b) A, C Only
(c) A, B, D Only
(d) A, B, C Only
Ans: d
Sol: The correct answer is - A, B, C Only
Asymmetric Information in the Lemons Market
- The concept of asymmetric information was introduced by economist George Akerlof in his 1970 paper "The Market for Lemons."
- Asymmetric information occurs when one party in a transaction has more or better information compared to the other party.
- This leads to market inefficiencies and can negatively impact the quality and pricing of goods and services.
Gradual fall of average price
- In a market with asymmetric information, buyers are unable to distinguish between high-quality and low-quality products (lemons).
- As a result, buyers are only willing to pay an average price that reflects the risk of purchasing a lemon.
- This leads to a gradual fall in the average price of products in the market.
Gradual withdrawal of better quality products
- Sellers of high-quality products may withdraw from the market because they are not getting fair compensation for their products.
- As the average price falls, it becomes less profitable for sellers of high-quality products to participate in the market.
- This results in a gradual withdrawal of better quality products from the market.
Adverse selection by one of the parties
- Adverse selection refers to a situation where buyers or sellers with higher risk or lower quality products are more likely to participate in the market.
- In the Lemons Market, buyers face adverse selection because they cannot differentiate between high-quality and low-quality products.
- This leads to a situation where only lower quality products (lemons) dominate the market.
Other Related Points
Gradual withdrawal of inferior quality products (Incorrect)
- In the context of the Lemons Market, it is the higher quality products that are withdrawn from the market, not the inferior ones.
- Inferior quality products tend to remain in the market because they benefit from the inability of buyers to distinguish between different qualities.
- This misalignment further exacerbates the problem of market inefficiency.
Q71: In the presence of externality, Coase theorem argues :
(a) Social optimum can be attained only through government's intervention
(b) Social optimum can also be attained by mutual agreement between the private parties
(c) Income effect and transaction costs are to be considered always.
(d) Property right cannot be assigned to any party
Ans: b
Sol: The correct answer is - Social optimum can also be attained by mutual agreement between the private parties
Coase Theorem
- The Coase Theorem, proposed by economist Ronald Coase, suggests that if property rights are well-defined and transaction costs are negligible, private parties can negotiate and reach a mutually beneficial agreement that leads to the social optimum.
- This theorem implies that under certain conditions, government intervention may not be necessary to correct externalities.
- It emphasizes the importance of clearly defined property rights and the ability of parties to bargain without cost.
Other Related Points
Government Intervention
- In the presence of externalities, traditional economic theory often suggests that government intervention, such as taxes, subsidies, or regulations, is necessary to achieve a social optimum.
- However, the Coase Theorem provides an alternative perspective, highlighting the potential for private solutions.
Income Effect and Transaction Costs
- While the Coase Theorem assumes negligible transaction costs for its application, in reality, transaction costs and income effects can play significant roles in the feasibility of private bargaining.
- High transaction costs can hinder negotiations and make government intervention a more practical solution.
Property Rights
- The assignment of property rights is a crucial element in the Coase Theorem. Clearly defined property rights facilitate negotiations and the potential for reaching an efficient outcome.
- Without well-defined property rights, it becomes challenging to establish who holds the right to negotiate and enforce agreements, complicating the resolution of externalities.
Q72: Identify the chronology of the theories of population as developed by the following:
A. Karl Marx
B. Edwin Cannan
C. T. R. Malthus
D. C. R. Blacker
Choose the correct answer from the options given below:
(a) B, C, A, D
(b) A, B, C, D
(c) C, B, A. D
(d) B, C, D, A
Ans: c
Sol: The correct answer is - C, B, A, D
T. R. Malthus
- Thomas Robert Malthus was one of the earliest thinkers on population theory.
- He published "An Essay on the Principle of Population" in 1798.
- Malthus theorized that population growth would outpace agricultural production, leading to widespread famine and hardship.
- His ideas were foundational in the study of demography and influenced later economists and sociologists.
Edwin Cannan
- Edwin Cannan was a British economist who contributed to the field of population studies in the late 19th and early 20th centuries.
- He critiqued Malthusian theory and proposed that population growth could lead to economic prosperity under certain conditions.
- His work emphasized the role of human innovation and technological progress in addressing population challenges.
Karl Marx
- Karl Marx, a 19th-century philosopher and economist, critiqued Malthusian theory from a socialist perspective.
- Marx argued that overpopulation was not a natural phenomenon but a result of capitalist systems that create poverty and inequality.
- He believed that socialism would resolve issues of overpopulation by redistributing resources more equitably.
C. R. Blacker
- C. R. Blacker was a 20th-century demographer who contributed to modern population studies.
- He focused on family planning and the social implications of population growth.
- Blacker's work was influential in shaping contemporary policies on population control and reproductive health.
Other Related Points
Explanation of Other Options
- Option 1: Incorrect because Edwin Cannan's contributions came after T. R. Malthus, not before.
- Option 2: Incorrect as it misorders the sequence, placing Edwin Cannan before T. R. Malthus.
- Option 4: Incorrect because it places C. R. Blacker before Karl Marx, which is historically inaccurate.
Q73: Which of the following is not correct?
(a) Public debt transfers fund from public to government.
(b) Public borrowing curtails consumption.
(c) Taxation curtails consumption.
(d) Government borrowing does not affect income distribution.
Ans: d
Sol: The correct answer is - Government borrowing does not affect income distribution.
Public debt transfers fund from public to government.
- Public debt involves the government borrowing money from the public, typically in the form of bonds.Funds raised from public debt are used by the government for various public expenditures.
- This transfer of funds is a typical financial mechanism for managing a country's economy and funding public projects.
Public borrowing curtails consumption.
- When the government borrows from the public, individuals may have less money to spend on personal consumption.
- This can lead to a reduction in overall consumer spending in the economy, impacting economic growth.
- It is a method to control inflation and redirect resources to more essential or productive areas.
Taxation curtails consumption.
- Taxes reduce the disposable income of individuals and businesses.
- As a result, taxpayers have less money to spend on goods and services, leading to a decrease in consumption.
- This is often used as a fiscal policy tool to manage economic stability.
Other Related Points
Income Distribution
- Income distribution refers to how a nation's total earnings are divided among its population.
- Economic policies, including taxation and government spending, can significantly affect income distribution.
