CAT Exam  >  CAT Notes  >  Practice Questions Level 2: Simple & Compound Interest - 1

Simple & Compound Interest Questions for CAT with Answers PDF

This EduRev document offers 10 Multiple Choice Questions (MCQs) from the topic Number System (Level - 2). These questions are of Level - 2 difficulty and will assist you in the preparation of CAT & other MBA exams. You can practice/attempt these CAT Multiple Choice Questions (MCQs) and check the explanations for a better understanding of the topic. 

Question for Practice Questions Level 2: Simple & Compound Interest - 1
Try yourself:A borrowed Rs. 20,000 from B, at 10% p.a. compound interest. After 1 year, again A borrowed Rs. 10,000 from B at the same rate. Exactly after 1 more year, A won a lottery and wanted to repay the debt. How much would he have to pay to B?
View Solution

Question for Practice Questions Level 2: Simple & Compound Interest - 1
Try yourself:A father left a will that his capital of Rs. 18,750 should be divided between his two sons aged 12 years and 14 years, respectively, when they attain maturity at the age of 18 years. The amount received by each at 5% simple interest would be the same. Find the sum allotted to the elder son.
View Solution

Question for Practice Questions Level 2: Simple & Compound Interest - 1
Try yourself:A sum becomes 8 times its original amount in 3 years, compounded annually at a certain rate. Find the rate of interest.
View Solution

Question for Practice Questions Level 2: Simple & Compound Interest - 1
Try yourself:A sum of money becomes 6 times at 6.25% rate of simple interest. Find the rate at which it becomes 11 times.
View Solution

Question for Practice Questions Level 2: Simple & Compound Interest - 1
Try yourself:Certain sum gets doubled in 2 years at compound interest. What is the minimum number of years required in which the sum should become at least 7 times?
View Solution

Question for Practice Questions Level 2: Simple & Compound Interest - 1
Try yourself:Anjali is saving Rs. 1000 every month in a bank, where they pay 10% simple interest. How much amount will she get after 1 year?
View Solution

Question for Practice Questions Level 2: Simple & Compound Interest - 1
Try yourself: borrowed Rs. 5000 at a rate r1 simple interest. B borrowed Rs. 6000 at a rate r2 simple interest. After 5 years, both the amounts were exactly equal, what is r1/r2?
View Solution

Question for Practice Questions Level 2: Simple & Compound Interest - 1
Try yourself:On a sum of Rs. 1000, the compound interest for 2 years is twice the simple interest for 2 years at 11%. Find the rate at which the interest is compounded annually.
View Solution

Question for Practice Questions Level 2: Simple & Compound Interest - 1
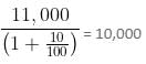
Try yourself:Richa borrowed a certain amount from Priya at a rate of 10% compounded annually. She paid Rs. 11,000 at the end of the 1st year and Rs. 60,500 at the end of the second year and cleared the loan. What was the amount borrowed by Richa from Priya?
View Solution

Question for Practice Questions Level 2: Simple & Compound Interest - 1
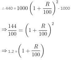
Try yourself:If the difference between compound interest and simple interest on a certain amount at 7% per annum for two years is Rs. 7.35, then find the principal amount.
View Solution

The document Simple & Compound Interest Questions for CAT with Answers PDF is a part of CAT category.
All you need of CAT at this link: CAT
Download as PDF

Top Courses for CAT

Related Searches

practice quizzes

,

ppt

,

Previous Year Questions with Solutions

,

past year papers

,

Viva Questions

,

Simple & Compound Interest Questions for CAT with Answers PDF

,

Summary

,

Simple & Compound Interest Questions for CAT with Answers PDF

,

Important questions

,

mock tests for examination

,

Sample Paper

,

Simple & Compound Interest Questions for CAT with Answers PDF

,

shortcuts and tricks

,

Semester Notes

,

study material

,

Extra Questions

,

Free

,

Objective type Questions

,

Exam

,

MCQs

,

pdf

,

video lectures

;