Civil Engineering (CE) Exam  >  Civil Engineering (CE) Notes  >  Uniformly Distributed Load

Uniformly Distributed Load - Civil Engineering (CE) PDF Download

Uniformly Distributed Load

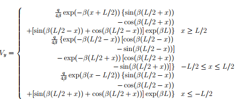
Next, we study the problem of an infinite beam on an elastic foundation subjected to a uniformly distributed load of length L symmetrically on either side of the origin, as shown in figure 11.6. As before, we apply the principle of superposition to find the deflection at a point to be

 

Uniformly Distributed Load - Civil Engineering (CE)       (11.33)

Evaluating the integrals in equation (11.33) we obtain

 

Uniformly Distributed Load - Civil Engineering (CE)          (11.34)
Having found the displacement, (11.34), the variation of the bending moment along the axis of the beam obtained from (11.2) is:

Uniformly Distributed Load - Civil Engineering (CE)            (11.35)

and the shear force variation computed using (11.14) is:

Uniformly Distributed Load - Civil Engineering (CE)            (11.36)

The document Uniformly Distributed Load - Civil Engineering (CE) is a part of Civil Engineering (CE) category.
All you need of Civil Engineering (CE) at this link: Civil Engineering (CE)

FAQs on Uniformly Distributed Load - Civil Engineering (CE)

1. What is a uniformly distributed load?
Ans. A uniformly distributed load refers to a load that is evenly distributed along the length or area of a structure. It exerts a constant force or pressure over a specific area, resulting in a uniform stress distribution.
2. What are some examples of uniformly distributed loads?
Ans. Some examples of uniformly distributed loads include the weight of people sitting on a bench, the weight of books uniformly distributed on a shelf, or the weight of water evenly spread over a flat surface.
3. How is the magnitude of a uniformly distributed load calculated?
Ans. The magnitude of a uniformly distributed load is calculated by dividing the total load by the length or area over which it is distributed. For example, if a load of 1000 N is evenly distributed over a length of 5 meters, the magnitude would be 200 N/m.
4. What is the effect of a uniformly distributed load on a structure?
Ans. A uniformly distributed load can cause bending, deflection, or stress on a structure. The magnitude of the load and the structural properties determine the extent of these effects. Engineers carefully consider these factors when designing structures to ensure they can withstand the applied load.
5. How is the impact of a uniformly distributed load on a structure analyzed?
Ans. The impact of a uniformly distributed load on a structure is analyzed using principles of mechanics and structural analysis. Engineers utilize mathematical equations, such as the beam theory or plate theory, to calculate the resulting stresses, deflections, and other structural responses. This analysis helps determine the suitability of a structure for a given load.
Download as PDF

Top Courses for Civil Engineering (CE)

Related Searches

Uniformly Distributed Load - Civil Engineering (CE)

,

Previous Year Questions with Solutions

,

Sample Paper

,

ppt

,

video lectures

,

MCQs

,

Extra Questions

,

Free

,

shortcuts and tricks

,

Objective type Questions

,

practice quizzes

,

Summary

,

past year papers

,

Important questions

,

study material

,

pdf

,

Exam

,

Uniformly Distributed Load - Civil Engineering (CE)

,

Uniformly Distributed Load - Civil Engineering (CE)

,

mock tests for examination

,

Semester Notes

,

Viva Questions

;