- Government borrowing, however, does not directly alter the distribution of income.
- Indirect effects might occur through changes in government spending or taxation to repay debt, but the borrowing itself does not create immediate changes in income distribution.
Fiscal Policy
- Fiscal policy involves government spending and taxation decisions aimed at influencing the economy.
- It is a primary tool used by governments to manage economic growth, control inflation, and stabilize the economy.
Q74: Given the following statements, state which ones are correct:
A. GDP is devoid of all types of double - counting.
B. Donations are included in National Income
C. Alms are included in Personal Income
D. Inventory is included in investment
E. Foreign workers' income is included in GNP but not in GDP
Choose the correct answer from the options given below:
(a) A & C Only
(b) A, C, D & E Only
(c) C, D & E Only
(d) C & D Only
Ans: d
Sol: The correct answer is - C & D Only
C. Alms are included in Personal Income
- Personal Income includes all sources of income received by individuals, including wages, dividends, and transfer payments such as alms and gifts.
- It represents the total income earned by individuals before taxes.
D. Inventory is included in investment
- Investment in economic terms includes not just spending on capital goods, but also changes in inventories.
- Inventory changes reflect the production of goods that have not yet been sold, and are therefore considered part of investment in GDP calculations.
Other Related Points
A. GDP is devoid of all types of double-counting
- This statement is incorrect. GDP calculations can include double-counting if intermediate goods are not excluded properly.
- To avoid double-counting, GDP should only include the value of final goods and services produced within a country.
B. Donations are included in National Income
- This statement is incorrect. National Income typically includes income from production activities and factor incomes, but not transfer payments like donations.
- Donations are generally considered transfer payments and are excluded from National Income calculations.
E. Foreign workers' income is included in GNP but not in GDP
- This statement is incorrect. Foreign workers' income earned within a country is included in GDP because it reflects the domestic production.
- GNP (Gross National Product) includes the income earned by the nationals of a country, both domestically and abroad, but excludes the income earned by foreign nationals within the country.
Q75: The basis of consumer surplus in Marshallian utility analysis is -
(a) Law of equi-marginal utility
(b) Law of proportions
(c) Law of diminishing marginal utility
(d) Law of demand
Ans: c
Sol: The correct answer is - Law of diminishing marginal utility
Law of diminishing marginal utility
- Consumer surplus is the difference between what consumers are willing to pay for a good or service versus what they actually pay.
- The Law of Diminishing Marginal Utility states that as a person consumes more units of a good, the additional satisfaction (utility) gained from consuming each additional unit decreases.
- Consumer surplus is derived because consumers are willing to pay more for the initial units of a good due to higher utility but end up paying a lower price for all units consumed.
- This principle helps explain why consumers are willing to buy more of a good as its price decreases.
Other Related Points
Law of equi-marginal utility
- This law states that consumers allocate their income in such a way that the marginal utility per unit of expenditure is equalized across all goods and services.
- It is also known as the principle of maximum satisfaction.
Law of proportions
- This law, also known as the law of variable proportions, relates to the production process and describes how output changes when the quantity of one input is varied while others are held constant.
- It is not directly related to consumer behavior or consumer surplus.
Law of demand
- This law states that, all else being equal, as the price of a good decreases, the quantity demanded increases, and vice versa.
- While the law of demand is fundamental to understanding consumer behavior, it does not directly explain the basis of consumer surplus.
Q76: Match LIST-I with LIST-II

Choose the correct answer from the options given below:
(a) A - I, B - II, C - III, D - IV
(b) A - II, B - I, C - IV, D - III
(c) A - IV, B - III, C - II, D - I
(d) A - III, B - I, C - II, D - IV
Ans: d
Sol: The correct answer is - A - III, B - I, C - II, D - IV
Key Points
A.Gross barter terms of trade
- C. W. Taussing - He introduced the concept of Gross barter terms of trade, which refers to the ratio of the quantity of exports to the quantity of imports.
- It is a measure used to determine the terms of trade between two countries.
B.Single factorial terms of trade
- Jacob Viner - Viner introduced the Single factorial terms of trade, which consider the efficiency of the factors of production.
- This concept accounts for changes in productivity and is used to measure the terms of trade by considering the amount of input needed to produce exports.
C.Income terms of trade
- Dorrance - Dorrance developed the concept of Income terms of trade, which is the value of exports divided by the import price index.
- This measure reflects the purchasing power of a country's exports and how it changes over time.
D.Secular deterioration in terms of trade of developing countries
- Prebisch - Singer - The Prebisch-Singer hypothesis suggests that over time, the terms of trade tend to deteriorate for developing countries.
- According to this hypothesis, the prices of primary goods (mainly exported by developing countries) tend to fall relative to the prices of manufactured goods (mainly exported by developed countries).
Additional Information
- Gross barter terms of trade - It is useful for analyzing the physical quantity of goods traded between countries.
- It does not consider the value or price changes, only the quantity.
- Single factorial terms of trade - This is a more refined measure as it adjusts for productivity changes.
- It provides a better understanding of the real benefits a country derives from trade by considering the efficiency of production.
- Income terms of trade - Reflects the real income a country can earn from its exports.
- Takes into account both the volume and the price changes of imports and exports.
- Secular deterioration in terms of trade - This hypothesis highlights the structural disadvantages faced by developing countries in global trade.
- It has significant implications for trade policies and strategies for economic development.
Q77: There is an inverse relationship between the rate of interest and the speculative Demand for Money. This is due to:
(a) Adaptive Expectation Hypothesis
(b) Regressive Expectation Hypothesis
(c) Rational Expectation Hypothesis
(d) Relative Wage Hypothesis
Ans: b
Sol: The correct answer is - Regressive Expectation Hypothesis
Regressive Expectation Hypothesis
- This hypothesis suggests that individuals base their expectations of future interest rates on past interest rates.
- When interest rates are high, people expect them to fall in the future, leading to higher speculative demand for money.
- Conversely, when interest rates are low, people expect them to rise, leading to lower speculative demand for money.
- This inverse relationship explains the fluctuation in speculative demand for money based on the changes in interest rates.
Other Related Points
Adaptive Expectation Hypothesis
- This hypothesis suggests that individuals form their expectations of future values based on past values and adjust those expectations gradually as new information becomes available.
