Physics Exam  >  Physics Notes  >  Physics for IIT JAM, UGC - NET, CSIR NET  >  Wave Function Representation in Momentum Space - Quantum Mechanics, CSIR-NET Physical Sciences

Wave Function Representation in Momentum Space - Quantum Mechanics, CSIR-NET Physical Sciences | Physics for IIT JAM, UGC - NET, CSIR NET PDF Download

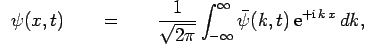
Fourier's theorerm, applied to one-dimensional wavefunctions, yields 

Wave Function Representation in Momentum Space - Quantum Mechanics, CSIR-NET Physical Sciences | Physics for IIT JAM, UGC - NET, CSIR NET(200)

Wave Function Representation in Momentum Space - Quantum Mechanics, CSIR-NET Physical Sciences | Physics for IIT JAM, UGC - NET, CSIR NET(201)

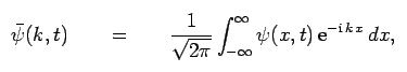
Wave Function Representation in Momentum Space - Quantum Mechanics, CSIR-NET Physical Sciences | Physics for IIT JAM, UGC - NET, CSIR NETwhere Wave Function Representation in Momentum Space - Quantum Mechanics, CSIR-NET Physical Sciences | Physics for IIT JAM, UGC - NET, CSIR NET represents wavenumber. However, Wave Function Representation in Momentum Space - Quantum Mechanics, CSIR-NET Physical Sciences | Physics for IIT JAM, UGC - NET, CSIR NET. Hence, we can also write 

Wave Function Representation in Momentum Space - Quantum Mechanics, CSIR-NET Physical Sciences | Physics for IIT JAM, UGC - NET, CSIR NET(202)

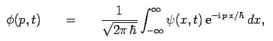
Wave Function Representation in Momentum Space - Quantum Mechanics, CSIR-NET Physical Sciences | Physics for IIT JAM, UGC - NET, CSIR NET(203)

whereWave Function Representation in Momentum Space - Quantum Mechanics, CSIR-NET Physical Sciences | Physics for IIT JAM, UGC - NET, CSIR NET  is the momentum-space equivalent to the real-space wavefunction Wave Function Representation in Momentum Space - Quantum Mechanics, CSIR-NET Physical Sciences | Physics for IIT JAM, UGC - NET, CSIR NET

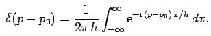
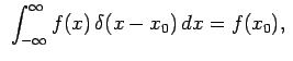
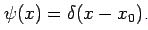
At this stage, it is convenient to introduce a useful function called the Dirac delta-function. This function, denotedWave Function Representation in Momentum Space - Quantum Mechanics, CSIR-NET Physical Sciences | Physics for IIT JAM, UGC - NET, CSIR NET was first devised by Paul Dirac, and has the following rather unusual properties: Wave Function Representation in Momentum Space - Quantum Mechanics, CSIR-NET Physical Sciences | Physics for IIT JAM, UGC - NET, CSIR NET  is zero for x ≠ 0, and is infinite at x = 0. However, the singularity at x = 0 is such that 

Wave Function Representation in Momentum Space - Quantum Mechanics, CSIR-NET Physical Sciences | Physics for IIT JAM, UGC - NET, CSIR NET(204)

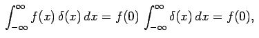
The delta-function is an example of what is known as a generalized functioni.e., its value is not well-defined at all x, but its integral is well-defined. Consider the integral 

Wave Function Representation in Momentum Space - Quantum Mechanics, CSIR-NET Physical Sciences | Physics for IIT JAM, UGC - NET, CSIR NET

Since Wave Function Representation in Momentum Space - Quantum Mechanics, CSIR-NET Physical Sciences | Physics for IIT JAM, UGC - NET, CSIR NET is only non-zero infinitesimally close to x = 0, we can safely replace f(x) by f(0) in the above integral (assuming  f(x) is well behaved at x = 0), to give 

Wave Function Representation in Momentum Space - Quantum Mechanics, CSIR-NET Physical Sciences | Physics for IIT JAM, UGC - NET, CSIR NET(206)

where use has been made of Eq. (204). A simple generalization of this result yields 

Wave Function Representation in Momentum Space - Quantum Mechanics, CSIR-NET Physical Sciences | Physics for IIT JAM, UGC - NET, CSIR NET (207)

which can also be thought of as an alternative definition of a delta-function.

