CAT Exam  >  CAT Notes  >  Practice Questions Level 3: Coordinate Geometry

Coordinate Geometry Questions for CAT with Answers PDF

This EduRev document offers 20 Multiple Choice Questions (MCQs) from the topic Coordinate Geometry (Level - 3). These questions are of Level - 3 difficulty and will assist you in the preparation of CAT & other MBA exams. You can practice/attempt these CAT Multiple Choice Questions (MCQs) and check the explanations for a better understanding of the topic.

Question for Practice Questions Level 3: Coordinate Geometry
Try yourself:Radius of the circle passing through the foci of the ellipse x2/16 + y2/9 = 1 and having its centre at (0, 3) is
View Solution

Question for Practice Questions Level 3: Coordinate Geometry
Try yourself:If D (2, 1), E (-1, -2) and F (3, 3) are the mid-points of the sides BC, CA and AB, respectively, of the triangle ABC, then the equation of AB is
View Solution

Question for Practice Questions Level 3: Coordinate Geometry
Try yourself:ABC is an isosceles triangle. If the coordinates of the ends of the base are B (1, 3) and C (-2, 7), then the coordinates of vertex A are
View Solution

Question for Practice Questions Level 3: Coordinate Geometry
Try yourself:If the points (2a, a), (a, 2a) and (a, a) enclose a triangle of area 2 sq. units, then the value of a is
View Solution

Question for Practice Questions Level 3: Coordinate Geometry
Try yourself:In which of the following equations are x and y intercepts not consecutive numbers?  
View Solution

Question for Practice Questions Level 3: Coordinate Geometry
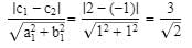
Try yourself:If 4x - 3y + k = 0 represents a tangent to the circle x2 + y2 = 144, then what is the value of k?
View Solution

Question for Practice Questions Level 3: Coordinate Geometry
Try yourself:Find the area enclosed by |x| + |y| = 4.
View Solution

Question for Practice Questions Level 3: Coordinate Geometry
Try yourself:What is the equation of the line parallel to the line x + 3y = -7 and passing through the centroid of the triangle formed by the intersection of the lines 3x - 4y = -11, 3x - y = -5 and 3x + 2y = 19?
View Solution

Question for Practice Questions Level 3: Coordinate Geometry
Try yourself:Two sides of a square lie on the lines x + y = 1 and x + y + 2 = 0. What is its area ?
View Solution

Question for Practice Questions Level 3: Coordinate Geometry
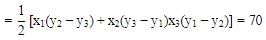
Try yourself:The area of triangle formed by the points (p, 2 − 2p),(1 − p, 2p) and (−4 −p, 6 − 2p) is 70 sq. units. How many integral values of p are possible ?
View Solution

The document Coordinate Geometry Questions for CAT with Answers PDF is a part of CAT category.
All you need of CAT at this link: CAT
Download as PDF

Top Courses for CAT

Related Searches

video lectures

,

Important questions

,

shortcuts and tricks

,

Viva Questions

,

ppt

,

past year papers

,

Exam

,

Previous Year Questions with Solutions

,

Coordinate Geometry Questions for CAT with Answers PDF

,

mock tests for examination

,

Sample Paper

,

Objective type Questions

,

Summary

,

Free

,

practice quizzes

,

MCQs

,

pdf

,

Semester Notes

,

Extra Questions

,

Coordinate Geometry Questions for CAT with Answers PDF

,

Coordinate Geometry Questions for CAT with Answers PDF

,

study material

;