- It is often used to explain how people predict inflation and other economic variables.
Rational Expectation Hypothesis
- According to this hypothesis, individuals form expectations about the future based on all available information, including understanding economic policies and models.
- People are assumed to make unbiased forecasts that, on average, are correct.
Relative Wage Hypothesis
- This hypothesis is related to labor economics and suggests that workers are concerned with their wages relative to others in their reference group rather than the absolute level of their wages.
- It explains wage-setting behavior and labor market dynamics.
Q78: A Central Bank can increase money supply in an economy:
A. By raising the Cash Reserve Ratio
B. By purchasing government securities from the public
C. By lowering the Cash Reserve Ratio
D. By lowering the Repo rate
Choose the correct answer from the options given below:
(a) A, B, C Only
(b) A, B, D Only
(c) B, C, D Only
(d) A, C, D Only
Ans: c
Sol: The correct answer is - 3) B, C, D Only
By purchasing government securities from the public
- This is done through Open Market Operations (OMOs), where the central bank buys government bonds from the market, injecting money into the economy and increasing the money supply.
By lowering the Cash Reserve Ratio (CRR)
- The CRR is the percentage of a bank's total deposits that must be held in reserve. Lowering the CRR increases the amount of funds available for banks to lend, thereby increasing the money supply.
By lowering the Repo rate
- The Repo rate is the rate at which the central bank lends money to commercial banks. Lowering the Repo rate reduces the cost of borrowing for banks, encouraging them to lend more, which increases the money supply.
Other Related Points
Raising the Cash Reserve Ratio (CRR)
- Raising the CRR requires banks to hold a larger percentage of their deposits as reserves with the central bank, reducing the amount of funds available for lending and thus decreasing the money supply.
Open Market Operations (OMOs)
- OMOs are an essential tool used by central banks to regulate the money supply in the economy.
- Through OMOs, central banks can either inject liquidity into the banking system (by purchasing securities) or absorb liquidity (by selling securities).
Cash Reserve Ratio (CRR)
- The CRR is a regulatory requirement for banks, ensuring that a portion of their deposits is held as reserves with the central bank.
- This tool is used to control liquidity and ensure the stability of the banking system.
Repo Rate
- The Repo rate is a crucial monetary policy tool used by central banks to manage short-term interest rates and control inflation.
- Changes in the Repo rate directly affect the borrowing costs for commercial banks, influencing their lending behavior and the overall money supply.
Q79: Match LIST-I with LIST-II

Choose the correct answer from the options given below:
(a) A - I, B - IV, C - III, D - II
(b) A - I, B - IV, C - II, D - III
(c) A - II, B - I, C - III, D - IV
(d) A - IV, B - III, C - II, D - I
Ans: a
Sol: The correct answer is:
Supply side of international trade
David Ricardo
- David Ricardo is renowned for his theory of comparative advantage, which is essential to understanding the supply side of international trade.
- This theory explains how countries benefit from specializing in the production of goods for which they have a lower opportunity cost.
Demand side of international trade
Bastable and Alfred Marshall
- Bastable and Alfred Marshall contributed to the understanding of the demand side of international trade through their work on consumer behavior and market demand.
- Alfred Marshall’s work on supply and demand curves in his book "Principles of Economics" is significant in this context.
Opportunity cost of international trade
G. Haberler
- G. Haberler is known for his work on the opportunity cost theory, which is crucial for analyzing the costs and benefits of international trade.
- He emphasized the importance of considering opportunity costs in the production and trade of goods.
Real cost theory of international trade
Alfred Marshall and Edgeworth
- Alfred Marshall and Edgeworth developed the real cost theory, which focuses on the actual costs incurred in the production of goods, including labor and resources.
- This theory helps in understanding the real economic costs involved in international trade.
Other Related Points
David Ricardo
- His theory of comparative advantage is foundational to the field of international economics and explains why nations engage in trade.
- It posits that even if one country is less efficient at producing all goods compared to another country, there is still a basis for mutual trade benefits.
Alfred Marshall
- Marshall’s contributions to microeconomics, including concepts like elasticity of demand, are fundamental to understanding market mechanisms.
- His work laid the groundwork for much of modern economic theory, including the analysis of international trade.
G. Haberler
- Haberler’s analysis of the opportunity cost concept in his book "The Theory of International Trade" provided a more comprehensive understanding of trade dynamics.
- He argued that opportunity costs should be used instead of labor costs to determine comparative advantage.
Q80: Advantages of Indirect Tax are:
A. It is difficult to evade
B. It is elastic in nature
C. It is convenient to pay
D. It is based on the ability to pay of the tax-payer
Choose the correct answer from the options given below:
(a) C, B Only
(b) C, D Only
(c) A, B, C Only
(d) A, C, D Only
Ans: c
Sol: The correct answer is - A, B, C Only
A. It is difficult to evade
- Indirect taxes are included in the price of goods and services, making it harder for consumers to avoid paying them.
- The widespread nature of indirect tax collection ensures that almost everyone contributes.
B. It is elastic in nature
- Indirect taxes can be adjusted based on the needs and economic conditions of the country.
- Governments can increase or decrease the rates of indirect taxes to manage economic activities and revenue collection.
C. It is convenient to pay
- Since indirect taxes are included in the price of goods and services, consumers pay them without a separate transaction.
- This convenience reduces the administrative burden on both the taxpayer and the government.
Other Related Points
D. It is based on the ability to pay of the tax-payer
- This statement is more applicable to direct taxes such as income tax, where the tax rate is based on the income and financial ability of the taxpayer.
- Indirect taxes, on the other hand, are regressive and do not consider the individual taxpayer's ability to pay.
- Everyone pays the same rate of indirect tax regardless of their income or financial status.
Q81: Choose the feature which does not fit with the features of monopolistic competition.
(a) Firms have little control over price
(b) Perfect mobility of factors of production
(c) Products are differentiated
(d) Factor prices and technology are given
Ans: b
Sol: The correct answer is - Perfect mobility of factors of production
Perfect mobility of factors of production
- This feature is characteristic of perfect competition rather than monopolistic competition.
- In monopolistic competition, factors of production are not perfectly mobile due to brand loyalty, product differentiation, and other barriers.
Other Related Points
Firms have little control over price
- In monopolistic competition, firms have some control over the price due to product differentiation.