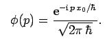
Suppose that  Wave Function Representation in Momentum Space - Quantum Mechanics, CSIR-NET Physical Sciences | Physics for IIT JAM, UGC - NET, CSIR NET It follows from Eqs. (203) and (207) that 

Wave Function Representation in Momentum Space - Quantum Mechanics, CSIR-NET Physical Sciences | Physics for IIT JAM, UGC - NET, CSIR NET         (208)

 Hence, Eq. (202) yields the important result 

Wave Function Representation in Momentum Space - Quantum Mechanics, CSIR-NET Physical Sciences | Physics for IIT JAM, UGC - NET, CSIR NET(209)

Similarly, 

Wave Function Representation in Momentum Space - Quantum Mechanics, CSIR-NET Physical Sciences | Physics for IIT JAM, UGC - NET, CSIR NET       (210)

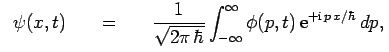
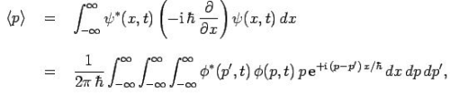
 It turns out that we can just as well formulate quantum mechanics using momentum-space wavefunctions, Wave Function Representation in Momentum Space - Quantum Mechanics, CSIR-NET Physical Sciences | Physics for IIT JAM, UGC - NET, CSIR NET, as real-space wavefunctions, Wave Function Representation in Momentum Space - Quantum Mechanics, CSIR-NET Physical Sciences | Physics for IIT JAM, UGC - NET, CSIR NET. The former scheme is known as the momentum representation of quantum mechanics. In the momentum representation, wavefunctions are the Fourier transforms of the equivalent real-space wavefunctions, and dynamical variables are represented by different operators. Furthermore, by analogy with Eq. (192), the expectation value of some operator O(p) takes the form 

 Wave Function Representation in Momentum Space - Quantum Mechanics, CSIR-NET Physical Sciences | Physics for IIT JAM, UGC - NET, CSIR NET  (211)

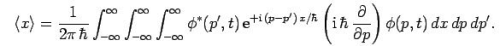
Consider momentum. We can write 

Wave Function Representation in Momentum Space - Quantum Mechanics, CSIR-NET Physical Sciences | Physics for IIT JAM, UGC - NET, CSIR NET  (212)

 where use has been made of Eq. (202). However, it follows from Eq. (210) that 

Wave Function Representation in Momentum Space - Quantum Mechanics, CSIR-NET Physical Sciences | Physics for IIT JAM, UGC - NET, CSIR NET(213)

 Hence, using Eq. (207), we obtain

Wave Function Representation in Momentum Space - Quantum Mechanics, CSIR-NET Physical Sciences | Physics for IIT JAM, UGC - NET, CSIR NET(214)

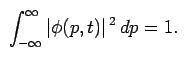
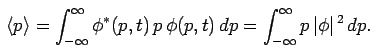
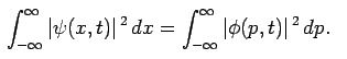
Evidently, momentum is represented by the operator P in the momentum representation. The above expression also strongly suggests [by comparison with Eq. (158)] that Wave Function Representation in Momentum Space - Quantum Mechanics, CSIR-NET Physical Sciences | Physics for IIT JAM, UGC - NET, CSIR NET can be interpreted as the probability density of a measurement of momentum yielding the value P at time t. It follows that Wave Function Representation in Momentum Space - Quantum Mechanics, CSIR-NET Physical Sciences | Physics for IIT JAM, UGC - NET, CSIR NET must satisfy an analogous normalization condition to Eq. (140): i.e.,  

Wave Function Representation in Momentum Space - Quantum Mechanics, CSIR-NET Physical Sciences | Physics for IIT JAM, UGC - NET, CSIR NET           (215)

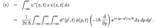
Consider displacement. We can write

Wave Function Representation in Momentum Space - Quantum Mechanics, CSIR-NET Physical Sciences | Physics for IIT JAM, UGC - NET, CSIR NET  (216)

 Integration by parts yields 

Wave Function Representation in Momentum Space - Quantum Mechanics, CSIR-NET Physical Sciences | Physics for IIT JAM, UGC - NET, CSIR NET  (217)

Hence, making use of Eqs. (210) and (207), we obtain

Wave Function Representation in Momentum Space - Quantum Mechanics, CSIR-NET Physical Sciences | Physics for IIT JAM, UGC - NET, CSIR NET  (218)

Evidently, displacement is represented by the operator 

Wave Function Representation in Momentum Space - Quantum Mechanics, CSIR-NET Physical Sciences | Physics for IIT JAM, UGC - NET, CSIR NET  (219)

in the momentum representation.

