This EduRev document offers 20 Multiple Choice Questions (MCQs) from the topic Percentage (Level - 2). These questions are of Level - 2 difficulty and will assist you in the preparation of CAT & other MBA exams. You can practice/attempt these CAT Multiple Choice Questions (MCQs) and check the explanations for a better understanding of the topic.
Question for Practice Questions Level 2: Percentage - 2
Try yourself:A woman buys mangoes at Rs. 25 a dozen and buys an equal number at a price of Rs. 30 per 20 mangoes. She sells them at Rs. 1.80 per piece and thus, gains Rs. 25 on her outlay. How many mangoes did she buy?
Explanation
Suppose, the woman buys 60 mangoes of the first kind and 60 mangoes of the second kind [LCM of 12 mangoes and and 20 mangoes].
CP of 60 mangoes = Rs. 125
And CP of another 60 mangoes = Rs. 90
CP of 120 mangoes = Rs. 215
SP of 120 mangoes = 120 1.8 = Rs. 216
Gain = Re 1
For the gain of Re 1, number of mangoes purchased = 120
For the gain of Rs. 25, number of mangoes purchased = 3000
Report a problem
Question for Practice Questions Level 2: Percentage - 2
Try yourself:A reduction of 40% in the price of bananas would enable a purchaser to purchase 50 more bananas for Re.1. What are the values of reduced price per dozen and the initial price (in paise), respectively?
Explanation
Report a problem
Question for Practice Questions Level 2: Percentage - 2
Try yourself:In January, the railway police caught 4000 ticket-less travellers and in February, the number rose by 5%. But, due to constant vigil by the police and the railway staff, the number reduced by 5% in March. It further reduced by 10% in April. The total number of ticket-less travellers caught in April was
Explanation
Total number of ticket-less travellers:
In February = 4000 + 5% of 4000 = 4200
In March = 4200 - 5% of 4200 = 3990
In April = 3990 - 10% of 3990 = 3591
Report a problem
Question for Practice Questions Level 2: Percentage - 2
Try yourself:The monthly income of a person was Rs. 1350 and his monthly expenses were Rs. 900. Next year, his income increased by 14% and expenses decreased by 7% only. Find the percentage increase in the savings.
Explanation
Report a problem
Question for Practice Questions Level 2: Percentage - 2
Try yourself:If a quantity is increased by 30% and then decreased by 50%, by how much percentage does it have to be increased to bring it back to the original quantity?
Explanation
Assume the quantity as 100.
If it is increased by 30%, it will become 130 and if it is decreased by 50%, it will become 65.
So, it has to be increased by 35 to bring it to 100 again.

Report a problem
Question for Practice Questions Level 2: Percentage - 2
Try yourself:A merchant was gaining 10% by selling rice. Owing to the floods, he paid Rs. 2.50 more per kg than before and sold 1 kg for Rs. 4.50 more than before, thus gaining 20%. What was the cost price per kg of rice before the floods?
Explanation
If the original CP was Rs. x per kg, the CP during the floods would be Rs. (x + 2.50).

Given that the rate of profit in the later case is 20%, i.e.

Cost price per kg before the floods was Rs. 15.
Report a problem
Question for Practice Questions Level 2: Percentage - 2
Try yourself:A salesman's commission is 5% on all sales upto Rs. 10,000 and 4% on all sales exceeding this amount. He remits Rs. 31,100 to the parent company after deducting his commission. His sales is worth
Explanation
Let the total sales amount be Rs. x.
Then, the commission which the salesman got is given as
5% of 10,000 + 4% of (x - 10,000) = x - 31,100
500 + 0.04x - 400 = x - 31,100
0.96x = 31,200
x = Rs. 32,500
Report a problem
Question for Practice Questions Level 2: Percentage - 2
Try yourself:At a company, 60% of the employees are males and the rest are females. Furthermore, 20% of the males and 15% of the females are getting a bonus. If the number of those who are getting a bonus is 81, then find the total number of employees who are not getting a bonus.
Explanation
Let us say there are 100 employees in the company.
Number of male employees = 60
Number of female employees = 40
Total number of employees who are getting bonus