- Each firm faces a downward-sloping demand curve, allowing them to set prices within a certain range.
Products are differentiated
- Product differentiation is a key feature of monopolistic competition.
- Firms differentiate their products through branding, quality, features, etc., to create a niche market.
Factor prices and technology are given
- In the short run, firms in monopolistic competition take factor prices and technology as given.
- This means that firms cannot influence these factors individually but must operate within the prevailing market conditions.
Q82: Big Push theory considers a process of development that essentially depends on :
(a) Comprehensive planning
(b) Free - market without any government intervention
(c) Well-defined private property rights.
(d) Political democracy
Ans: a
Sol: The correct answer is - Comprehensive planning
Big Push Theory
- The Big Push Theory is an economic concept that suggests economic development can be achieved through significant investment across various sectors simultaneously.
- It was introduced by economist Paul Rosenstein-Rodan in 1943.
- This theory emphasizes the importance of coordinated and large-scale investments in industries to overcome economic barriers and trigger development.
- Comprehensive planning is crucial in this theory because it ensures that investments are strategically allocated to maximize growth and avoid bottlenecks.
- Coordinated investments can lead to economies of scale, increased productivity, and overall economic growth.
Other Related Points
Free-market without any government intervention
- In a free-market economy, prices for goods and services are determined by open competition and supply and demand, with minimal government intervention.
- This approach contrasts with the Big Push Theory, which relies on planned and coordinated investments rather than market forces.
Well-defined private property rights
- While private property rights are crucial for economic stability and growth, the Big Push Theory focuses more on coordinated investment rather than individual property rights.
Political democracy
- Political democracy involves a system of government where power is vested in the hands of the people, typically through elected representatives.
- Although political stability and democratic governance can facilitate economic development, the Big Push Theory specifically emphasizes comprehensive economic planning.
Q83: Which is/are, not modern theory of trade?
A. Human Skills Theory
B. Factor proportions Theory
C. Product Cycle Theory
D. Offer Curve Analysis
E. Monopolistically Competitive Trade Theory
Choose the correct answer from the options given below:
(a) A Only
(b) A, B Only
(c) B, D Only
(d) C, D, E Only
Ans: c
Sol: The correct answer is - 3) B, D Only
Factor Proportions Theory
- Also known as the Heckscher-Ohlin theory, it is a classical theory of international trade.
- This theory suggests that countries export products that use their abundant and cheap factors of production and import products that use their scarce factors.
Offer Curve Analysis
- Offer Curve Analysis is a traditional theory of trade.
- It represents the quantity of one good a country is willing to export in exchange for another good.
- This analysis helps in understanding the terms of trade between two countries.
Other Related Points
Human Skills Theory
- This modern theory of trade emphasizes the role of human capital and skills in determining trade patterns.
- Countries with a skilled workforce tend to export goods and services that require high levels of skill and expertise.
Product Cycle Theory
- Proposed by Raymond Vernon, this theory explains trade patterns based on the life cycle of products.
- It suggests that new products are initially produced and exported by advanced countries but, over time, production shifts to developing countries as the product becomes standardized.
Monopolistically Competitive Trade Theory
- This modern theory considers the impact of market structures, like monopolistic competition, on trade patterns.
- It suggests that countries trade similar but differentiated products, benefiting from economies of scale and consumer preferences for variety.
Q84: Match LIST-I with LIST-II

Choose the correct answer from the options given below:
(a) A - III, B - I, C - II, D - IV
(b) A - I, B - III, C - IV, D - II
(c) A - I, B - III, C - II, D - IV
(d) A - IV, B - I, C - II, D - III
Ans: a
Sol: The correct answer is - A - III, B - I, C - II, D - IV
Lindhal's Theory
- Associated with the pricing of public goods.
- It proposes a method to determine the efficient provision and financing of public goods through personalized prices based on individual preferences and willingness to pay.
Club Theory
- Related to the production of public goods.
- It explains how individuals can form groups (clubs) to share the benefits of public goods and how the size of the club and the provision of the goods are determined.
Parkinson's Law
- Describes the phenomenon of the constant growth of employment in government agencies.
- It states that "work expands to fill the time available for its completion," leading to inefficiencies and bureaucratic growth.
Hotelling Rule
- Concerns the pricing of exhaustible resources.
- It provides a formula for determining the optimal rate at which to extract non-renewable resources, balancing current use with future scarcity.
Other Related Points
Lindhal's Theory
- Named after Erik Lindahl, a Swedish economist.
- It addresses the issue of how to finance public goods in a way that reflects the individual benefits received.
- Each individual pays a price proportional to the marginal benefit they receive, leading to an efficient provision of public goods.
Club Theory
- Developed by James M. Buchanan, an American economist.
- It explains how optimal club size and membership are determined, balancing the benefits of shared goods with the costs of congestion.
Parkinson's Law
- First articulated by C. Northcote Parkinson, a British historian and author.
- The law highlights the tendency of bureaucratic organizations to grow over time, irrespective of the amount of work required.
Hotelling Rule
- Named after Harold Hotelling, an American economist.
- The rule is a foundational concept in the economics of natural resources, particularly in determining the optimal extraction rate of finite resources.
Q85: Match LIST-I with LIST-II

Choose the correct answer from the options given below:
(a) A - IV, B - II, C - I, D - III
(b) A - I, B - IV, C - II, D - III
(c) A - I, B - IV, C - III, D - II
(d) A - IV, B - III, C - II, D - I
Ans: a
Sol: The correct answer is - A - IV, B - II, C - I, D - III
A. Positive externality in consumption - IV. Sanitisation of a house
- Positive externality in consumption occurs when the consumption of a good or service benefits others who are not directly involved in the transaction.
- Sanitisation of a house leads to better hygiene and health conditions, not just for the occupants but also for the surrounding community.
B. Positive externality in Production - II. Honey cultivation near a flower garden
- Positive externality in production occurs when the production of a good or service benefits other producers or the public.
- Honey cultivation near a flower garden increases pollination, benefiting flower production and the ecosystem.
C. Negative externality in consumption - I. Riding a noisy motor cycle at mid-night
- Negative externality in consumption occurs when the consumption of a good or service imposes costs on others who are not involved in the transaction.