Finally, let us consider the normalization of the momentum-space wavefunction Wave Function Representation in Momentum Space - Quantum Mechanics, CSIR-NET Physical Sciences | Physics for IIT JAM, UGC - NET, CSIR NET. We have 

Wave Function Representation in Momentum Space - Quantum Mechanics, CSIR-NET Physical Sciences | Physics for IIT JAM, UGC - NET, CSIR NET  (220)

 Thus, it follows from Eqs. (207) and (210) that  

Wave Function Representation in Momentum Space - Quantum Mechanics, CSIR-NET Physical Sciences | Physics for IIT JAM, UGC - NET, CSIR NET  (221)

 Hence, if Wave Function Representation in Momentum Space - Quantum Mechanics, CSIR-NET Physical Sciences | Physics for IIT JAM, UGC - NET, CSIR NET is properly normalized [see Eq. (140)] then Wave Function Representation in Momentum Space - Quantum Mechanics, CSIR-NET Physical Sciences | Physics for IIT JAM, UGC - NET, CSIR NET, as defined in Eq. (203), is also properly normalized [see Eq. (215)].

The existence of the momentum representation illustrates an important point: i.e., that there are many different, but entirely equivalent, ways of mathematically formulating quantum mechanics. For instance, it is also possible to represent wavefunctions as row and column vectors, and dynamical variables as matrices which act upon these vectors.

The document Wave Function Representation in Momentum Space - Quantum Mechanics, CSIR-NET Physical Sciences | Physics for IIT JAM, UGC - NET, CSIR NET is a part of the Physics Course Physics for IIT JAM, UGC - NET, CSIR NET.
All you need of Physics at this link: Physics
158 docs

FAQs on Wave Function Representation in Momentum Space - Quantum Mechanics, CSIR-NET Physical Sciences - Physics for IIT JAM, UGC - NET, CSIR NET

1. What is the wave function representation in momentum space?
Ans. The wave function representation in momentum space is a mathematical representation used in quantum mechanics to describe the state of a particle in terms of its momentum. It represents the probability amplitude of finding the particle with a particular momentum value.
2. How is the wave function in momentum space related to the wave function in position space?
Ans. The wave function in momentum space and the wave function in position space are related through a mathematical transformation called Fourier transform. This transformation allows us to switch between the two representations. The Fourier transform of the wave function in position space gives us the wave function in momentum space and vice versa.
3. What are the advantages of using the wave function representation in momentum space?
Ans. The wave function representation in momentum space offers several advantages in certain calculations and analyses. It simplifies the description of particles with definite momentum values, making it easier to study their behavior. It also provides a more natural representation for certain physical phenomena, such as scattering processes, where momentum plays a crucial role.
4. How can the wave function in momentum space be interpreted physically?
Ans. The wave function in momentum space can be interpreted physically as the probability amplitude for a particle to have a certain momentum value. It provides information about the likelihood of finding the particle with a specific momentum in a given state. The square of the wave function in momentum space gives the probability density of measuring the particle with a particular momentum.
5. Can the wave function in momentum space be measured directly in experiments?
Ans. No, the wave function in momentum space cannot be measured directly in experiments. The wave function itself is a mathematical construct used to describe the quantum state of a particle. However, its predictions can be tested and verified through various experimental techniques. Experimental measurements can be performed on physical observables, such as momentum, which are related to the wave function in momentum space through mathematical relationships.
Related Searches

pdf

,

Previous Year Questions with Solutions

,

Free

,

ppt

,

video lectures

,

CSIR NET

,

MCQs

,

Important questions

,

Viva Questions

,

CSIR NET

,

UGC - NET

,

Summary

,

Exam

,

mock tests for examination

,

UGC - NET

,

shortcuts and tricks

,

Sample Paper

,

study material

,

CSIR NET

,

Wave Function Representation in Momentum Space - Quantum Mechanics

,

Semester Notes

,

CSIR-NET Physical Sciences | Physics for IIT JAM

,

Extra Questions

,

past year papers

,

CSIR-NET Physical Sciences | Physics for IIT JAM

,

Wave Function Representation in Momentum Space - Quantum Mechanics

,

UGC - NET

,

Objective type Questions

,

CSIR-NET Physical Sciences | Physics for IIT JAM

,

practice quizzes

,

Wave Function Representation in Momentum Space - Quantum Mechanics

;