If 18 employees are getting a bonus, then total number of employees = 100
If 81 employees are getting a bonus, then total number of employees

So, total number of employees who are not getting a bonus = 450 - 81 = 369
Report a problem
Question for Practice Questions Level 2: Percentage - 2
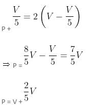
Try yourself:Priya said to Vikas, If you give me 20% of your pocket money, I will have 100% more than what you will be left with. By how much percent is Priya's pocket money more than Vikas's?
Explanation
Let the pocket money of Priya and Vikas be P and V, respectively.
Now,


Report a problem
Question for Practice Questions Level 2: Percentage - 2
Try yourself:Directions: Read the following information carefully and answer the question given below.
Shelf A contains 4/5 the number of books that shelf B does. 25% of the books from shelf A are transferred to shelf B and then 1/4 of the books from shelf B are transferred to shelf A. If 1/3 of the books from shelf A and 1/5 of the books from shelf B are transferred to shelf C, then find the ratio of number of books on shelf A to that on shelf B.
Explanation
Let the number of books on shelf B be 100.
Number of books on shelf A:
(4 ÷ 5) × 100 = 80
On transferring 25% of books from shelf A to shelf B, the number of books on shelf B = 100 + (80 × 25) ÷ 100
100 + 20 = 120
Books on shelf B = 120
Books left on shelf A = 80 - 20 = 60
Again, on transferring 1/4th of the books from shelf B to shelf A, the number of books on the shelf A = 60 + (120 ÷ 4) = 90
Books left on shelf B = 120 - 30 = 90
Report a problem
Question for Practice Questions Level 2: Percentage - 2
Try yourself:The ratio of male tourists to female tourists was 1.5 : 0.333 in the month of January and 0.666 : 2 in the month of February. The number of male tourists in January was 40% more than the number of female tourists in February. Find the percentage difference between the numbers of female tourists in these two months.
Explanation
Report a problem
Question for Practice Questions Level 2: Percentage - 2
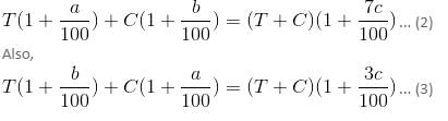
Try yourself:In a certain country, the consumption of tea is 5 times the consumption of coffee. If a% more tea and b% more coffee were consumed, the aggregate amount consumed would be 7c% more; but if b% more tea and a% more coffee were consumed, the aggregate amount would be 3c% more. Compare a and b.
Explanation
Let the consumption of tea be T grams and the consumption of coffee be C grams.
According to given condition:
T = 5C ... (1)
Also,

Solving (1) and (2), we get
5a + b = 42c ... (4)
Solving (1) and (3), we get
a + 5b = 18c ... (5)
Solving (4) and (5), we get
a = 8c
b = 2c
So, a = 4b
Report a problem
Question for Practice Questions Level 2: Percentage - 2
Try yourself:Deepika sells her goods at a price 10% less than Nidhi's, but 10% more than Gurpreet's. If a customer of Nidhi's goods purchases the goods worth Rs. 100 from Gurpreet instead, he will save
Explanation

Goods worth Rs. 100 from Gurpreet would cost Rs. 1100/9 from Nidhi.

