Physics Exam  >  Physics Notes  >  Kinetic Theory & Thermodynamics  >  Zeroth & First Law of Thermodynamics

Zeroth & First Law of Thermodynamics | Kinetic Theory & Thermodynamics - Physics PDF Download

Zeroth Law of Thermodynamics

If two systems say, A and B are separately in thermal equilibrium with a third system say C, then they must also be in thermal equilibrium with one another.

It is analogous to the transitive property in math (if A = C and B = C , then A = B ).

Another way of stating the zeroth law is that every object has a certain temperature, and

when two objects are in thermal equilibrium, their temperatures are equal.

First Law of Thermodynamics

If ∂Q amount of heat is added to the system and if system will do ∂W amount of work, then change in internal energy is dU , which is given by dU = ∂Q - ∂W . First Law of thermodynamics is law of conservation of energy in which Heat added to system can be divided into mechanical work done by system and increase in internal energy of system .

Zeroth & First Law of Thermodynamics | Kinetic Theory & Thermodynamics - Physics

(obviously, heat exchange and work done is dependent on path and internal energy is state function.)

One can also represent first law as ∂Q = dU + ∂W

Different Types of Thermodynamical Process and use of First Law of Thermodynamics.

Isochoric Process

When volume remains constant during the process the process is said to be isochoric process.

Zeroth & First Law of Thermodynamics | Kinetic Theory & Thermodynamics - Physics

One can also show Isochoric process in T - V Diagram

Zeroth & First Law of Thermodynamics | Kinetic Theory & Thermodynamics - Physics

For Ideal Gas Isochoric Process can be shown in P -T diagram which is actually straight line appear to pass through origin which is shown in figure

Zeroth & First Law of Thermodynamics | Kinetic Theory & Thermodynamics - Physics

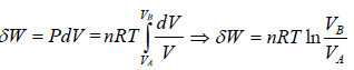
Work done in isochoric process

dW = PdV

Since, dV = 0 ⇒ dW = 0

In an isochoric process work done during the process is zero.

From first law of thermodynamics,

dU = ∂Q - ∂W

Since, ∂W = 0 ⇒ dU = ∂Q = nCvdT

In isochoric process, change in internal energy is equal to heat exchange, So in isochoric process the Heat exchanged is perfect (Exact) differential, So in isochoric process Heat exchanged is Path independent.

Isobaric Process

When pressure of the system remain constant during the process, the process is set to be isobaric process.

The Isobaric process shown in P - V diagram

Zeroth & First Law of Thermodynamics | Kinetic Theory & Thermodynamics - Physics

One can also show Isobaric process in T - P Diagram

Zeroth & First Law of Thermodynamics | Kinetic Theory & Thermodynamics - Physics

For Ideal Gas Isochoric Process can be shown in P -T diagram which is actually straight line appear to pass through origin which is shown in figure

Zeroth & First Law of Thermodynamics | Kinetic Theory & Thermodynamics - Physics

Work done during the process is given by

Zeroth & First Law of Thermodynamics | Kinetic Theory & Thermodynamics - Physics Zeroth & First Law of Thermodynamics | Kinetic Theory & Thermodynamics - Physics

where, ΔT is change in temperature during the process.

Zeroth & First Law of Thermodynamics | Kinetic Theory & Thermodynamics - Physics

∂Q = nCvΔT [since, Cv + R = CP for the ideal gas]

Heat exchange during the process for n mole of gas is equal to nCvΔT , where CP is specific heat capacity at constant pressure.

∂Q = nCvΔT where CP = Zeroth & First Law of Thermodynamics | Kinetic Theory & Thermodynamics - Physics

∂Q = Zeroth & First Law of Thermodynamics | Kinetic Theory & Thermodynamics - Physics ⇒ Zeroth & First Law of Thermodynamics | Kinetic Theory & Thermodynamics - Physics ⇒∂Q = Zeroth & First Law of Thermodynamics | Kinetic Theory & Thermodynamics - Physics

Isothermal Process

When temperature remains constant during the process, then the process is said to be isothermal process.

