This EduRev document offers 10 Multiple Choice Questions (MCQs) from the topic Mensuration (Level - 2). These questions are of Level - 2 difficulty and will assist you in the preparation of CAT & other MBA exams. You can practice/attempt these CAT Multiple Choice Questions (MCQs) and check the explanations for a better understanding of the topic.
Question for Practice Questions Level 2: Mensuration - 1
Try yourself:The diameter of a right circular cone is 14 m and its slant height is 12 m. Find the cost of colouring its total surface at the rate of 14 paise per sq. m.
Explanation
Total surface area of the cone = πr(l + r) = 22/7 × 7(12 + 7) m2 = 22 × 19 m2 = 418 m2
Total cost incurred = Rs. 418 × 14/1000
= Rs. 58.52
Report a problem
Question for Practice Questions Level 2: Mensuration - 1
Try yourself:The dimensions of a field are 20 m by 9 m. A pit 10 m long, 4.5 m wide and 3 m deep is dug in one corner of the field and the earth removed is evenly spread over the remaining area of the field. What will be the rise in the height of the field as a result of this operation?
Explanation
Volume of the earth removed = Area of remaining field × Rise in Height
⇒10 × 4.5 × 3 = (180 – 45) × h
135/135 = h
⇒ h = 1
Report a problem
Question for Practice Questions Level 2: Mensuration - 1
Try yourself:A cubic metre of gold piece is hammered so that its area extends to cover an area of 6 hectares. Find thickness of the gold piece.
Explanation
1 hectare = 10,000 m2
= 10,000 × 10,000 cm2
6 hectare = 6 × 108 cm2
1 m3 = 6 × 108 × thickness (cm3)
10,00,000 cm3 = 6 × 108 × thickness (cm3)
Thickness =
= 0.001666 = 0.0017 cm
Report a problem
Question for Practice Questions Level 2: Mensuration - 1
Try yourself:A cylindrical cistern of radius 42 cm is partly filled with water. If a rectangular block measuring 24 cm × 21 cm × 11 cm is wholly immersed in the water, by how much will the water level rise?
Explanation
Volume of the cylindrical column of increased height = Volume of the rectangular block
⇒ 22/7 × 42 cm × 42 cm × h = 24 cm × 21 cm × 11 cm
h = 1 cm
Report a problem
Question for Practice Questions Level 2: Mensuration - 1
Try yourself:A reservoir in the shape of a rectangular parallelepiped is 20 m long. If 18 kl of water is removed from the reservoir, the water level goes down by 15 cm. Find the width of the reservoir.
Explanation
Let the width of the reservoir be 'w' m.
Volume of water removed = 20 × w ×
0.15 m3
= 3w m3
18 kl = 18 m3
3w = 18
w = 6
Width of the reservoir = 6 m
Report a problem
Question for Practice Questions Level 2: Mensuration - 1
Try yourself:A cube with edge 2 cm has spheres, each of radius 1 cm, at each vertex with vertices as the centres of the spheres. What will be the radius (in cm) of the largest sphere that can be centred within the cube and which touches each of the remaining spheres externally in at most one point?
Explanation
Report a problem
Question for Practice Questions Level 2: Mensuration - 1
Try yourself:A hollow sphere has the outer radius of 10 cm. If the volume of the hollow sphere is 76π/3, find its approximate inner radius.
Explanation
Volume of the hollow sphere = Volume of the hollow sphere of outer radius 10 - Volume of the inner sphere 76π/3 = 4π/3 [R3 - r3]
19 = 103 - r3
r3 = 1000 - 19
r3 = 981
r = 9.93 ∽ 9.9 cm
Report a problem
Question for Practice Questions Level 2: Mensuration - 1
Try yourself:A covered wooden box has the inner measures as 115 cm, 75 cm and 35 cm, and the thickness of wood is 2.5 cm. Find the volume of wood.
Explanation
Thickness of wood = 2.5 cm
Now, external dimensions of the wooden box are:
Length = 115 + (2 × 2.5) = 120 cm,
Width = 75 + (2 × 2.5) = 80 cm, Height = 35 + (2 × 2.5) = 40 cm
Volume of wood = 120 cm × 80 cm × 40 cm - 115 cm × 75 cm × 35 cm = 82,125 cm3
Report a problem
Question for Practice Questions Level 2: Mensuration - 1
Try yourself:If one cubic centimetre of cast iron weighs 21 gm, find the weight of a cast iron pipe of length 1 metre with a bore of 3 cm and thickness 1 cm.
Explanation
Bore = Internal diameter of the metallic pipe = 3 cm
Thickness = 1 cm
External diameter = 3 + (1 × 2) = 5 cm
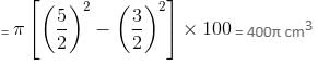
Volume of the metallic pipe

Now, weight of 1 cm3 = 21 gm
Weight of 400π cm3 = 21 × 400 × 22/7 = 26.4 kg
Report a problem
Question for Practice Questions Level 2: Mensuration - 1
Try yourself:The volume (in cm3) of the greatest sphere that can be cut-off from a cylindrical log of wood of base radius 1 cm and height 5 cm is
Explanation
The greatest volume of sphere

Report a problem