CAT Exam  >  CAT Notes  >  Practice Questions Level 3: Functions

Functions Questions for CAT with Answers PDF

This EduRev document offers 10 Multiple Choice Questions (MCQs) from the topic Functions (Level - 3). These questions are of Level - 3 difficulty and will assist you in the preparation of CAT & other MBA exams. You can practice/attempt these CAT Multiple Choice Questions (MCQs) and check the explanations for a better understanding of the topic.

Question for Practice Questions Level 3: Functions
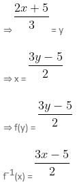
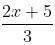
Try yourself:If f : A → B is defined such that f(x) = Functions Questions for CAT with Answers PDFthen f -1(x) = ?
View Solution

Question for Practice Questions Level 3: Functions
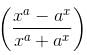
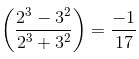
Try yourself:If f(x) = xa + ax and g(x) = xa - ax , then findFunctions Questions for CAT with Answers PDF, when x = 2 and a = 3.
View Solution

Question for Practice Questions Level 3: Functions
Try yourself:When f(x) - f(-x) = 0, the function f(x) is called an even function. Which of the following functions is an even function?
View Solution

Question for Practice Questions Level 3: Functions
Try yourself:A function satisfies f(0, n) = n + 1 and f(m + 1, n) = f(m, f(m, n)). What is the value of f(4, 100)?
View Solution

Question for Practice Questions Level 3: Functions
Try yourself:If f(x) satisfies 2f(x) + f(1 – x) = x2 for all x, then f(x) is equal to
View Solution

Question for Practice Questions Level 3: Functions
Try yourself:Let f(x) be a polynomial with integer coefficients, for which 3 and 13 are the roots. Which of the following could possibly be the value of f(10)?
View Solution

Question for Practice Questions Level 3: Functions
Try yourself:A function f(x) is called even if f(-x) = f(x) for all x and it is called odd if f(-x) = -f(x) for all x. Which of the following statements is/are true?
(i) The product of an even function and an odd function is even.
(ii) The sum of two even functions is even.
(iii) The product of two odd functions is even.
View Solution

Question for Practice Questions Level 3: Functions
Try yourself:For all real numbers x, a function f(x) satisfies 2f(x) + f(1 - x) = x2. Find the value of f(5).
View Solution

Question for Practice Questions Level 3: Functions
Try yourself:Which of the following is the graph of f(x) = Functions Questions for CAT with Answers PDF?
View Solution

Question for Practice Questions Level 3: Functions
Try yourself:Refer to the following data to answer the question that follows.
F(x) = Modulus of x
G(x) = The largest integer less than or equal to x
H(x) = The smallest integer greater than or equal to x
I(x) = x, a real number
Find the value of H
Functions Questions for CAT with Answers PDF
View Solution

The document Functions Questions for CAT with Answers PDF is a part of CAT category.
All you need of CAT at this link: CAT
Download as PDF

Top Courses for CAT

Related Searches

study material

,

video lectures

,

Summary

,

ppt

,

past year papers

,

Free

,

pdf

,

Viva Questions

,

mock tests for examination

,

Objective type Questions

,

Functions Questions for CAT with Answers PDF

,

Extra Questions

,

Exam

,

Functions Questions for CAT with Answers PDF

,

Semester Notes

,

Previous Year Questions with Solutions

,

Important questions

,

Sample Paper

,

practice quizzes

,

Functions Questions for CAT with Answers PDF

,

shortcuts and tricks

,

MCQs

;