Isothermal process in P - V diagram shown in figure

Zeroth & First Law of Thermodynamics | Kinetic Theory & Thermodynamics - Physics

Isothermal process in T - V Diagram shown in figure

Zeroth & First Law of Thermodynamics | Kinetic Theory & Thermodynamics - Physics

Isothermal process in V - T Diagram shown in figure

Zeroth & First Law of Thermodynamics | Kinetic Theory & Thermodynamics - Physics

In isothermal process, change in internal energy is zero because ΔT = 0Zeroth & First Law of Thermodynamics | Kinetic Theory & Thermodynamics - Physics

during the isothermal process, heat exchange

Zeroth & First Law of Thermodynamics | Kinetic Theory & Thermodynamics - Physics

Zeroth & First Law of Thermodynamics | Kinetic Theory & Thermodynamics - Physics

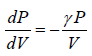
Adiabatic Process

When there is not any heat exchange during the process, then process is said to be adiabatic process.

Adiabatic process is defined by,

PVγ = constant, where γ = Cp/Cv

For Ideal gas, PV = RT for one mole of gas.

Slope of Adiabatic process in P - V diagram

Zeroth & First Law of Thermodynamics | Kinetic Theory & Thermodynamics - Physics

PVγ = C ⇒ Zeroth & First Law of Thermodynamics | Kinetic Theory & Thermodynamics - Physics = 0

Zeroth & First Law of Thermodynamics | Kinetic Theory & Thermodynamics - Physics < 0 where γ, P,V > 0

Slope of Adiabatic process in T-V diagram

Zeroth & First Law of Thermodynamics | Kinetic Theory & Thermodynamics - Physics

So, TVγ-1 = constant

TVγ-1 = C

Zeroth & First Law of Thermodynamics | Kinetic Theory & Thermodynamics - Physics = 0

Zeroth & First Law of Thermodynamics | Kinetic Theory & Thermodynamics - Physics, where γ >1, T > 0, V > 0

Slope of adiabatic process in T-P diagram

Zeroth & First Law of Thermodynamics | Kinetic Theory & Thermodynamics - Physics

P1-γTγ = constant, where γ = Cp/Cv

Zeroth & First Law of Thermodynamics | Kinetic Theory & Thermodynamics - Physics

Zeroth & First Law of Thermodynamics | Kinetic Theory & Thermodynamics - Physics

Slope of adiabatic process on P -T diagram is

Zeroth & First Law of Thermodynamics | Kinetic Theory & Thermodynamics - Physics

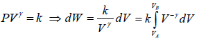
Work done during adiabatic process

∂W = PdV

Zeroth & First Law of Thermodynamics | Kinetic Theory & Thermodynamics - Physics

Zeroth & First Law of Thermodynamics | Kinetic Theory & Thermodynamics - Physics

Zeroth & First Law of Thermodynamics | Kinetic Theory & Thermodynamics - Physics

For n mole Ideal gas

W = Zeroth & First Law of Thermodynamics | Kinetic Theory & Thermodynamics - Physics

For Adiabatic process ∂Q = dU + ∂W

Since, ∂Q = 0 ⇒dU = - ∂W

For adiabatic process ⇒ ∂W = -dU so work done is perfect (exact) differential .in adiabatic process is work done is path independent.

So, in adiabatic process change in internal energy is equal to negative of work done i.e.

dU = Zeroth & First Law of Thermodynamics | Kinetic Theory & Thermodynamics - Physics

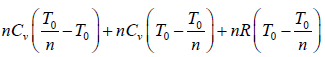
Example 1: n mole of certain ideal gas at temperature Twere cooled isochorically, so that the gas pressure reduced n times. Then as a result at the isobaric process the gas expanded till its temperature get back to initial value. Find the total amount of heat absorbed by the gas in the process.

Let at state A , the pressure, volume, temperature is P0,V0,T0,n is number of  mole. 