Report a problem
Question for Practice Questions Level 2: Percentage - 2
Try yourself:A company sells 60 percent of packed items they have and throws away 15 percent of the remainder. Next day, it sells 50 percent of the remainder and throws away the rest. What percent of the packed items were thrown by the company?
Explanation
Let the number of packed items be 100.
On the first day it sells 60% packed items, i.e. 60 packed items.
Number of remaining packed items = 40
It throws 15% of the remaining, i.e. 15% of 40 = 6.
Now it has 40 - 6 = 34 packed items.
The next day it throws 50% of the remaining 34 packed items, i.e. 17.
Therefore, in all, it throws 6 + 17 = 23 packed items.
Required percentage = 23/100 = 23%
Report a problem
Question for Practice Questions Level 2: Percentage - 2
Try yourself:It is given that k = x2 - 2x. If x increases by 10%, what is the percentage change in k?
Explanation
If x increases by 10%, it becomes 1.1x.
∴ k1 = 1.21x2 - 2.2x
So, %age change in
which cannot be determined.
Report a problem
Question for Practice Questions Level 2: Percentage - 2
Try yourself:There are 150 students in a class and 40% of them are girls. 30% of the boys in the class have not studied Maths. Taking the class as a whole, 60% of the students have studied Maths. How many girls in the class have not studied Maths?
Explanation
Total number of students = 150
40% of them are girls.
So, number of girls = 40% of 150 = 60
Number of boys = 150 - 60 = 90
30% of the boys in the class have not studied Maths.
So, number of boys in the class who have not studied Maths = 30% of 90 = 27
60% of the students have studied Maths.
Number of students who have studied Maths = 60% of 150 = 90
Number of students who have not studied Maths = 150 - 90 = 60
Number of girls who have not studied Maths = 60 - Number of boys who have not studied Maths = 60 - 27 = 33
Report a problem
Question for Practice Questions Level 2: Percentage - 2
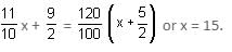
Try yourself:In a certain cinema hall, there are four kinds of tickets - AC boxes, boxes, balcony and DC. The relationship between the rates of tickets is that the price of boxes is 20% higher than DC, DC is 40% less than AC boxes and price of balcony is 30% of the sum of the price of DC and AC boxes. If the sum of the price of boxes and AC boxes is Rs. 86, then find the price of the balcony.
Explanation
Let the price of the AC box ticket = Rs. x
Then, the price of DC ticket = Rs. 0.6x
The price of the box ticket = 0.72x
And, the price of the balcony ticket

And, 0.72x + x = 86
x = 86/1.72 = 50
So, the price of a balcony ticket = 0.48 × 50 = Rs. 24
Report a problem
Question for Practice Questions Level 2: Percentage - 2
Try yourself:The population of Visakhapatnam is 5,00,000 out of which 52% are males and the remaining are females. 60% of the males are literate and the literacy rate in the city is 70%. Find the number of educated females in the city and their percentage with respect to the total number of women.
Explanation
Number of males = 0.52 × 5,00,000 = 2,60,000
Number of females = 0.48 × 5,00,000 = 2,40,000
Literacy rate = 70%
Number of educated males + Number of educated females = 0.7 × 5,00,000 = 3,50,000
Number of educated males = 0.60 × 2,60,000 = 1,56,000
Number of educated females = 3,50,000 - 1,56,000 = 1,94,000
Percentage of educated females = (1,94,000/2,40,000) × 100 = 80.83%
Report a problem
Question for Practice Questions Level 2: Percentage - 2
Try yourself:In an examination, A attempted 80% of the questions with 50% accuracy and B attempted 60% of the questions with 80% accuracy. The negative marking is 25% for wrong answer, no negative marks for questions not attempted. Who got more marks?
Explanation
Let the total number of questions be 100 and each be of 4 marks.
Therefore, 1 mark is deducted for wrong answer.
For A, number of questions attempted = 80
Number of right questions = 40
Number of wrong questions = 40
Total marks obtained by A = 4 × (Number of right questions) - 1 × (Number of wrong questions)
= 4 × 40 - 1 × 40 = 160 - 40 = 120
For B, number of questions attempted = 60
Number of right questions = 48
Number of wrong questions = 12
Total marks obtained by B = 4 × (Number of right questions) - 1 × (Number of wrong questions)
= 4 × 48 - 1 × 12 = 192 - 12 = 180
B got more marks.
Report a problem
Question for Practice Questions Level 2: Percentage - 2
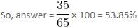
Try yourself:The total number of candidates who appeared for MBA test to get admission in a university was 2450. The number of female candidates who appeared for the test was 3/7 of total number of candidates. If only
candidates qualified the test, in which 45% were female candidates, then out of the total female candidates who appeared for the test, what percentage qualified the test?
Explanation
Report a problem