- Riding a noisy motorcycle at midnight disturbs the peace and quiet of the neighborhood, causing discomfort and potential health issues for others.
D. Negative externality in Production - III. Paper mill dumping waste into river
- Negative externality in production occurs when the production of a good or service imposes costs on others not involved in the production process.
- A paper mill dumping waste into a river pollutes the water, harming aquatic life and affecting the health of people who depend on the river.
Other Related Points
Externalities
- Externalities are the positive or negative consequences of economic activities experienced by unrelated third parties.
- They can occur during the production or consumption of goods and services and can be both positive and negative.
Positive Externalities
- These are beneficial effects experienced by third parties.
- Examples include education, vaccination, and public transportation.
Negative Externalities
- These are harmful effects experienced by third parties.
- Examples include pollution, noise, and traffic congestion.
Q86: Consider the following statements:
A. Price leadership equilibrium strategy is a Nash equilibrium strategy
B. Bertrand equilibrium strategy is a Nash equilibrium strategy
C. Stackelberg equilibrium strategy is a Nash equilibrium strategy
D. Monopoly equilibrium strategy is a Nash equilibrium strategy
E. Cournot's equilibrium strategy is a Nash equilibrium strategy
Choose the correct answer from the options given below:
(a) A Only
(b) B Only
(c) A, B, C, E Only
(d) D & E Only
Ans: c
Sol: The correct answer is - A, B, C, E Only
- Price leadership equilibrium strategy is a Nash equilibrium strategy.
- Price leadership occurs when one firm sets its price first and other firms follow. The leading firm assumes the dominant position, and the followers adapt to its pricing.
- This strategy results in a Nash equilibrium because each firm's pricing decision is optimal given the other firms' decisions.
- Bertrand equilibrium strategy is a Nash equilibrium strategy.
- In the Bertrand model, firms compete by setting prices simultaneously. The equilibrium occurs when each firm's price is the best response to the prices set by its competitors.
- At Bertrand equilibrium, no firm can increase profit by unilaterally changing its price, satisfying the Nash equilibrium condition.
- Stackelberg equilibrium strategy is a Nash equilibrium strategy.
- In the Stackelberg model, one firm (the leader) sets its output level first, and the other firm (the follower) reacts optimally to this decision.
- The resulting strategy profile is a Nash equilibrium, as the leader's output decision considers the follower's optimal response.
- Cournot's equilibrium strategy is a Nash equilibrium strategy.
- In the Cournot model, firms choose quantities simultaneously. The equilibrium is reached when each firm's output level maximizes its profit given the output levels of the other firms.
- Cournot equilibrium satisfies the Nash condition as no firm can improve its payoff by changing its output unilaterally.
Other Related Points
- Monopoly equilibrium strategy.
- In a monopoly, there is only one firm that sets the price or output level to maximize its profit without considering competitors.
- While a monopolist's strategy maximizes profit given the market demand, it does not involve strategic interaction with other firms, hence it is not considered a Nash equilibrium.
Q87: Find out the correct alterative -
Scitovsky double criterion
(a) does not require the fulfilment of Kaldor - Hicks Welfare criterion test.
(b) requires only the fulfilment of reversal test
(c) does not require the fulfilment of reversal test
(d) requires the fulfilment of Kaldor - Hicks test and reversal test
Ans: d
Sol: The correct answer is - requires the fulfilment of Kaldor-Hicks test and reversal test
Scitovsky double criterion
- It is a method used in welfare economics to determine whether an economic change improves overall welfare.
- The criterion requires that the change passes both the Kaldor-Hicks criterion and the reversal test.
- The Kaldor-Hicks criterion states that a change is beneficial if those that gain from the change could theoretically compensate those that lose from it, and still have some benefit left over.
- The reversal test ensures that if the roles were reversed, the outcome would still be considered beneficial.
Other Related Points
Kaldor-Hicks criterion
- This is a measure of economic efficiency.
- It suggests that an outcome is more efficient if those that are made better off could in theory compensate those that are made worse off.
Reversal Test
- This test checks whether the outcome is still preferred if the roles of winners and losers are reversed.
- It ensures that the welfare improvement is robust and not dependent on the specific distribution of gains and losses.
Scitovsky Criterion
- This criterion is an extension of the Kaldor-Hicks criterion.
- It requires that the welfare improvement passes both the initial Kaldor-Hicks test and the reversal test.
- It is named after the Hungarian economist Tibor Scitovsky.
Q88: Given the CES production function an y = [a1x1P+a2x2P]P, the elasticity of substitution between factors is
(a) 1
(b) P
(c) 
(d) 
Ans: d
Sol: The elasticity of substitution for a CES (Constant Elasticity of Substitution) production function is given by a specific formula based on the function’s parameter.
- For the CES production function, the elasticity of substitution is 1/(1 - P), where P is the parameter in the function.
- This elasticity measures how easily one input can be substituted for another in the production process.
- For example, a higher value means inputs can be substituted more easily, while a lower value means less flexibility.
The correct answer is 1/(1 - P).
Q89: Arrange the writing of the following books in chronological order (oldest to latest)
A. Why nations fail
B. Grundrisse
C. Poverty & famines
D. The theory of moral sentiments
E. Production of commodities by means of commodities.
Choose the correct answer from the options given below:
(a) A, B, C, D, E
(b) B, A, D, E, C
(c) D, B, E, C, A
(d) B, A, E, D, C
Ans: c
Sol: The correct answer is - D, B, E, C, A
The Theory of Moral Sentiments (D)
- Written by Adam Smith, this book was first published in 1759.
- It is a foundational text in moral philosophy and political economy.
Grundrisse (B)
- Written by Karl Marx, this collection of writings was composed in 1857-1858.
- It is a significant work that outlines the basics of Marxist theory.
Production of Commodities by Means of Commodities (E)
- Authored by Piero Sraffa, it was published in 1960.
- This book is a key text in the field of economics, particularly in the theory of value and distribution.
Poverty and Famines (C)
- Written by Amartya Sen, it was published in 1981.
- This book is a critical analysis of the causes of famines and the concept of poverty.
Why Nations Fail (A)
- Authored by Daron Acemoglu and James A. Robinson, it was published in 2012.
- The book explores the political and economic reasons behind the success or failure of nations.
Other Related Points
The Theory of Moral Sentiments
- The book laid the groundwork for Smith's later work, "The Wealth of Nations".