According to question,

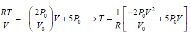
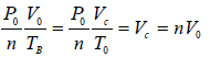
Zeroth & First Law of Thermodynamics | Kinetic Theory & Thermodynamics - Physics

Zeroth & First Law of Thermodynamics | Kinetic Theory & Thermodynamics - Physics

Zeroth & First Law of Thermodynamics | Kinetic Theory & Thermodynamics - Physics

Zeroth & First Law of Thermodynamics | Kinetic Theory & Thermodynamics - Physics

In process A to B

Zeroth & First Law of Thermodynamics | Kinetic Theory & Thermodynamics - Physics

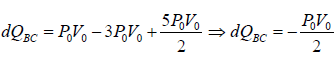
In process B to C

Zeroth & First Law of Thermodynamics | Kinetic Theory & Thermodynamics - Physics

Total heat absorbed by gas,

Zeroth & First Law of Thermodynamics | Kinetic Theory & Thermodynamics - Physics

= Zeroth & First Law of Thermodynamics | Kinetic Theory & Thermodynamics - Physics = Zeroth & First Law of Thermodynamics | Kinetic Theory & Thermodynamics - Physics


Example 2: A sample of an ideal gas is taken through the cyclic process “abcd ” as shown in figure. It absorbed 50Jof heat during part ab, no heat during bc and reject 70J of heat during ca, 40J of work is done on the gas during part bc .

(a) Find the internal energy of the gas at b and c if it is 1500 J at a .

(b) Calculate the work done by the gas during the part ca.

(a) During process a→b , V = constant

ΔQ = dU = Ub -Ua = 50 J

If at ‘ a ’, Ua = 1500J, so at ‘ b’, Ub= 1550J

Work done during process, b→c = -40 J

ΔU = Q - W = 0 - (-40) = 40J

U- Ub = 40

Uc = 1550 + 40 = 1590

Ub = 1550J ⇒Uc = 1590(no heat absorbed at bc)

(b) During process, ca

ΔU = 1500 - 1590 = - 90J

ΔQ = -70J

ΔW = ΔQ - ΔU = -70 + 90 = 20J


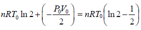
Example 3: A sample of an Ideal gas has pressure P0, volume V0 and temperature T0 . It is isothermally expanded to twice its original volume. It is then compressed at constant pressure to have the original volume V0 . Finally, the gas is heated at constant volume to get the original temperature.

(a) Show the process in VT diagram.

(b) Calculate the heat absorbed in the process.

(a) 

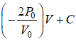
Zeroth & First Law of Thermodynamics | Kinetic Theory & Thermodynamics - Physics

(b) Hence the process is cyclic then change in internal energy in cycle is zero. So heat supplied in the cycle is equal to work done.

Work done during isothermal process, A→B is,

Zeroth & First Law of Thermodynamics | Kinetic Theory & Thermodynamics - Physics

Since, process b→c is isobaric, so work done during the process is PdV .

PaVa = PbVb

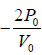
P0V0 = Pb2V0 ⇒ Pb = P0/2

Wb→c = P0/2(V0 - 2V0) = - P0V0/2

Since, Wc→a is isochoric, so Wc→a = 0

Thus, total work done is given by,

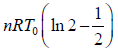
W = Zeroth & First Law of Thermodynamics | Kinetic Theory & Thermodynamics - Physics

Since, the process is cyclic i.e.,

dU = 0 ⇒ dQ = dW = Zeroth & First Law of Thermodynamics | Kinetic Theory & Thermodynamics - Physics


Example 4: One mole of an ideal monatomic Zeroth & First Law of Thermodynamics | Kinetic Theory & Thermodynamics - Physics with gas is taken round the cyclic process ABCA as shown in figure. Calculate

Zeroth & First Law of Thermodynamics | Kinetic Theory & Thermodynamics - Physics

(a) The work done by the gas.

(b) The heat rejected by the gas in the path CA and  the heat

absorbed by the gas in the path AB ;

(c) The net heat absorbed by the gas in the path BC ;

(d) The maximum temperature attained by the gas during the cycle.

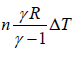
Number of mole of ideal monatomic gas = n =1 mole

For monatomic gas: Zeroth & First Law of Thermodynamics | Kinetic Theory & Thermodynamics - Physics, So γ = Cp/Cv = 5/3

ABCA is cyclic process, so change in internal energy is zero during the cycle

Zeroth & First Law of Thermodynamics | Kinetic Theory & Thermodynamics - Physics

A→B : An isochoric process at constant volume V0

(a) Work done by the gas: dW , which is equivalent to Area of triangle ABC

dW = Zeroth & First Law of Thermodynamics | Kinetic Theory & Thermodynamics - Physics

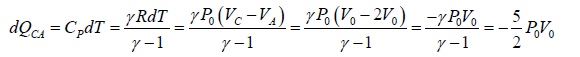
(b) The process C → A: is an isobaric compression at constant pressure P0

Heat rejected alone 

Zeroth & First Law of Thermodynamics | Kinetic Theory & Thermodynamics - Physics

So magnitude of heat rejected in process C to A is 5/2P0Vnegative sign justify the heat rejection during the process

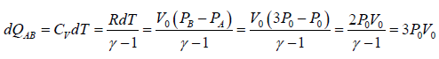
The process A→B is an isochoric process at constant volume V0

Heat rejected alone Zeroth & First Law of Thermodynamics | Kinetic Theory & Thermodynamics - Physics

So magnitude of heat rejected in process A to B is 3P0V0 positive sign justify the heat

absorbed during the process

(c) In a cyclic process, dU = 0 , Net heat absorbed along BC :

dQ = dW = Zeroth & First Law of Thermodynamics | Kinetic Theory & Thermodynamics - Physics = dW ⇒ Zeroth & First Law of Thermodynamics | Kinetic Theory & Thermodynamics - Physics = P0V0

Zeroth & First Law of Thermodynamics | Kinetic Theory & Thermodynamics - Physics the magnitude of heat exchanged is P0V0/2 negative sign justify the rejection of heat in the process.

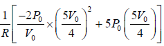
(d) The maximum temperature of gas: Tmax

BC is a straight line. The maximum temperature of the gas Tmax will lie on BC at some

point.

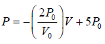
For a straight line y = mx + C

For BC, slope m = Zeroth & First Law of Thermodynamics | Kinetic Theory & Thermodynamics - Physics, P = mV + C ⇒ P = Zeroth & First Law of Thermodynamics | Kinetic Theory & Thermodynamics - Physics will satisfy any of given coordinate on line, so 3P0 = Zeroth & First Law of Thermodynamics | Kinetic Theory & Thermodynamics - Physics⇒ C = 5P0

Zeroth & First Law of Thermodynamics | Kinetic Theory & Thermodynamics - Physics From equation of state P = Zeroth & First Law of Thermodynamics | Kinetic Theory & Thermodynamics - Physics and n =1

Zeroth & First Law of Thermodynamics | Kinetic Theory & Thermodynamics - Physics

For T to be maximum, dT/dV = 0, d2T/dV2 = -ve.

Hence, Zeroth & First Law of Thermodynamics | Kinetic Theory & Thermodynamics - Physics

Tmax = Zeroth & First Law of Thermodynamics | Kinetic Theory & Thermodynamics - Physics ⇒ Tmax = Zeroth & First Law of Thermodynamics | Kinetic Theory & Thermodynamics - Physics

⇒ Tmax =Zeroth & First Law of Thermodynamics | Kinetic Theory & Thermodynamics - Physics


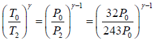
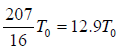
Example 5: The rectangular box shown in figure has a partition which can slide without friction along the length of the box. Initially each of the two chambers of the box has one mole of a mono-atomic ideal gas (γ = 5/3) at a pressure P0 volume Vand temperature T0. The chamber on the left is slowly heated by an electric heater. The walls of the box and the partition are thermally insulted. Heat loss through the lead wires of the heater is negligible. The gas in the left chamber expands pushing the partition until the final pressure in both chambers becomes 243P0/32 .

Determine:

(i) the final temperature of the gas in each chamber and

(ii) The work done by the gas in the right chamber.

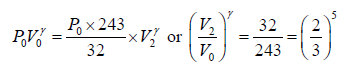
(i) For left chamber, the process of heating is slow. Initially, the parameter is P0,V0,T0 finally, the parameters are Zeroth & First Law of Thermodynamics | Kinetic Theory & Thermodynamics - Physics

Zeroth & First Law of Thermodynamics | Kinetic Theory & Thermodynamics - Physics

Zeroth & First Law of Thermodynamics | Kinetic Theory & Thermodynamics - Physics

or, T1 = Zeroth & First Law of Thermodynamics | Kinetic Theory & Thermodynamics - Physics                                     (i)