- It discusses the nature of morality and the formation of ethical judgments.
Grundrisse
- It is often seen as a rough draft for Marx's later, more polished works like "Das Kapital".
- The text delves into economics, politics, and the critique of capitalist society.
Production of Commodities by Means of Commodities
- The book is known for introducing the Standard Commodity as a measure of value.
- Sraffa's work is influential in the Neo-Ricardian school of economic thought.
Poverty and Famines
- Sen's work led to significant changes in the understanding of economic development and policy-making.
- His concept of "entitlement" has been widely influential in the study of economics and social justice.
Why Nations Fail
- The book argues that inclusive political and economic institutions lead to prosperity, while extractive institutions lead to failure.
- It has been praised for its comprehensive historical analysis and insights into development economics.
Q90: In the IS-LM framework, under general recessionary condition, as government expenditure (G) rises.
A. As Bond price (pb) falls, rate of interest (r) rises, reducing the level of investment (I).
B. Aggregate demand for commodities rises, raising the level of aggregate output & income (Y).
C. Fall in private investment (1) reduces aggregate income.
D. People sell bond (b) to get money & hence bond supply (Bs) rises, reducing bond price (pb).
E. Transaction demand for money (L1) rises, creating money demand greater than money supply (L > M).
Choose the correct answer from the options given below:
(a) A, B, C, D, E
(b) B, E, D, A, C
(c) B, D, E, C, A
(d) E, B, A, D, C
Ans: b
Sol: The correct answer is - B, E, D, A, C
In the IS-LM framework, under general recessionary condition, as government expenditure (G) rises:
Aggregate demand for commodities rises, raising the level of aggregate output & income (Y).
- When the government increases its expenditure, it directly boosts aggregate demand.
- This increased demand leads to higher production and income in the economy.
Transaction demand for money (L1) rises, creating money demand greater than money supply (L > M).
- With increased income, people require more money for transactions, hence the demand for money rises.
- If the money supply does not increase correspondingly, the demand for money exceeds the supply.
People sell bonds (b) to get money & hence bond supply (Bs) rises, reducing bond price (pb).
- As people need more money for transactions, they sell bonds, increasing the supply of bonds in the market.
- Increased bond supply leads to a fall in bond prices.
As bond price (pb) falls, rate of interest (r) rises, reducing the level of investment (I).
- Falling bond prices lead to rising interest rates because bonds and interest rates have an inverse relationship.
- Higher interest rates make borrowing more expensive, thereby reducing investment levels.
Fall in private investment (I) reduces aggregate income.
- As investment decreases due to higher interest rates, the overall aggregate income in the economy falls.
- This is because investment is a component of aggregate demand, and reduced investment translates to lower economic output.
Other Related Points
IS-LM Framework
- The IS-LM model represents the interaction between the goods market (IS curve) and the money market (LM curve).
- The IS curve shows combinations of interest rates and output where the goods market is in equilibrium.
- The LM curve shows combinations of interest rates and output where the money market is in equilibrium.
- Shifts in the IS or LM curves reflect changes in fiscal and monetary policies and their impact on the economy.
Government Expenditure (G)
- Government spending on goods and services boosts aggregate demand directly.
- This can help counteract recessionary conditions by increasing economic activity and output.
- However, increased government expenditure can have side effects, such as higher interest rates, which may crowd out private investment.
Interest Rates (r) and Investment (I)
- Interest rates influence the cost of borrowing; higher rates discourage borrowing and investment, while lower rates encourage it.
- Investment is a crucial component of aggregate demand and is sensitive to changes in interest rates.
Bond Prices (pb) and Money Demand
- Bonds and interest rates have an inverse relationship: when bond prices fall, interest rates rise.
- Demand for money typically increases with higher income levels, as people need more money for transactions.
Q91: Question Label : Comprehension: Consider the following Prisoners' Dilemma Games
Table Safety Investment Game

Read the above payoff matrix and answer the following:
Find the correct alternative
Investment by both firms
(a) is an equilibrium
(b) is a partial equilibrium
(c) is not an equilibrium
(d) is a Nash equilibrium
Ans: c
Sol:
The correct answer is Option 3.
- The given matrix represents a strategic game between two firms: Firm 1 and Firm 2, where each firm has two choices – Invest or Not Invest.
- A Nash Equilibrium occurs when no firm can improve its payoff by unilaterally deviating from its current strategy.
- If both firms choose to invest, the payoffs are (225, 225).
- Firm 1 can increase its payoff from 225 to 250 by switching to No Investment, implying it has an incentive to deviate.
- Similarly, Firm 2 can also improve its payoff from 225 to 250 by switching to No Investment, showing that (Investment, Investment) is not stable.
Therefore, the correct answer is Investment by both firms is not an equilibrium.
Other Related Points
- (No Investment, Investment) results in a payoff of (250, 100), making it a Nash Equilibrium.
- (Investment, No Investment) results in a payoff of (100, 250), also making it a Nash Equilibrium.
- A stable Nash Equilibrium requires that neither firm has an incentive to deviate, which does not hold when both firms invest.
Q92: Question Label : Comprehension: Consider the following Prisoners' Dilemma Games
Table Safety Investment Game

Read the above payoff matrix and answer the following:
Find the correct alternative
In this game, the underinvestment problem can be avoided if -
(a) One firm invests and the other firm does not
(b) the government sets safety standards that will force both the firms to invest
(c) both invest
(d) none invests
Ans: b
Sol:
The correct answer is the government sets safety standards that will force both the firms to invest
- The underinvestment problem arises when firms fail to invest due to the fear that unilateral investment would put them at a disadvantage.
- From the given payoff matrix, both firms prefer not to invest if they anticipate the other firm not investing, leading to a **suboptimal outcome**.
- When the government enforces **safety standards** mandating investment, both firms must comply, eliminating the fear of competitive disadvantage.
- Regulation ensures **socially optimal investment levels**, avoiding market failure due to firms' hesitation in investing.
Therefore, the correct answer is the government sets safety standards that will force both firms to invest.
Q93: Question Label : Comprehension: Consider the following Prisoners' Dilemma Games
Table Safety Investment Game

Read the above payoff matrix and answer the following:
Find the correct alternative
Find out the correct alternative: Nash equilibrium occurs when both firms earn -
(a) ($ 200, $200)
(b) ($225, $225)
(c) ($100, $250)
(d) ($225, $100)
Ans: a
Sol:
The correct answer is Option 1.