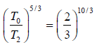
Adiabatic compression occurs in the right chamber. The initial quantities are P0,V0, γ,TThe final qualities are Zeroth & First Law of Thermodynamics | Kinetic Theory & Thermodynamics - Physics

Zeroth & First Law of Thermodynamics | Kinetic Theory & Thermodynamics - Physics

or V2 = Zeroth & First Law of Thermodynamics | Kinetic Theory & Thermodynamics - Physics                                          (ii)

But V1 + V2 = 2V0 given V1 + Zeroth & First Law of Thermodynamics | Kinetic Theory & Thermodynamics - Physics= 2V0

or V1 = Zeroth & First Law of Thermodynamics | Kinetic Theory & Thermodynamics - Physics

From (i) and (iii),

T1 = Zeroth & First Law of Thermodynamics | Kinetic Theory & Thermodynamics - Physics                                (iii)

or T1 = Zeroth & First Law of Thermodynamics | Kinetic Theory & Thermodynamics - Physics                             (iv)

Again for the right chamber, use P - T equation for an adiabatic operation.

Tγ ∞ Pγ-1

Zeroth & First Law of Thermodynamics | Kinetic Theory & Thermodynamics - Physics

Zeroth & First Law of Thermodynamics | Kinetic Theory & Thermodynamics - Physicsso, Zeroth & First Law of Thermodynamics | Kinetic Theory & Thermodynamics - Physics ⇒Zeroth & First Law of Thermodynamics | Kinetic Theory & Thermodynamics - Physics

or Zeroth & First Law of Thermodynamics | Kinetic Theory & Thermodynamics - Physics

or Zeroth & First Law of Thermodynamics | Kinetic Theory & Thermodynamics - Physics or Zeroth & First Law of Thermodynamics | Kinetic Theory & Thermodynamics - Physics

or T2 = 9/4 T0 or T2 = 2.25T0

(ii) Work done by the gas in right chamber.

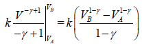
Adiabatic work done = Zeroth & First Law of Thermodynamics | Kinetic Theory & Thermodynamics - Physics

W = Zeroth & First Law of Thermodynamics | Kinetic Theory & Thermodynamics - Physics

or W = Zeroth & First Law of Thermodynamics | Kinetic Theory & Thermodynamics - Physics

or W = Zeroth & First Law of Thermodynamics | Kinetic Theory & Thermodynamics - Physics = Zeroth & First Law of Thermodynamics | Kinetic Theory & Thermodynamics - Physics

or W = -15.58T0 Joule

Work done is negative as the volume in the right chamber decreases.


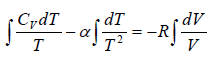
Example 6: Find the molar heat capacity of an ideal gas in a polytrophic process

pVn = const if the adiabatic exponent of the gas is equal to γ At what values of the

polytrophic constant n will the heat capacity of the gas be negative?

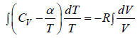
We know from first law of thermodynamics, dQ = dU + dW

Let us assume C is specific heat related for process so, dQ = μCdT

Cv is specific Heat capacity at constant volume internal energy is path independent so  dQ = μCdT which will same for every process for Ideal gas

So first law of thermodynamics can be written as μCdT = μCvdT + PdV

The equation of process is given by PVn = constant

Differentiate equation

Zeroth & First Law of Thermodynamics | Kinetic Theory & Thermodynamics - Physics

Also, the equation of state for Ideal gas is given by PV = μRT

PdV + VdP = μRdT

PdV + nPdV = μRdT ⇒ PdV = Zeroth & First Law of Thermodynamics | Kinetic Theory & Thermodynamics - Physics

Zeroth & First Law of Thermodynamics | Kinetic Theory & Thermodynamics - Physics ⇒ Zeroth & First Law of Thermodynamics | Kinetic Theory & Thermodynamics - Physics

C = Zeroth & First Law of Thermodynamics | Kinetic Theory & Thermodynamics - Physics

If C < 0 then Zeroth & First Law of Thermodynamics | Kinetic Theory & Thermodynamics - Physics


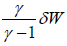
Example: An ideal gas has an adiabatic exponent γ . In some process its molar heat capacity varies as C =α /T , where α is a constant.

(a) What is the work performed by one mole of gas during its heating from the temperature Tto the temperature η times higher.