- A **Nash Equilibrium** occurs when no firm can improve its **payoff by unilaterally changing its strategy**, assuming the other firm keeps its strategy unchanged.
- Looking at the payoff matrix, when **both firms choose "No Investment"**, the payoffs are **($200, $200)**.
- If either firm **deviates to "Investment,"** it earns **$100**, which is **lower** than $200, providing no incentive to deviate.
- Since neither firm benefits from changing its strategy unilaterally, **($200, $200) is a Nash Equilibrium**.
Therefore, the correct answer is ($200, $200).
Q94: Question Label : Comprehension: Consider the following Prisoners' Dilemma Games
Table Safety Investment Game

Read the above payoff matrix and answer the following:
Find the correct alternative
Safety investment by one firm of the two firm industry
(a) increases workers' wages in the firm which has not invested
(b) increases workers' wages in the firm which has made invested
(c) decreases workers' wages in the firm which has made investment
(d) decreases wages of workers in both the firms
Ans: d
Sol:
The correct answer is decreases wages of workers in both the firms
- In a **two-firm industry**, when one firm makes a **safety investment**, it can lower **accident risks and improve workplace conditions**, reducing the compensation required for riskier jobs.
- Workers in both firms may **demand lower wages** since overall industry safety has improved, reducing their bargaining power based on occupational hazards.
- As a result, **the overall wage levels in both firms decline**, even if only one firm invests in safety measures.
- This phenomenon occurs due to **market equilibrium adjustments**, where competition for workers normalizes wage rates across firms.
Therefore, the correct answer is decreases wages of workers in both the firms.
Q95: Question Label : Comprehension: Consider the following Prisoners' Dilemma Games
Table Safety Investment Game

Read the above payoff matrix and answer the following:
Find the correct alternative
Safety investment by one firm in the industry
(a) increases safety of both the firms
(b) increases safety of the firm which has made investment
(c) Cannot ensure safety to the industry as a whole
(d) Increases safety to the firm which has not invested
Ans: b
Sol: The correct option increases safety of the firm which has made investment
When a firm in an industry invests in safety measures, the primary benefit is to itself rather than the entire industry. Safety investments typically include improved infrastructure, training, better equipment, and adherence to regulations, which directly impact the firm implementing these changes.
The firm that has made the investment will experience reduced risks associated with workplace accidents, operational hazards, and legal liabilities.
Other firms in the industry that do not invest in safety do not automatically receive these benefits, as their risk exposure remains unchanged.
Q96: "Given her personal characteristics, social background economic circumstances, etc., a person has the ability to do (or be) certain things that she has reason value. The reason for valuation can be direct (the functioning involved may directly enrich her life, such as being well - nourished or being healthy) or indirect (the functioning involved may contribute to further production, or command a price in the market). The human capital perspective can- in principle - be defined very broadly to cover both types of valuation, but it is typically defined by convention - primarily in terms of indirect value: human qualities that can be employed as "capital" in production in the way physical capital is. In this sense, the borrower view of human capital approach fits into the more inclusive perspective of human capability which can cover both direct & indirect consequences of human abilities. Consider an example, If education makes a person more efficient in commodity production, then this is clearly an enhancement of human capital. This can add to the value of production in the economy & also to the income of the person who has been educated. But even with the same level of income, a person may benefit from education, in reading, communicating, arguing, in being able to choose in a more informed way, in being taken more seriously by others, & so on. The benefits of education thus, exceeds its role as human capital in commodity production. The broader human capability perspective would record - and value - these additional roles."
Considering the above paragraphs, mark the correct alternative :
individuals value certain doings & beings, having direct impact, such as:
(a) Being efficient in production
(b) Contribution to national wealth
(c) Enrichment of Life
(d) Enjoying utility enhancement
Ans: c
Sol:
The correct answer is Option 3.
- The passage distinguishes between direct and indirect valuation of human abilities.
- Direct valuation refers to functionings that enrich life, such as being well-nourished or healthy.
- Indirect valuation includes human abilities that contribute to production and economic growth.
- Among the given options, "Enrichment of Life" aligns with direct impact, making it the correct choice.
Therefore, the correct answer is Enrichment of Life.
Other Related Points
- Being efficient in production – This refers to an economic function, aligning with indirect valuation rather than direct impact.
- Contribution to national wealth – Economic contributions fall under indirect valuation and do not directly enrich an individual's life.
- Enjoying utility enhancement – While utility can be an outcome, it does not explicitly align with direct impact as defined in the passage.
Q97: "Given her personal characteristics, social background economic circumstances, etc., a person has the ability to do (or be) certain things that she has reason value. The reason for valuation can be direct (the functioning involved may directly enrich her life, such as being well - nourished or being healthy) or indirect (the functioning involved may contribute to further production, or command a price in the market). The human capital perspective can- in principle - be defined very broadly to cover both types of valuation, but it is typically defined by convention - primarily in terms of indirect value: human qualities that can be employed as "capital" in production in the way physical capital is. In this sense, the borrower view of human capital approach fits into the more inclusive perspective of human capability which can cover both direct & indirect consequences of human abilities. Consider an example, If education makes a person more efficient in commodity production, then this is clearly an enhancement of human capital. This can add to the value of production in the economy & also to the income of the person who has been educated. But even with the same level of income, a person may benefit from education, in reading, communicating, arguing, in being able to choose in a more informed way, in being taken more seriously by others, & so on. The benefits of education thus, exceeds its role as human capital in commodity production. The broader human capability perspective would record - and value - these additional roles."
Considering the above paragraphs, mark the correct alternative :
Which of the following concepts is not related to Human Capability:
(a) Being healthy
(b) Being argumentative
(c) Being socially accepted
(d) Being authoritative
Ans: d
Sol:
The correct answer is Option 4.
- Human capability is centered around enhancing a person’s ability to achieve valued functionings in life.
- The passage highlights aspects such as being well-nourished, being able to communicate, being socially accepted, and making informed choices.
- "Being healthy," "Being argumentative," and "Being socially accepted" contribute to personal growth, knowledge, and social participation, aligning with human capability.