(b) Find the that the equation of the process in the variables T,V .

(c) Prove that the equation of the process in the variables P,V is given by PVγ .exp Zeroth & First Law of Thermodynamics | Kinetic Theory & Thermodynamics - Physics= constant

(a) C = α/T

The heat exchanged during process isZeroth & First Law of Thermodynamics | Kinetic Theory & Thermodynamics - Physics where n =1 is number of mole 

From first law of thermodynamics dQ = dU + dW ⇒ dQ = nCvdT + PdV

Zeroth & First Law of Thermodynamics | Kinetic Theory & Thermodynamics - Physics

dW = Zeroth & First Law of Thermodynamics | Kinetic Theory & Thermodynamics - Physics ⇒ W = Zeroth & First Law of Thermodynamics | Kinetic Theory & Thermodynamics - Physics⇒ W = Zeroth & First Law of Thermodynamics | Kinetic Theory & Thermodynamics - Physics

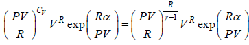
(b) From equation of state P = RT/V

From first law of thermodynamics, dQ = Zeroth & First Law of Thermodynamics | Kinetic Theory & Thermodynamics - Physics

Zeroth & First Law of Thermodynamics | Kinetic Theory & Thermodynamics - Physics

Zeroth & First Law of Thermodynamics | Kinetic Theory & Thermodynamics - Physics

Zeroth & First Law of Thermodynamics | Kinetic Theory & Thermodynamics - Physics

Zeroth & First Law of Thermodynamics | Kinetic Theory & Thermodynamics - Physics where β is constant

Zeroth & First Law of Thermodynamics | Kinetic Theory & Thermodynamics - Physics

Zeroth & First Law of Thermodynamics | Kinetic Theory & Thermodynamics - Physics = constant

(c) Zeroth & First Law of Thermodynamics | Kinetic Theory & Thermodynamics - Physics = constant

Zeroth & First Law of Thermodynamics | Kinetic Theory & Thermodynamics - Physics = constant

Zeroth & First Law of Thermodynamics | Kinetic Theory & Thermodynamics - Physics = constant

Zeroth & First Law of Thermodynamics | Kinetic Theory & Thermodynamics - Physics = constant

The document Zeroth & First Law of Thermodynamics | Kinetic Theory & Thermodynamics - Physics is a part of the Physics Course Kinetic Theory & Thermodynamics.
All you need of Physics at this link: Physics
6 videos|20 docs|32 tests

FAQs on Zeroth & First Law of Thermodynamics - Kinetic Theory & Thermodynamics - Physics