- "Being authoritative" is more related to power dynamics and control over others, which is not a direct aspect of human capability.
Therefore, the correct answer is Being authoritative.
Q98: "Given her personal characteristics, social background economic circumstances, etc., a person has the ability to do (or be) certain things that she has reason value. The reason for valuation can be direct (the functioning involved may directly enrich her life, such as being well - nourished or being healthy) or indirect (the functioning involved may contribute to further production, or command a price in the market). The human capital perspective can- in principle - be defined very broadly to cover both types of valuation, but it is typically defined by convention - primarily in terms of indirect value: human qualities that can be employed as "capital" in production in the way physical capital is. In this sense, the borrower view of human capital approach fits into the more inclusive perspective of human capability which can cover both direct & indirect consequences of human abilities. Consider an example, If education makes a person more efficient in commodity production, then this is clearly an enhancement of human capital. This can add to the value of production in the economy & also to the income of the person who has been educated. But even with the same level of income, a person may benefit from education, in reading, communicating, arguing, in being able to choose in a more informed way, in being taken more seriously by others, & so on. The benefits of education thus, exceeds its role as human capital in commodity production. The broader human capability perspective would record - and value - these additional roles."
Considering the above paragraphs, mark the correct alternative :
Human Capability & Human Capital are related in the following way:
(a) These are completely separated concepts.
(b) Former is a much larger super-set of the latter.
(c) Latter is a significantly larger super-set of the former.
(d) These are almost similar concepts.
Ans: b
Sol:
The correct answer is Option 2.
- Human capability is a broader concept that encompasses various aspects of human well-being, including economic, social, and intellectual dimensions.
- Human capital, on the other hand, focuses primarily on the economic value of an individual’s skills, education, and productivity in the labor market.
- The passage emphasizes that while human capital is a subset of human capability, the latter also includes aspects such as personal development, freedom, and social engagement.
- Therefore, human capability is a much larger super-set of human capital, making this the correct answer.
Therefore, the correct answer is Former is a much larger super-set of the latter.
Other Related Points
- Option 1 (These are completely separated concepts): Incorrect, as human capital is a subset of human capability and not an entirely separate concept.
- Option 3 (Latter is a significantly larger super-set of the former): Incorrect, as human capital is a narrower concept within human capability, not the other way around.
- Option 4 (These are almost similar concepts): Incorrect, as human capability includes both economic and non-economic aspects, whereas human capital is mainly tied to economic productivity.
Q99: "Given her personal characteristics, social background economic circumstances, etc., a person has the ability to do (or be) certain things that she has reason value. The reason for valuation can be direct (the functioning involved may directly enrich her life, such as being well - nourished or being healthy) or indirect (the functioning involved may contribute to further production, or command a price in the market). The human capital perspective can- in principle - be defined very broadly to cover both types of valuation, but it is typically defined by convention - primarily in terms of indirect value: human qualities that can be employed as "capital" in production in the way physical capital is. In this sense, the borrower view of human capital approach fits into the more inclusive perspective of human capability which can cover both direct & indirect consequences of human abilities. Consider an example, If education makes a person more efficient in commodity production, then this is clearly an enhancement of human capital. This can add to the value of production in the economy & also to the income of the person who has been educated. But even with the same level of income, a person may benefit from education, in reading, communicating, arguing, in being able to choose in a more informed way, in being taken more seriously by others, & so on. The benefits of education thus, exceeds its role as human capital in commodity production. The broader human capability perspective would record - and value - these additional roles."
Considering the above paragraphs, mark the correct alternative :
The concept of Human - capability relates to :
(a) Informed choice
(b) Per capita income
(c) productive efficiency
(d) Economic Growth
Ans: a
Sol:
The correct answer is Option 1.
- The concept of human capability, as described by Amartya Sen, focuses on the freedoms and choices individuals have to achieve well-being.
- It emphasizes a person's ability to lead a life they value, which includes making informed choices about their health, education, and social engagement.
- Human capability is broader than economic measures like per capita income, as it includes both tangible and intangible aspects of well-being.
- Informed choice is a crucial aspect of human capability because it allows individuals to utilize their abilities in a meaningful and self-determined way.
Therefore, the correct answer is Informed choice.
Other Related Points
- Option 2 (Per capita income): Incorrect, as it is an economic measure and does not fully represent human capability.
- Option 3 (Productive efficiency): Incorrect, as it relates to economic productivity rather than individual freedom and choices.
- Option 4 (Economic Growth): Incorrect, as human capability is focused on individual well-being rather than overall economic output.
Q100: "Given her personal characteristics, social background economic circumstances, etc., a person has the ability to do (or be) certain things that she has reason value. The reason for valuation can be direct (the functioning involved may directly enrich her life, such as being well - nourished or being healthy) or indirect (the functioning involved may contribute to further production, or command a price in the market). The human capital perspective can- in principle - be defined very broadly to cover both types of valuation, but it is typically defined by convention - primarily in terms of indirect value: human qualities that can be employed as "capital" in production in the way physical capital is. In this sense, the borrower view of human capital approach fits into the more inclusive perspective of human capability which can cover both direct & indirect consequences of human abilities. Consider an example, If education makes a person more efficient in commodity production, then this is clearly an enhancement of human capital. This can add to the value of production in the economy & also to the income of the person who has been educated. But even with the same level of income, a person may benefit from education, in reading, communicating, arguing, in being able to choose in a more informed way, in being taken more seriously by others, & so on. The benefits of education thus, exceeds its role as human capital in commodity production. The broader human capability perspective would record - and value - these additional roles."
Considering the above paragraphs, mark the correct alternative :
Education for an individual enhances :
(a) Human capability but not human capital
(b) Human capital but not human capability
(c) Both human capability and human capital
(d) Neither human capability, nor human capital
Ans: c
Sol:
The correct answer is Both human capability and human capital
- Education plays a dual role in enhancing both human capability and human capital.
- Human capital refers to the economic value of skills and knowledge gained through education, which contributes to productivity and earnings.
- Human capability, as per Amartya Sen’s framework, extends beyond economic productivity and includes the ability to make informed choices, communicate effectively, and lead a fulfilling life.
- Since education contributes to both aspects, it enhances human capability and human capital simultaneously.
Therefore, the correct answer is Both human capability and human capital.