1. What are the different types of thermodynamical processes?
Ans. The different types of thermodynamical processes are: 1. Isothermal process: In this process, the temperature of the system remains constant. The heat exchange between the system and its surroundings occurs at a constant temperature. 2. Adiabatic process: In an adiabatic process, there is no heat exchange between the system and its surroundings. The energy transfer occurs only in the form of work. 3. Isobaric process: In an isobaric process, the pressure of the system remains constant. The heat exchange between the system and its surroundings occurs at a constant pressure. 4. Isochoric process: Also known as an isovolumetric process, it occurs at constant volume. In this process, no work is done by or on the system, and the heat exchange occurs at a constant volume. 5. Reversible process: A reversible process is one in which the system undergoes a series of equilibrium states during the process. It can be reversed by an infinitely slow change in the external conditions.
2. What is the use of the First Law of Thermodynamics?
Ans. The First Law of Thermodynamics, also known as the law of energy conservation, is used to understand and analyze energy transfer and energy conversion processes. It states that energy cannot be created or destroyed; it can only be transferred or converted from one form to another. The use of the First Law of Thermodynamics includes: 1. Energy analysis: It allows us to analyze and quantify the energy transfers and energy conversions in various systems and processes. 2. Efficiency calculations: The First Law helps in calculating the efficiency of energy conversion devices and systems, such as heat engines and power plants. 3. Heat and work calculations: It enables us to calculate the heat transfer and work done in different processes, providing insights into the energy flow and interactions. 4. Energy conservation: The First Law provides a fundamental basis for understanding and promoting energy conservation practices and strategies. 5. Design and optimization: It assists in the design and optimization of energy systems and processes to improve their efficiency and reduce energy losses.
3. What is the Zeroth Law of Thermodynamics?
Ans. The Zeroth Law of Thermodynamics states that if two systems are separately in thermal equilibrium with a third system, then they are in thermal equilibrium with each other. It establishes the concept of temperature and enables the measurement and comparison of temperatures. The Zeroth Law is significant because: 1. Temperature measurement: It allows for the measurement and comparison of temperatures, which is essential in various scientific and engineering applications. 2. Thermal equilibrium: It helps in determining whether two systems are in thermal equilibrium or not, based on their temperature equality or inequality. 3. Temperature scales: The Zeroth Law forms the basis for the development of temperature scales, such as Celsius, Fahrenheit, and Kelvin scales, which are widely used for temperature measurement. 4. Heat transfer: It provides a fundamental principle for understanding and analyzing heat transfer between systems and establishing thermal equilibrium during the process. 5. Control and regulation: The Zeroth Law aids in the control and regulation of temperature-dependent processes, allowing for the efficient and effective operation of various systems and devices.
4. What are some frequently asked questions about the Zeroth Law of Thermodynamics?
Ans. Here are some frequently asked questions about the Zeroth Law of Thermodynamics: 1. How does the Zeroth Law define temperature? The Zeroth Law defines temperature as the property that determines whether two systems are in thermal equilibrium or not. If two systems are in thermal equilibrium, they have the same temperature. 2. What is the significance of the Zeroth Law in everyday life? The Zeroth Law is significant in everyday life as it allows us to measure and compare temperatures, ensuring our comfort and safety in various environments. It enables the functioning of thermometers, air conditioning systems, and temperature control devices. 3. Can the Zeroth Law be violated? No, the Zeroth Law cannot be violated. It is a fundamental principle of thermodynamics that holds true for all systems and processes. 4. How is the Zeroth Law related to the concept of heat? The Zeroth Law is related to the concept of heat as it establishes the thermal equilibrium between systems, which is necessary for heat transfer to occur. Heat flows from a higher temperature system to a lower temperature system until they reach thermal equilibrium. 5. How does the Zeroth Law affect the design of temperature measurement devices? The Zeroth Law affects the design of temperature measurement devices by providing the basis for calibration and ensuring accurate and reliable temperature readings. It allows for the establishment of temperature scales and the development of temperature sensors and thermocouples.
5. How is the First Law of Thermodynamics related to energy conservation?
Ans. The First Law of Thermodynamics is closely related to energy conservation. It states that energy cannot be created or destroyed; it can only be transferred or converted from one form to another. The relationship between the First Law and energy conservation can be understood as follows: 1. Energy transfer: The First Law explains how energy is transferred between systems and their surroundings. It quantifies the heat transfer and work done during a process, ensuring that the total energy remains conserved. 2. Energy conversion: The First Law describes how energy can be converted from one form to another, such as from thermal energy to mechanical work or vice versa. It ensures that the total energy before and after the conversion remains the same. 3. Energy balance: The First Law helps in maintaining an energy balance in various systems and processes. It ensures that the energy input equals the energy output, allowing for the conservation of energy. 4. Energy efficiency: The First Law enables the calculation of energy efficiency, which is a measure of how effectively energy is converted or utilized in a system. It promotes the optimization of energy conversion processes to minimize energy losses and maximize energy conservation. 5. Energy management: The First Law provides a fundamental principle for energy management practices, emphasizing the importance of energy conservation, energy audits, and the implementation of energy-saving measures.
Related Searches

Extra Questions

,

mock tests for examination

,

shortcuts and tricks

,

practice quizzes

,

Free

,

Important questions

,

past year papers

,

Previous Year Questions with Solutions

,

Summary

,

Zeroth & First Law of Thermodynamics | Kinetic Theory & Thermodynamics - Physics

,

Viva Questions

,

Zeroth & First Law of Thermodynamics | Kinetic Theory & Thermodynamics - Physics

,

Sample Paper

,

Exam

,

study material

,

Objective type Questions

,

ppt

,

Semester Notes

,

video lectures

,

pdf

,

MCQs

,

Zeroth & First Law of Thermodynamics | Kinetic Theory & Thermodynamics - Physics

;